Natural Resources
Conservation Service
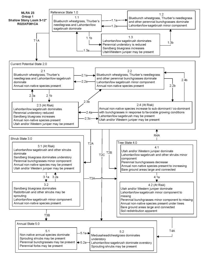
Ecological site R023XF081CA
SHALLOW STONY LOAM 9-12"
Last updated: 4/10/2025
Accessed: 12/07/2025
General information
Provisional. A provisional ecological site description has undergone quality control and quality assurance review. It contains a working state and transition model and enough information to identify the ecological site.
Ecological site concept
Currently there is only a draft of the initial concept for this ecological site. The initial concept for this site places it within the Clay or Claypan ,12” PZ Low and Lahontan sagebrush and bluebunch wheatgrass/ Thurber’s needlegrass Ecological Site Group. To view the General STM and other information available for this ESG please go to https://edit.jornada.nmsu.edu/catalogs/esg/023X/R023XY901NV
This site is characterized by shallow effective rooting depth and low soil moisture capacity. The plant community is similar to the modal site with a Western juniper component. Production is also similar to the modal site at 700 lbs/ac in a normal year, but in favorable years can produce as much as 1000 lbs/ac. This site is similar to the modal site; the model has five stable states.
Table 1. Dominant plant species
| Tree |
Not specified |
|---|---|
| Shrub |
Not specified |
| Herbaceous |
Not specified |
Click on box and path labels to scroll to the respective text.