Natural Resources
Conservation Service
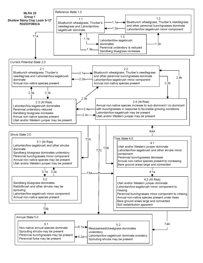
Ecological site R023XF083CA
SHALLOW STONY CLAY LOAM 9-12"
Last updated: 4/10/2025
Accessed: 12/21/2025
General information
Provisional. A provisional ecological site description has undergone quality control and quality assurance review. It contains a working state and transition model and enough information to identify the ecological site.
Ecological site concept
Currently there is only a draft of the initial concept for this ecological site. The initial concept for this site places it within the Clay or Claypan ,12” PZ Low and Lahontan sagebrush and bluebunch wheatgrass/ Thurber’s needlegrass Ecological Site Group. To view the General STM and other information available for this ESG please go to https://edit.jornada.nmsu.edu/catalogs/esg/023X/R023XY901NV
This site has a similar plant community to the modal site, dominated by bluebunch wheatgrass, Lahontan sagebrush and Thurber’s needlegrass. Spiny hopsage (Grayia spinosa) may also be present. The soils have a shallow effective rooting depth and low soil moisture capacity. Production is lower than the modal site at 600 lbs/ac in a normal year. The soils in this site and Shallow Stony Loam (023XF081CA) are very similar, but are believed to have a higher amount or distribution of clay. This site is similar to the modal site; the model has five stable states.
Table 1. Dominant plant species
| Tree |
Not specified |
|---|---|
| Shrub |
Not specified |
| Herbaceous |
Not specified |
Click on box and path labels to scroll to the respective text.