Natural Resources
Conservation Service
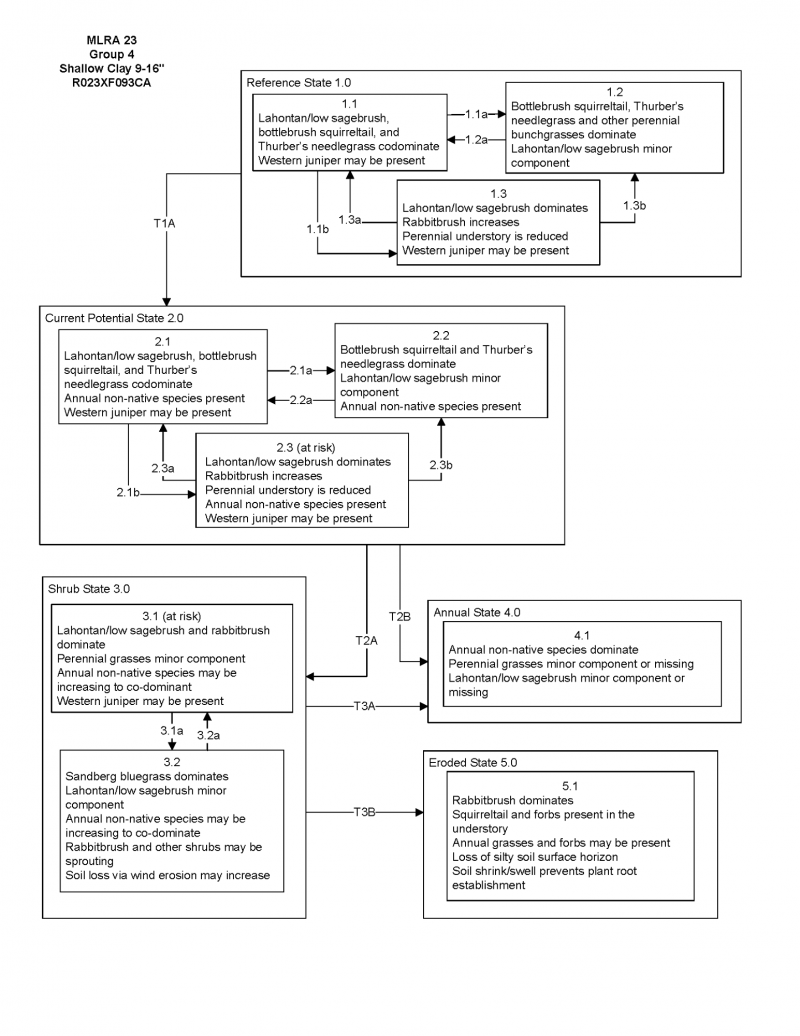
Ecological site R023XF093CA
SHALLOW CLAY 9-16"
Last updated: 4/10/2025
Accessed: 12/21/2025
General information
Provisional. A provisional ecological site description has undergone quality control and quality assurance review. It contains a working state and transition model and enough information to identify the ecological site.
Ecological site concept
Currently there is only a draft of the initial concept for this ecological site. The initial concept for this site places it within the Cobbly Mod Deep Clay 10-14 PZ Low or Lahontan Sagebrush and Sandberg bluegrass Ecological Site Group. To view the General STM and other information available for this ESG please go to https://edit.jornada.nmsu.edu/catalogs/esg/023X/R023XY904NV
This site has a similar plant community to the modal site, but is more productive at 450 lbs/ac in a normal year. Western juniper may be present on this site. The clay soils are also subject to shrink-swell fracturing, with a silty surface texture and stones or cobbles on the surface. This site’s STM is similar to the modal site, with 5 stable states.
Table 1. Dominant plant species
| Tree |
Not specified |
|---|---|
| Shrub |
Not specified |
| Herbaceous |
Not specified |
Click on box and path labels to scroll to the respective text.