Natural Resources
Conservation Service
Ecological site R028AY307UT
Upland Gravelly Loam (Wyoming Big Sagebrush)
Last updated: 5/02/2025
Accessed: 12/21/2025
General information
Provisional. A provisional ecological site description has undergone quality control and quality assurance review. It contains a working state and transition model and enough information to identify the ecological site.
Figure 1. Mapped extent
Areas shown in blue indicate the maximum mapped extent of this ecological site. Other ecological sites likely occur within the highlighted areas. It is also possible for this ecological site to occur outside of highlighted areas if detailed soil survey has not been completed or recently updated.
MLRA notes
Major Land Resource Area (MLRA): 028A–Ancient Lake Bonneville
MLRA 28A occurs in Utah (82 percent), Nevada (16 percent), and Idaho (2 percent). It encompasses approximately 36,775 square miles (95,246 square kilometers). A large area west and southwest of Great Salt Lake is a salty playa. This area is the farthest eastern extent of the Great Basin Section of the Basin and Range Province of the Intermontane Plateaus. It is an area of nearly level basins between widely separated mountain ranges trending north to south. The basins are bordered by long, gently sloping alluvial fans. The mountains are uplifted fault blocks with steep side slopes. Most of the valleys are closed basins containing sinks or playa lakes. Elevation ranges from 3,950 to 6,560 feet (1,204 to 2000 meters) in the basins and from 6,560 to 11,150 feet (1996 to 3398 meters) in the mountains. Much of the MLRA has alluvial valley fill and playa lakebed deposits at the surface from pluvial Lake Bonneville, which dominated this MLRA 13,000 years ago. A level line of remnant lake terraces on some mountain slopes indicates the former extent of this glacial lake. The Great Salt Lake is what remains of the pluvial lake.
Mountains in the interior of this MLRA consist of tilted blocks of marine sediments from Cambrian to Mississippian age with scattered outcrops of Tertiary continental sediments and volcanic rocks. The average annual precipitation is 5 to 12 inches (13 to 30 cm) in the valleys and ranges up to 49 inches (124 cm) in the mountains. Most of the rainfall in the southern LRU occurs as high-intensity, convective thunderstorms during the growing season (April through September). The driest period is from midsummer to early autumn in the northern LRU. Precipitation in winter typically occurs as snow. The average annual temperature is 39 to 53 °F (4 to 12 °C). The freeze-free period averages 165 days and ranges from 110 to 215 days, decreasing in length with increasing elevation. The dominant soil orders in this MLRA are Aridisols, Entisols, and Mollisols. Soils are dominantly in the mesic or frigid soil temperature regime, aridic or xeric soil moisture regime, and mixed mineralogy. The soils are generally well drained, loamy or loamy-skeletal, and very deep.
LRU notes
The Basin and Range North LRU exhibits dry summer with stronger xeric patterns than the Basin and Range South LRU. Ranges in the north LRU are about 50 percent Paleozoic sedimentary/metasedimentary (limestone/quartzite dominant) and about 10 percent Tertiary volcanics. The basin floors are between 4,200 and 5,100 feet (1,280 to 1,554 meters) in elevation. Pinyon and juniper sites have a greater percentage of Utah juniper (Juniperus osteosperma) in the plant community than pinyon pine (Pinus edulis or monophylla). The Basin and Range North have few semidesert ecological sites with Utah juniper. Cool season grasses, such as bluebunch wheatgrass (Pseudoroegneria spicata), are dominant in the plant community, while warm season grasses are largely absent or a small component of the plant community.
Classification relationships
Western Intermountain Sagebrush Steppe (West 1983)
Ecological site concept
Upland Gravelly Loam (Wyoming Big Sagebrush) is normally found on lake terraces and benches, but can be found on mountain slopes going up to 7,000 feet. Bluebunch wheatgrass and Wyoming big sagebrush dominated site along with a number of other grasses, forbs, and shrubs.
Associated sites
| R028AY309UT |
Upland Loam (Wyoming Big Sagebrush) The soils have less than 15 percent gravels on the surface. There will be more plant production and more forbs in the plant community. |
|---|---|
| R028AY325UT |
Upland Shallow Loam (Black Sagebrush) The soil depth is less than 20 inches. Black sagebrush is the dominant shrub. |
| R028AY334UT |
Upland Stony Loam (Wyoming Big Sagebrush) There is less production and larger rocks in the soil. |
| R028AY310UT |
Upland Loam (Bonneville Big Sagebrush) North This site will occur in soils with few rock fragments. |
| R028AY312UT |
Upland Sand (Indian Ricegrass) This site will occur on coarser textured soils. |
| R028AY006UT |
Loamy Bottom (basin wildrye) This site will occur down slope in concave areas where run-in water accumulates. |
| R028AY306UT |
Upland Gravelly Loam (Bonneville Big Sagebrush) Bonneville sagebrush is the dominant shrub. There is differences in the species and amounts of forbs and in the amount of production. Plant production is higher. |
Similar sites
| R028AY310UT |
Upland Loam (Bonneville Big Sagebrush) North This site has fewer rock fragments in the soil and will have more production. |
|---|---|
| R028AY312UT |
Upland Sand (Indian Ricegrass) This site will have coarser textured soil and will be dominated by grasses. |
| R028AY309UT |
Upland Loam (Wyoming Big Sagebrush) This site has fewer rock fragments in the soil and will have more production. |
| R028AY334UT |
Upland Stony Loam (Wyoming Big Sagebrush) The 334 site and the 307 site differ mainly in the amount of production. The production on the 307 site will be 300 to 450 pounds per acre greater than on the 334 site. Also the size of the rocks will help tell these two sites apart. 307 will have material around 1 to 3 inches in size and the 334 site will have rocks around 4 to 10 inches or greater in size. |
| R028AY306UT |
Upland Gravelly Loam (Bonneville Big Sagebrush) The main difference between these two sites is the species of the sagebrush. 306 is Bonneville big sagebrush and on 307 it is Wyoming big sagebrush. There will also be differences in the species and amounts of forbs and in the amount of production. The 306 site will have 300 to 450 pounds per acre greater production than the 307 site. |
Table 1. Dominant plant species
| Tree |
Not specified |
|---|---|
| Shrub |
(1) Artemisia tridentata ssp. wyomingensis |
| Herbaceous |
(1) Pseudoroegneria spicata |
Physiographic features
Upland Gravelly Loam (Wyoming Big Sagebrush) site occurs on lake terraces and fan remnants at elevations between 4,400 and 5,400 feet (1,341 to 1,646 meters). Runoff class is medium for the site and flooding and ponding do not occur.
Figure 2. Catena drawings for both existing scenarios
Table 2. Representative physiographic features
| Landforms |
(1)
Fan remnant
(2) Lake terrace |
|---|---|
| Flooding frequency | None |
| Ponding frequency | None |
| Elevation | 4,400 – 5,400 ft |
| Slope | 6 – 20% |
| Aspect | Aspect is not a significant factor |
Climatic features
The climate is characterized by warm, dry summers, cold, snowy winters and moist springs. October through May is the wettest part of the year and July to September is the driest. The effective moisture for plant growth is the 60 percent that falls during the plant dormant period, which wets the soil deeply in the spring and early summer. Warm season moisture is less effective for plant growth on this site because summer storms are short and undependable.
Table 3. Representative climatic features
| Frost-free period (characteristic range) | |
|---|---|
| Freeze-free period (characteristic range) | |
| Precipitation total (characteristic range) | 11-17 in |
| Frost-free period (average) | |
| Freeze-free period (average) | |
| Precipitation total (average) | 14 in |
Figure 3. Monthly precipitation range
Figure 4. Monthly average minimum and maximum temperature
Influencing water features
Due to its landscape position, the Upland Gravelly Loam (Wyoming Big Sagebrush) site is not typically influenced by streams or wetlands. It can sometimes be influenced by overland flow during heavy thunderstorms and/or during wetter spring runoff periods.
Soil features
The soils are deep to very deep and well drained. They were formed from alluvium and lacustrine deposits derived from limestone, sandstone, and quartzite. Typically the surface layer is dark grayish brown loam and the subsurface layer is brown gravelly loam with gravels extending to 60 inches or to bedrock. These soils are moderately alkaline and moderately calcareous.
Soils that represent this site include:
Soil Survey Area; Soil Components (Map units in parentheses)
Box Elder East Survey (602): Abela (ABE, PSR), Hupp (ABE, KeC, SsB, SsD), Sanpete (KgD, PAB, PwE, PwG2, SsD), Sterling (ABE, PSR, SRP, SsB, SsD), Windmill (SvB)
Fairfield-Nephi Area (608): Hupp (8006, 8007), Sterling (8014, 8023, 8024)
Salt Lake Area (612): Sterling (8014, 8015, 8023, 8024)
Utah County, Utah Central Part (621): Sterling (8014, 8015, 8023, 8024)
Table 4. Representative soil features
| Parent material |
(1)
Alluvium
–
limestone and sandstone
(2) Lacustrine deposits – quartzite |
|---|---|
| Surface texture |
(1) Gravelly loam |
| Family particle size |
(1) Loamy |
| Drainage class | Well drained to somewhat excessively drained |
| Permeability class | Moderate to moderately rapid |
| Soil depth | 60 in |
| Surface fragment cover <=3" | 28% |
| Surface fragment cover >3" | 3% |
| Available water capacity (0-40in) |
3.4 – 4.6 in |
| Calcium carbonate equivalent (0-40in) |
5 – 40% |
| Electrical conductivity (0-40in) |
8 mmhos/cm |
| Sodium adsorption ratio (0-40in) |
5 |
| Soil reaction (1:1 water) (0-40in) |
7.4 – 9 |
| Subsurface fragment volume <=3" (Depth not specified) |
42% |
| Subsurface fragment volume >3" (Depth not specified) |
20% |
Ecological dynamics
These plant communities may not represent every possibility, but they are the most prevalent and repeatable plant communities. As more data is collected, some of these plant communities may be revised or removed and new ones may be added. None of these plant communities should necessarily be thought of as the “desired plant community”. According to the USDA NRCS National Range and Pasture Handbook, the desired plant community will be determined by the decision makers and will meet minimum quality criteria established by the NRCS. The main purpose for including any description of a plant community here is to capture the current knowledge and experience at the time of this revision.
The Upland Gravelly Loam (Wyoming Big Sagebrush) ecological site is dominated by perennial deep rooted cool season bunchgrasses and deep-rooted shrubs. The perennial bunchgrasses that are co-dominant with the shrubs include bluebunch wheatgrass (Pseudorogenaria spicata), slender wheatgrass (Elymus trachycaulus), western wheatgrass (Pascopyrum smithii), and Nevada bluegrass (Poa nevadensis syn. Poa secunda). These species generally have somewhat shallower root systems than the shrubs, but root densities are often as high as or higher than those of shrubs in the upper 0.5 meter but taper off more rapidly than shrubs. General differences in root depth distributions between grasses and shrubs result in resource partitioning in these shrub/grass systems.
Utah juniper (Juniperus osteosperma) and singleleaf pinyon (Pinus monophylla) may be present on this site due to the proximity of the pinyon/juniper zone. This site is vulnerable to an increase in both pinyon and juniper trees without disturbances that keep the tree densities lower (i.e. fire). Singleleaf pinyon and Utah juniper may dominate the site if there is time without disturbances and eventually out-compete mountain big sagebrush for water and sunlight, severely reducing both the shrub and herbaceous understory (Miller et al. 2000, Lett and Knapp 2005). Bluegrasses may remain underneath trees on north-facing slopes. The potential for soil erosion increases as the Utah juniper woodland matures and the understory plant community cover declines (Pierson et al. 2010).
This ecological site has moderate resilience to disturbance and moderately low resistance to invasion (Miller et al. 2015). Resilience increases with elevation, aspect, increased precipitation, and increased nutrient availability. Long-term disturbance response may be influenced by small differences in landscape topography. Concave areas receive run-in from adjacent landscapes and consequently retain more moisture to support the growth of deep-rooted perennial grasses (i.e. bluebunch wheatgrass) whereas convex areas where runoff occurs are slightly less resilient and may have more shallow-rooted perennial grasses (i.e. squirreltail (Elymus elmoides) and muttongrass (Poa fendleriana). North slopes are also more resilient than south slopes because lower soil surface temperatures operate to keep moisture content higher on northern exposures.
Fire Ecology:
Wyoming big sagebrush is killed by fire and does not resprout (Miller et al. 2013). Plant community composition after a fire is influenced by what plants were present before the fire and their densities (Miller et al. 2013). Typically, plants that are tolerant to fire will return after the fire (this also will depend on the severity of the fire). Bluebunch wheatgrass is tolerant of fire and can reestablish to pre-fire densities within 3 years. If the density of deep-rooted perennial grasses is low before the fire, they will be low after the fire (Miller et al. 2013). Post-fire recovery of Bonneville big sagebrush sites has not been research, however, mountain and Wyoming big sagebrush have been extensively researched. These two species have different recovery potentials base on site characteristics, like available soil moisture. Mountain big sagebrush can return to a 20 to 30 percent canopy cover within 20 to 30 years while Wyoming big sagebrush may never recover to pre-burn canopy cover (Miller et al. 2013). Recovery of big sagebrush is limited in the presence of cheatgrass either before or after fire (Miller et al. 2013). Rabbitbrush, snowberry, serviceberry, and bitterbrush may increase after fire depending on the severity of the fire. (Miller et al. 2013). The sprouting ability of antelope bitterbrush is variable and depends on fire season, severity, and age of the plant (Zlatnik 1999). Plants younger than 5 years or older than 40 years do not sprout well (Zlatnik 1999).
The introduction of annual weedy species, like cheatgrass, may cause an increase in fire frequency and eventually lead to an annual dominated community (Miller et al. 2013). Infilling by singleleaf pinyon and Utah juniper may also occur with an extended fire return interval. Without fire or changes in management, pinyon and juniper will dominate the site and Bonneville big sagebrush will be severely reduced. The herbaceous understory will typically be reduced. The potential for soil erosion increases as the juniper woodland matures and the understory plant community cover declines. Catastrophic wildfire in juniper controlled sites may lead to an annual weed dominated site.
Livestock/Wildlife Grazing Interpretations:
Overgrazing leads to an increase in sagebrush and a decline in understory plants like bluebunch wheatgrass. Squirreltail will increase temporarily with further degradation. Invasion of annual weedy forbs and cheatgrass could occur with further grazing degradation, leading to a decline in squirreltail and an increase in bare ground. Wetter sites are more resistant to degradation and may end up having sagebrush and Sandberg bluegrass dominate the site. A combination of overgrazing and prolonged drought may lead to soil redistribution, increased bare ground and a loss in plant production. Bonneville big sagebrush can be utilized by native ungulates and birds (Winward 2004). Bluebunch wheatgrass is moderately grazing tolerant but is very sensitive to defoliation during the active growth period (Blaisdell and Pechanec 1949, Laycock 1967, Anderson and Scherzinger 1975). Sandberg bluegrass may slow reestablishment of deeper rooted bunchgrass, increase under grazing pressure (Tisdale and Hironaka 1981) and is capable of co-existing with cheatgrass. Reduced bunchgrass vigor or density provides an opportunity for Sandberg bluegrass expansion and/or cheatgrass and other invasive species to occupy interspaces, leading to increased fire frequency and potentially an annual plant community. Depending on the season of use, the grazer and site conditions, either Sandberg bluegrass or cheatgrass may become the dominant understory with inappropriate grazing management. For example, Daubenmire (1970) found that heavy sheep grazing favors Sandberg bluegrass, while heavy cattle grazing favors cheatgrass.
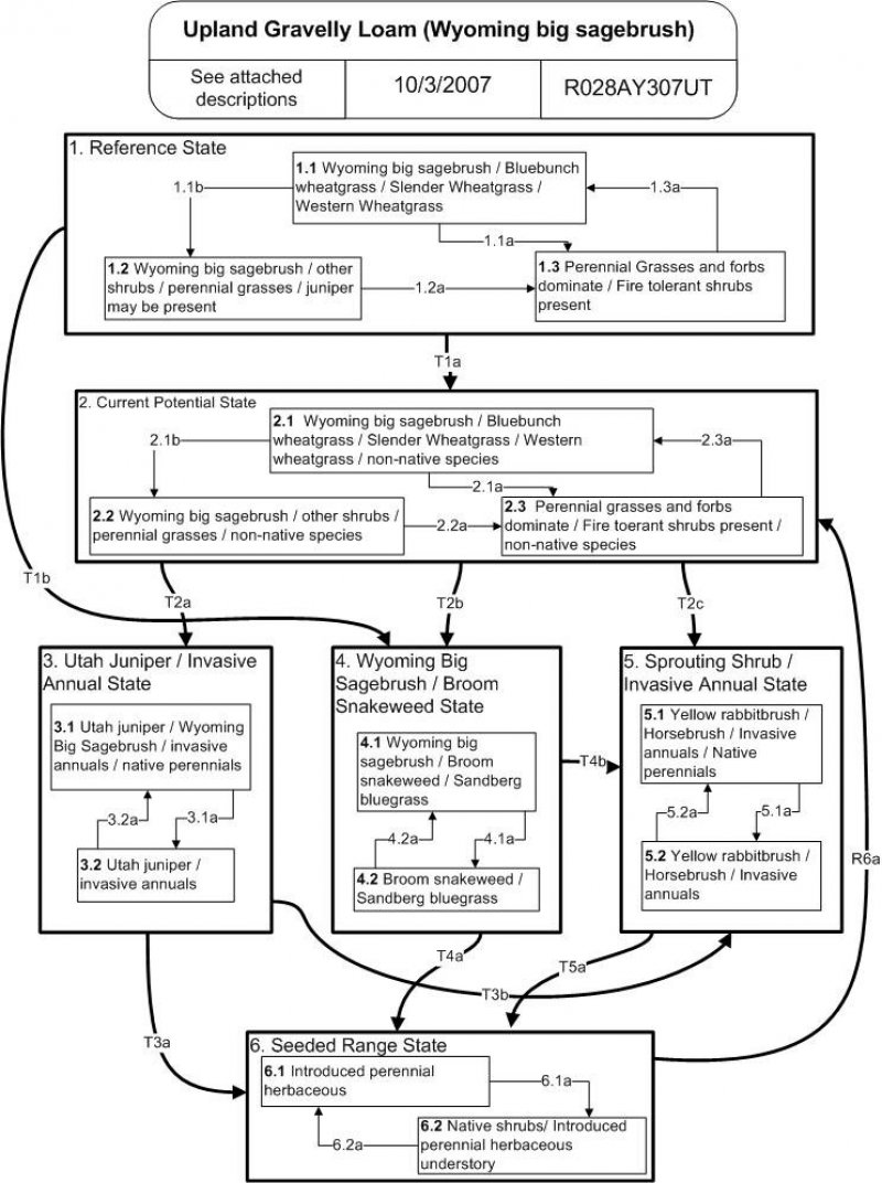
Six possible alternative stable states have been identified for this ecological site. The Reference State contains four community phases, shrub/grass dominated, shrub dominated, grass dominated, and a fire tolerant phase. The primary drivers in this state are fire, drought, and/or insect of disease. The Current Potential State is like the Reference State; however, non-native species have been introduced in the system which alters the resilience and resistance of the state. The Shrub State occurs with time and lack of disturbance and/or inappropriate grazing management. The Annual State occurs after large fires or multiple fires that promote annual invasive species dominance over native shrubs and grasses. The Tree State occurs when there has been sufficient time for junipers and/or pinyon trees to increase in density and dominate the site dynamics. The Seeded State occurs with management with seeding of deep rooted perennial bunchgrasses. Specific community phases and transitions will be described in the narratives below.
State and transition model
Figure 5. STM Upland Gravelly Loam (Wyoming big sagebrush)
More interactive model formats are also available.
View Interactive Models
More interactive model formats are also available.
View Interactive Models
Click on state and transition labels to scroll to the respective text
Ecosystem states
States 2, 5 and 6 (additional transitions)
State 3 submodel, plant communities
State 4 submodel, plant communities
State 5 submodel, plant communities
State 6 submodel, plant communities
State 1
Reference State
The Reference State includes the plant communities that were best adapted to the unique combination of factors associated with this ecological site prior to European settlement. It was in a natural dynamic equilibrium with the historic biotic and abiotic (i.e. climactic), and disturbance factors on the ecological site in North America at the time of European immigration and settlement. Assumed historic fire interval is 50-60 years. Dominant vegetative aspect is Wyoming big sagebrush and bluebunch wheatgrass with other grasses and forbs in the interspaces. This site is usually associated with Lake Bonneville terraces. The air-dry composition weight is 50 percent perennial grasses, 15 percent forbs, and 35 percent shrubs. Plants begin growth around April 20 and end growth around September 15. The Reference State has been determined by the study of rangeland relic areas, the evaluation of collected data, and trend data. The assumptions in developing this site were that the historic data and the sites visited were accurately represented.
Characteristics and indicators. This state will have no non-native species in the plant community.
Community 1.1
Wyoming big sagebrush/Bluebunch wheatgrass
The dominant aspect of the plant community is Wyoming big sagebrush and bluebunch wheatgrass. The community is made up of 40 to 60 percent grass, 7 to 20 percent forbs, and 33 to 45 percent shrubs on an annual production dry weight basis.
Figure 6. Annual production by plant type (representative values) or group (midpoint values)
Table 5. Annual production by plant type
| Plant type | Low (lb/acre) |
Representative value (lb/acre) |
High (lb/acre) |
|---|---|---|---|
| Grass/Grasslike | 235 | 510 | 780 |
| Shrub/Vine | 200 | 440 | 670 |
| Forb | 65 | 150 | 250 |
| Total | 500 | 1100 | 1700 |
Table 6. Ground cover
| Tree foliar cover | 0.0-0.5% |
|---|---|
| Shrub/vine/liana foliar cover | 15-25% |
| Grass/grasslike foliar cover | 20-30% |
| Forb foliar cover | 7-12% |
| Non-vascular plants | 0% |
| Biological crusts | 1-3% |
| Litter | 10-20% |
| Surface fragments >0.25" and <=3" | 10-15% |
| Surface fragments >3" | 0-3% |
| Bedrock | 0% |
| Water | 0% |
| Bare ground | 15-25% |
Table 7. Canopy structure (% cover)
| Height Above Ground (ft) | Tree | Shrub/Vine | Grass/ Grasslike |
Forb |
|---|---|---|---|---|
| <0.5 | 0% | 0-1% | 5-8% | 1-2% |
| >0.5 <= 1 | 0% | 1-5% | 3-7% | 2-4% |
| >1 <= 2 | 0% | 3-5% | 10-14% | 2-3% |
| >2 <= 4.5 | 0% | 15-24% | 1-3% | 0-1% |
| >4.5 <= 13 | 0% | 0% | 5-8% | 0% |
| >13 <= 40 | 0% | 0% | 0% | 0% |
| >40 <= 80 | 0% | 0% | 0% | 0% |
| >80 <= 120 | 0% | 0% | 0% | 0% |
| >120 | 0% | 0% | 0% | 0% |
Community 1.2
Wyoming big sagebrush/other shrubs/perennial grasses/sparse juniper may be present
The dominant aspect of the plant community is Wyoming big sagebrush with a suppressed understory. Utah juniper may be sparsely scattered if a seed source is available. The community is made up of 15 to 25 percent grass, 20 to 35 percent forbs, and 45 to 70 percent shrubs on an annual production dry weight basis.
Community 1.3
Perennial cool season grasses /Forbs/fire tolerant shrubs
The dominant aspect of the plant community is perennial grasses and forbs. Some fire tolerant shrubs may be present. The community is made up of 60 to 90 percent grass, 15 to 25 percent forbs, and 5 to 20 percent shrubs on an annual production dry weight basis.
Pathway 1.1a
Community 1.1 to 1.2
Time without a disturbance event. This was probably dependent on a specific chain of favorable climatic events.
Pathway 1.1b
Community 1.1 to 1.3
Disturbances such as fire, insects, prolonged drought, or pathogens that kills and/or reduces the sagebrush and releases the perennial grass and forb understory community. Fire is the most effective of these disturbances.
Pathway 1.2a
Community 1.2 to 1.3
Disturbances such as fire, insects, prolonged drought, or pathogens that kills and/or reduces the sagebrush and/or Utah juniper and releases the perennial grass and forb understory community. Fire is the most effective of these disturbances and is the only effective one where Utah juniper is involved.
Pathway 1.3a
Community 1.3 to 1.1
Time without a disturbance event. (i.e. Fire, insect damage, prolonged drought, etc.) This was probably dependent on a specific chain of climatic events.
State 2
Current Potential State
The Current Potential State includes the plant communities that were in the Reference State but with a component of invasive species (such as cheatgrass and/or Russian thistle) added. There is no known way to effectively remove these plants from the site once they have become established. The level of occurrence of these plants in the Current Potential State is such that careful management can prevent their domination of the site. This site is irreversibly changed. Plant communities within this state may be managed and used for various purposes without significant alteration in plant community composition or production
Characteristics and indicators. This state is similar in community composition and community dynamics to the Reference State with the exception of non-native species inclusion in the plant community.
Community 2.1
Wyoming big sagebrush/Bluebunch wheatgrass/non-native species
The dominant aspect of the plant community is Wyoming big sagebrush and bluebunch wheatgrass. The community is made up of 40 to 60 percent grass, 7 to 20 percent forbs, and 33 to 45 percent shrubs on an annual production dry weight basis. Non-native species are present but do not dominate.
Community 2.2
Wyoming big sagebrush/other shrubs/perennial grasses
The dominant aspect of the plant community is Wyoming big sagebrush with a suppressed understory. The community is made up of 15 to 25 percent grass, 20 to 35 percent forbs, and 45 to 70 percent shrubs on an annual production dry weight basis. Non-native species are present but do not dominate.
Community 2.3
Perennial cool season grasses/forbs/fire tolerant shrubs/non-native species
The dominant aspect of the plant community is perennial grasses and forbs. Some fire tolerant shrubs may be present. The community is made up of 60 to 90 percent grass, 15 to 25 percent forbs, and 5 to 20 percent shrubs on an annual production dry weight basis. Non-native species are present but do not dominate.
Pathway 2.1a
Community 2.1 to 2.2
Time without a disturbance event. (i.e. fire, insect damage, prolonged drought, etc.) This was probably dependent on a specific chain of climatic events.
Pathway 2.1b
Community 2.1 to 2.3
Disturbances such as fire, insects, prolonged drought, or pathogens that kills and/or reduces the sagebrush and releases the perennial grass and forb understory community. Fire is the most effective of these disturbances. Chemical or mechanical vegetation manipulation may also be used.
Pathway 2.2a
Community 2.2 to 2.3
Disturbances such as fire, insects, prolonged drought, or pathogens that kills and/or reduces the sagebrush and/or Utah juniper and releases the perennial grass and forb understory community. Fire is the most effective of these disturbances and is the only effective one where Utah juniper is involved. Chemical or mechanical vegetation manipulation may also be used.
Pathway 2.3a
Community 2.3 to 2.1
Time without a disturbance event. (i.e. Fire, insect damage, prolonged drought, etc.) This was probably dependent on a specific chain of climatic events.
State 3
Utah Juniper Invasion State
The Utah Juniper Invasion State is driven by lack of fire. Movement into this state can be accelerated by overgrazing. This state can persist for a long time until extreme conditions needed for a wildfire occur or some other management treatment is implemented.
Community 3.1
Utah juniper/Wyoming big sagebrush/invasive plants/native perennials
The dominant aspect of the plant community is Utah Juniper. The community is made up of 5 to 15 percent grass, 15 to 25 percent forbs, 5 to 25 percent shrubs, and 15 to 35 percent juniper trees on an annual production dry weight basis. Non-native species are present and may or may not dominate.
Community 3.2
Utah juniper/sparse understory
The dominant aspect of the plant community is Utah juniper with a sparse understory. The community is made up of 0 to 5 percent grass, 5 to 10 percent forbs, 0 to 5 percent shrubs, and 45 to 95 percent juniper trees on an annual production dry weight basis. Non-native species are present and may or may not dominate.
Pathway 3.1a
Community 3.1 to 3.2
Disturbance such as improper grazing and/or drought over a prolonged period of time with no fire or other disturbance occurring. This will continue unless a large amount of energy is injected into the system (i.e. vegetation manipulation) to cause a change to take place.
Pathway 3.2a
Community 3.2 to 3.1
Disturbances such as patchy fires, pathogens, or extreme drought that kills or thins the juniper stand and prescribed grazing and/or periods of favorable growing conditions that favor the reestablishment of understory plants can move the community back to 3.1.
State 4
Shrub State
The Shrub State occurs when there is long term improper grazing (continuous season long, high intensity). The perennial grasses are removed and broom snakeweed will increase in the understory (Ralphs and Thacker 2007).
Community 4.1
Wyoming big sagebrush/broom snakeweed/Sandberg bluegrass
The dominant aspect of the plant community is Wyoming big sagebrush with significant portions of broom snakeweed in the understory or broom snakeweed with Wyoming big sagebrush as the secondary shrub. The community is made up of 5 to 15 percent grass, 20 to 35 percent forbs, and 40 to 60 percent shrubs of which 25 to 80 percent is broom snakeweed, on an annual production dry weight basis. Non-native species are present but do not dominate
Community 4.2
Broom snakeweed/invasive annuals/sandberg bluegrass
The dominant aspect of the plant community is broom snakeweed. The community is made up of 5 to 15 percent grass, 15 to 20 percent forbs, and 40 to 75 percent shrubs on an annual production dry weight basis. Non-native species are present, but do not dominate.
Pathway 4.1a
Community 4.1 to 4.2
Fire kills the sagebrush overstory allowing the subsequent increase of broom snakeweed (Ralphs and Thacker 2007).
Pathway 4.2a
Community 4.2 to 4.1
Prescribed grazing and a lengthening of the fire interval will result in Wyoming big sagebrush re-establishing in the community. Chemical treatment to suppress the broom snakeweed may also accelerate this pathway.
State 5
Yellow rabbitbrush / Invasive annuals state
The Yellow rabbitbrush / Invasive annuals State occurs when the site is overgrazed. Drought conditions will enhance and/or accelerate the move to this state. This state often occurs after fire. The dominant aspect of this state is fire tolerant shrubs like yellow rabbitbrush and fire tolerant annual grasses like cheatgrass brome.
Community 5.1
Invasive annuals = native perennials
The dominant aspect of the plant community is rabbitbrush and other fire tolerant shrubs. The community will usually be made up of 20 to 35 percent cheatgrass brome and other grasses, 10 to 15 percent forbs, and 20 to 45 percent shrubs.
Community 5.2
Invasive annuals
The dominant aspect of the plant community is typically invasive annual grasses, but may include significant components of forbs such as halogeton, annual kochia, and/or Russian thistle. These plants dominate with only a scattering of native plants.
Pathway 5.1a
Community 5.1 to 5.2
This is caused by increased fire frequency (from 10 to 20 years to 3 to 5 years) and intensity without follow-up management. Overgrazing can move this situation along faster. This pathway is somewhat self-sustaining and the site will keep deteriorating until the site potential is lost.
Pathway 5.2a
Community 5.2 to 5.1
Prescribed grazing and a lengthening of the fire interval will result in native plants such as Wyoming big sagebrush and perennial grasses slowly re-establishing in the community, but never again regaining dominance.
State 6
Seeded Range State
The Seeded Range State results from significant vegetation manipulation that may include, prescribed burning, chaining, disking, mowing, or other techniques with the intentional introduction of non-native perennial grasses such as crested wheatgrass or Russian wildrye. This state may persist for long periods of time. Typically, sagebrush will establish in the seeding to significant proportions within 15 years.
Community 6.1
Introduced perennial plants
The dominant aspect of the plant community is the intentionally introduced perennial grasses and/or forbs and/or shrubs. The community will usually be made up of 60 to 95 percent grasses, 1 to 30 percent forbs, and 0 to 10 percent shrubs. Some invasive plants may be present depending on the success of the planting.
Community 6.2
Native shrubs = Introduced perennial plants
The dominant aspect of the plant community can be either intentionally introduced perennial grasses and/or forbs and/or shrubs with Wyoming big sagebrush. The community will usually be made up of 25 to 75 percent grasses, 1 to 20 percent forbs, and 15 to 35 percent shrubs.
Pathway 6.1a
Community 6.1 to 6.2
This community pathway occurs when there is sufficient time without a disturbance event. This is dependent on a specific chain of favorable climatic events and prescribed grazing to establish Wyoming big sagebrush.
Pathway 6.2a
Community 6.2 to 6.1
Disturbances such as fire, insects, prolonged drought, or pathogens that kills and/or reduces the sagebrush and releases the perennial grass and forb understory community. Fire is the most effective of these disturbances. Chemical or mechanical vegetation manipulation may also be used.
Transition T1a
State 1 to 2
Disturbances such as improper grazing, and the introduction of seed of invasive species (such as cheatgrass and/or Russian thistle).
Transition T1b
State 1 to 4
Prolonged improper grazing (continuous season long grazing at high intensity) suppresses most perennial grasses and forbs allowing Sandberg bluegrass and broom snakeweed to increase in the understory (Ralphs and Thacker 2007).
Transition T2a
State 2 to 3
Prolonged drought and/or extreme lengthening of the fire interval. This takes place when the sagebrush canopy increases enough that it starts to severely suppress the perennial grass and forb understory and the fire interval is increased from 50 to 60 years to 70 to 90 years followed by an increase of Utah juniper. Drought can stress the existing plants on the site creating ideal conditions for Utah juniper establishment in the next favorable year. Improper grazing can accelerate this transition.
Transition T2b
State 2 to 4
Prolonged improper grazing (continuous season long grazing at high intensity) suppresses most perennial grasses and forbs allowing Sandberg bluegrass and broom snakeweed to increase in the under story (Ralphs and Thacker 2007).
Transition T2c
State 2 to 5
Disturbances including improper grazing and decrease of fire interval over a prolonged period of time.
Transition T3b
State 3 to 5
Disturbances including improper grazing and decrease of fire interval over a prolonged period of time.
Transition T3a
State 3 to 6
Actions such as mechanical treatment and seeding; chemical treatment and seeding, or other vegetation manipulations that remove the junipers and intentionally establish introduced perennial plants.
Transition T4b
State 4 to 5
Disturbances including improper grazing and decrease of fire interval over a prolonged period of time (8 to 15 year fire intervals), with invasive plants becoming dominant.
Transition T4a
State 4 to 6
Actions such as mechanical treatment and seeding; chemical treatment and seeding, or other vegetation manipulations that remove the broom snakeweed and intentionally establish introduced perennial plants.
Transition T5a
State 5 to 6
Actions such as mechanical treatment and seeding; chemical treatment and seeding, or other vegetation manipulations that remove the invasive plants and intentionally establish introduced perennial plants.
Restoration pathway R6a
State 6 to 2
Under careful management, native grasses and forbs will become re-established in this plant community over a long period of time, allowing a transition back to the Current Potential State over 100-150 years. Actively manipulating plant communities in the annual grass or juniper invasion states to create a seeded range state is the first step in assisted succession to restore plant communities.
Conservation practices
| Prescribed Grazing | |
|---|---|
| Grazing Management Plan - Applied |
Additional community tables
Table 8. Community 1.1 plant community composition
| Group | Common name | Symbol | Scientific name | Annual production (lb/acre) | Foliar cover (%) | |
|---|---|---|---|---|---|---|
|
Shrub/Vine
|
||||||
| 1 | Dominant Shrubs | 180–360 | ||||
| Wyoming big sagebrush | ARTRW8 | Artemisia tridentata ssp. wyomingensis | 180–360 | – | ||
| 3 | Subdominant Shrubs | 120–180 | ||||
| Shrub, other | 2S | Shrub, other | 60–120 | – | ||
| Nevada jointfir | EPNE | Ephedra nevadensis | 60–120 | – | ||
| yellow rabbitbrush | CHVI8 | Chrysothamnus viscidiflorus | 12–60 | – | ||
| slender buckwheat | ERMI4 | Eriogonum microthecum | 12–36 | – | ||
| spineless horsebrush | TECA2 | Tetradymia canescens | 12–36 | – | ||
| broom snakeweed | GUSA2 | Gutierrezia sarothrae | 0–22 | – | ||
| antelope bitterbrush | PUTR2 | Purshia tridentata | 0–12 | – | ||
| shadscale saltbush | ATCO | Atriplex confertifolia | 0–12 | – | ||
|
Grass/Grasslike
|
||||||
| 2 | Dominant Grasses | 480–720 | ||||
| bluebunch wheatgrass | PSSP6 | Pseudoroegneria spicata | 240–360 | – | ||
| slender wheatgrass | ELTR7 | Elymus trachycaulus | 120–180 | – | ||
| western wheatgrass | PASM | Pascopyrum smithii | 120–180 | – | ||
| 1 | Subdominant Grasses | 120–240 | ||||
| Grass, perennial | 2GP | Grass, perennial | 60–180 | – | ||
| Grass, annual | 2GA | Grass, annual | 36–60 | – | ||
| Indian ricegrass | ACHY | Achnatherum hymenoides | 12–48 | – | ||
| muttongrass | POFE | Poa fendleriana | 12–48 | – | ||
| needle and thread | HECO26 | Hesperostipa comata | 12–48 | – | ||
| prairie Junegrass | KOMA | Koeleria macrantha | 12–36 | – | ||
| basin wildrye | LECI4 | Leymus cinereus | 12–36 | – | ||
| Sandberg bluegrass | POSE | Poa secunda | 12–36 | – | ||
| purple threeawn | ARPU9 | Aristida purpurea | 0–36 | – | ||
| squirreltail | ELEL5 | Elymus elymoides | 12–36 | – | ||
|
Forb
|
||||||
| 3 | Dominant Forbs | 120–240 | ||||
| arrowleaf balsamroot | BASA3 | Balsamorhiza sagittata | 48–120 | – | ||
| tapertip hawksbeard | CRAC2 | Crepis acuminata | 36–60 | – | ||
| white sagebrush | ARLUC8 | Artemisia ludoviciana ssp. candicans | 36–60 | – | ||
| 2 | Subdominant Forbs | 60–120 | ||||
| Forb, perennial | 2FP | Forb, perennial | 96–180 | – | ||
| Forb, annual | 2FA | Forb, annual | 60–96 | – | ||
| common yarrow | ACMI2 | Achillea millefolium | 24–48 | – | ||
| tailcup lupine | LUCAC3 | Lupinus caudatus ssp. caudatus | 24–48 | – | ||
| matted buckwheat | ERCA8 | Eriogonum caespitosum | 12–36 | – | ||
| shaggy fleabane | ERPU2 | Erigeron pumilus | 12–36 | – | ||
| common sunflower | HEAN3 | Helianthus annuus | 12–36 | – | ||
| western stoneseed | LIRU4 | Lithospermum ruderale | 12–36 | – | ||
| Gray's biscuitroot | LOGR | Lomatium grayi | 12–36 | – | ||
| lobeleaf groundsel | PAMU11 | Packera multilobata | 12–36 | – | ||
| low beardtongue | PEHU | Penstemon humilis | 12–36 | – | ||
| longleaf phlox | PHLO2 | Phlox longifolia | 12–36 | – | ||
| scarlet globemallow | SPCO | Sphaeralcea coccinea | 12–36 | – | ||
| Torrey's milkvetch | ASCA9 | Astragalus calycosus | 12–36 | – | ||
| painted milkvetch | ASCE | Astragalus ceramicus | 12–36 | – | ||
| woollypod milkvetch | ASPU9 | Astragalus purshii | 12–36 | – | ||
| Utah milkvetch | ASUT | Astragalus utahensis | 12–36 | – | ||
| yellow spiderflower | CLLUL | Cleome lutea var. lutea | 0–36 | – | ||
| roundspike cryptantha | CRHU2 | Cryptantha humilis | 12–36 | – | ||
| longstalk springparsley | CYLO | Cymopterus longipes | 12–36 | – | ||
| tall annual willowherb | EPBR3 | Epilobium brachycarpum | 0–24 | – | ||
| cushion cryptantha | CRCI2 | Cryptantha circumscissa | 12–24 | – | ||
| wavyleaf thistle | CIUNU | Cirsium undulatum var. undulatum | 12–24 | – | ||
| sego lily | CANU3 | Calochortus nuttallii | 12–24 | – | ||
| Nevada onion | ALNE | Allium nevadense | 12–24 | – | ||
| rosy pussytoes | ANRO2 | Antennaria rosea | 12–24 | – | ||
| foothill deathcamas | ZIPA2 | Zigadenus paniculatus | 12–24 | – | ||
| Utah buttercup | RAJO | Ranunculus jovis | 12–24 | – | ||
| carpet phlox | PHHOC | Phlox hoodii ssp. canescens | 12–24 | – | ||
| scarlet gilia | IPAGA3 | Ipomopsis aggregata ssp. aggregata | 12–24 | – | ||
| smoothstem blazingstar | MELA2 | Mentzelia laevicaulis | 0–24 | – | ||
| yellow owl's-clover | ORLU2 | Orthocarpus luteus | 12–24 | – | ||
Interpretations
Animal community
Sagebrush ecological sites support a wide diversity of wildlife. More than 300 species of invertebrates, 45 reptiles, 91 birds, and 88 mammals have been documented to use sagebrush communities. Sagebrush obligates require sagebrush to complete their life cycles. The sagebrush defoliator moth, sage-grouse, sage thrasher, sage sparrow, Brewer’s sparrow, pygmy rabbit, and sagebrush vole are known sagebrush obligate species. Many other species are closely associated with sagebrush sites, and occur in them more frequently than adjacent sites lacking sagebrush. These include Mormon cricket, western rattlesnake, gopher snake, short-horned lizard, sagebrush lizard, Great Basin pocket mouse, least chipmunk, and pronghorn. Other common wildlife species using this site include red-tailed hawk, common raven, black-tail jackrabbit, and coyote. Mule deer use the site primarily as winter range.
Reference and Current Potential States
The highest diversity and densities of wildlife on this site are found where mosaics of community phases are present. Phases dominated by shrubs will be used more by sagebrush obligates, including greater sage-grouse for nesting and wintering habitat. Phases dominated by grasses and forbs will be used more by grassland-nesting birds, such as Columbian sharp-tailed grouse, vesper sparrow, lark sparrow, western meadowlark, and as greater sage-grouse brood-rearing habitat.
Utah Juniper Invasion State
Sagebrush obligate and grassland species will no longer use this site, or be greatly reduced. Woodland species will increase their use of the site. These include ferruginous hawk, gray flycatcher, juniper titmouse, bushy-tailed woodrat, and porcupine. Juniper berries provide winter food for Townsend’s solitaire, bluebirds, waxwings, and American robin. Mule deer and elk will use the site as winter range and for thermal cover.
Wyoming Big Sagebrush/Broom Snakeweed and Invasive Plant States
Sagebrush obligate and associated wildlife will persist on this site as long as sufficient cover of Wyoming big sagebrush is present. Sagebrush-killing fire on this site will eliminate use by sagebrush obligates, and greatly reduce use by other shrubland species. Typical wildlife will consist of generalist species such as western fence lizard, black-billed magpie, common raven, cottontails, deer mouse, and coyote.
Seeded Range State
Sagebrush obligate and associated species will be lost from this site until Wyoming big sagebrush is established through intentional planting or natural recolonization. Typical wildlife using the site will be generalist grassland species such as northern harrier, western meadowlark, deer mouse, and coyote. Wildlife species diversity and densities will increase as the community becomes more complex and includes more native grasses, forbs, and shrubs. Seeded monocultures will be depauperate of wildlife.
Hydrological functions
The Hydrologic group is B
Recreational uses
Recreation activities include aesthetic value; and fair opportunities for hiking and hunting.
Wood products
There are no wood products from this site unless there is Utah juniper invasion onto the site. Posts and fire wood can be harvested when Utah juniper is present.
Other information
The Upland Gravelly Loam (Wyoming sagebrush) site is most often found on the Salt Lake benches and slopes between them. The site is located just below the Bonneville big sagebrush zone. But there are occasions where, due to climatic anomalies, the Bonneville big sagebrush sites are absent from the catena and the Wyoming big sagebrush site will occur all the way up to the mountain big sagebrush sites. In these rare situations antelope bitterbrush will be present in the upper parts of the site where the site is located above 14 inches of precipitation.
Supporting information
Type locality
| Location 1: Tooele County, UT | |
|---|---|
| Township/Range/Section | T2S R3W SSW19 |
| General legal description | Type Location: SW ¼, SW ¼, Section 19, Township 2S, Range 3W |
Other references
Anderson, E. W. and R. J. Scherzinger. 1975. Improving quality of winter forage for elk by cattle grazing. Journal of Range Management:120-125.
Blaisdell, J.P. and J.F. Pechanec. 1949. Effects of herbage removal at various dates on vigor of bluebunch wheatgrass and arrowleaf balsamroot. Ecology 30(3):298-305.
Daubenmire, R. 1970. Steppe Vegetation of Washington. 131 pp.
Garrison, H. 2006. Study of a putative hybrid taxon in the Artemisia tridentata complex. Master’s thesis, College of Natural Resources, Utah State University, Logan, UT.
Garrison, H. D., L. M. Shultz, and E. D. McArthur. 2013. Studies of a new hybrid taxon in the Artemisia tridentata (Asteraceae: Anthemideae) complex. Western North American Naturalist 73(1):1-19.
Laycock, W. A. 1967. How heavy grazing and protection affect sagebrush-grass ranges. Journal of Range Management:206-213.
Lett, M. S., and A. K. Knapp. 2005. Woody plant encroachment and removal in mesic grassland: Production and composition responses of herbaceous vegetation. American Midland Naturalist 153:217-231.
Miller, R.F., J.C. Chambers, D.A. Pyke, F.B. Pierson, and C.J. Williams. 2013. A review of fire effects on vegetation and soils in the Great Basin Region: response and ecological site characteristics. Gen. Tech. Rep. RMRS-GTR-308. Fort Collins, CO: U.S. Department of Agriculture, Forest Service, Rocky Mountain Research Station. 126 p.
Miller, R.F., J.C. Chambers, and M. Pellant. 2015. A field guide for rapid assessment of post-wildfire recovery potential in sagebrush and pinon-juniper ecosystems in the Great Basin: Evaluating resilience to disturbance and resistance to invasive annual grasses and predicting vegetation response. Gen. Tech. Rep. RMRS-GTR-338. Fort Collins, CO: U.S. Department of Agriculture, Forest Service, Rocky Mountain Research Station. 70 p.
Miller, R. F., T. J. Svejcar, and J. A. Rose. 2000. Impacts of western juniper on plant community composition and structure. Journal of Range Management:574-585.
Pierson, F. B., C. J. Williams, P. R. Kormos, S. P. Hardegree, P. E. Clark, and B. M. Rau. 2010. Hydrologic vulnerability of sagebrush steppe following pinyon and juniper encroachment. Rangeland Ecology & Management 63:614-629.
Rivera, S., L. Schultz, A.J. Hernandez, and R.D. Ramsey. 2011. GIS ordination approach to model distribution of shrub species in northern Utah. Natural Resources and Environmental Issues 17(25):1-12.
Tisdale, E. W. and M. Hironaka. 1981. The sagebrush-grass region: A review of the ecological literature. University of Idaho, Forest, Wildlife and Range Experiment Station.
Winward, A.H. 2004. Sagebrush of Colorado: taxonomy, distribution, ecology and management. Colorado Division of Wildlife, Denver, CO.
Zlatnik, Elena. 1999. Purshia tridentata. In: Fire Effects Information System, [Online]. U.S. Department of Agriculture, Forest Service, Rocky Mountain Research Station, Fire Sciences Laboratory (Producer). Available: https://www.fs.fed.us/database/feis/plants/shrub/purtri/all.html [2018, May 10].
Contributors
Brock Benson
David J. Somerville
Karen L. Fullen
Mike Ralphs (ARS), Shane A. Green
Approval
Jamin Johanson, 5/02/2025
Rangeland health reference sheet
Interpreting Indicators of Rangeland Health is a qualitative assessment protocol used to determine ecosystem condition based on benchmark characteristics described in the Reference Sheet. A suite of 17 (or more) indicators are typically considered in an assessment. The ecological site(s) representative of an assessment location must be known prior to applying the protocol and must be verified based on soils and climate. Current plant community cannot be used to identify the ecological site.
| Author(s)/participant(s) |
Brock Benson, Ecological Site Inventory Specialist, NRCS, Utah Jack Alexander, Range Specialist, Synergy Resource Solutions, Inc. Julia Kluck, Soil Scientist, Synergy Resource Solutions, Inc. Shane Green, State Range Specialist, Utah NRCS |
|---|---|
| Contact for lead author | Shane Green, Shane.Green@ut.usda.gov |
| Date | 02/09/2010 |
| Approved by | Jamin Johanson |
| Approval date | |
| Composition (Indicators 10 and 12) based on | Annual Production |
Indicators
-
Number and extent of rills:
None to few. Any rills present should be short in length (less than 1.5 feet long) and follow the surface micro-features. If rills are present they should be widely spaced and not connected. Old rills will weather quickly because of loamy surface textures. Frost heaving will accelerate recovery. A slight increase in rill formation may be caused by major disturbance events such as severe thunderstorms. -
Presence of water flow patterns:
Flow patterns around perennial plants bases will show minor evidence of erosion. They will be short (1 to 3 feet long) and look stable. There will be slight evidence of deposition. Where slopes exceed 10 % water flow patterns may increase to lengths of 5 to 10 feet. -
Number and height of erosional pedestals or terracettes:
Plants should show slight (1/8 – ½ in.) pedestalling. Pedestalling on the down slope side of plants may appear to be greater than this and will be more visible as slopes increase. Terracettes should be small (1 to 3 inches) until slopes are greater than 20 % where they will be visible at a distance. At this point the terracettes should look stable and have little to no evidence of soil being re-deposited. -
Bare ground from Ecological Site Description or other studies (rock, litter, lichen, moss, plant canopy are not bare ground):
15 to 40 % (15 – 25 % on slopes up to 25 % and 25 – 40 % on slopes from 25 % up). Very few if any bare spaces will be greater than 1.5 square feet. -
Number of gullies and erosion associated with gullies:
None to very few. Any gullies present should show little sign of active erosion and should appear stable having perennial plants growing in the bottom and on the sides. -
Extent of wind scoured, blowouts and/or depositional areas:
Slight wind generated soil movement is normal. Wind caused blowouts are very rare and are mostly stable and have healed over or started to do so. Increased wind generated soil movement can occur after severe wind events but will normally not be visually apparent. -
Amount of litter movement (describe size and distance expected to travel):
A little redistribution can be caused by both wind and water. Very fine to fine litter movement may occur in water flow patterns with deposition occurring at points of obstruction. Fine litter may be removed from the site by wind action. On slopes greater than 25 % litter may be moved down hill to the next point of obstruction. -
Soil surface (top few mm) resistance to erosion (stability values are averages - most sites will show a range of values):
80 to 90% of this site should have soil surfaces that are stabilized by organic matter both de-compositional and incorporated (Stability Class 3.5 - 5). This should be observable in that water flow patterns are not scoured to where the surface is visibly smoother than soil surfaces in non flow pattern areas. -
Soil surface structure and SOM content (include type of structure and A-horizon color and thickness):
The A horizon is varies from 5 to 16 inches thick. Color is a grayish brown gravelly loam (typical mollic colors). Structure should be granular. -
Effect of community phase composition (relative proportion of different functional groups) and spatial distribution on infiltration and runoff:
When perennial plant community is intact it will maintain the organic granular structure, soil porosity, and sinuous water flow paths that allow water to infiltrate at a rate that will not lend itself to water leaving the site except in the case of severe thunder storms. If the plant community has been degraded then the site will show longer and/or smoother than expected water flow patterns, with increased numbers of and/or longer rills, with a more platy structure making it likely that more water will leave the site. -
Presence and thickness of compaction layer (usually none; describe soil profile features which may be mistaken for compaction on this site):
There should be no compaction layer. The amount of gravel can make it hard to use a probe to determine this. -
Functional/Structural Groups (list in order of descending dominance by above-ground annual-production or live foliar cover using symbols: >>, >, = to indicate much greater than, greater than, and equal to):
Dominant:
bluebunch wheatgrass, Wyoming big sagebrushSub-dominant:
slender wheatgrass, Western wheatgrassOther:
other grasses, forbs, other shrubsAdditional:
Assumed fire cycle of 50-60 years. Perennial bunchgrasses > non-sprouting shrubs > rhizomatous grasses > sprouting shrubs » annuals > invaders such as Cheatgrass brome For example, Dominants: Wyoming big sagebrush, Bluebunch wheatgrass; Sub-dominants: Slender Wheatgrass, Western wheatgrass. The perennial bunchgrass about 40 to 55 %; forbs 10 to 20 %; shrub 20 to 40 % (composition by biomass) functional groups are expected on this site. -
Amount of plant mortality and decadence (include which functional groups are expected to show mortality or decadence):
During years with average to above average precipitation, there should be very little recent mortality or decadence apparent in either the shrubs or grasses. Some mortality of bunchgrass and other shrubs may occur during very severe (long-term) droughts. There may be partial mortality of individual bunchgrasses and shrubs during less severe drought. Long-lived species dominate site. Open spaces from disturbance are quickly filled by new plants through seedlings and reproductive reproduction (tillering). -
Average percent litter cover (%) and depth ( in):
15 to 35 % of the ground surface should have a litter covering that is within 1 inch or less of the soil surface. Excess litter may accumulate in the absence of grazing and/or disturbance which if it becomes greater than 45% it will often reduce live vegetative cover and reproduction. -
Expected annual annual-production (this is TOTAL above-ground annual-production, not just forage annual-production):
650 – 950 lb./acre on slopes 20 to 30 % and 800 to 1100 lb./acre on slopes less than 20 % under normal growing conditions. -
Potential invasive (including noxious) species (native and non-native). List species which BOTH characterize degraded states and have the potential to become a dominant or co-dominant species on the ecological site if their future establishment and growth is not actively controlled by management interventions. Species that become dominant for only one to several years (e.g., short-term response to drought or wildfire) are not invasive plants. Note that unlike other indicators, we are describing what is NOT expected in the reference state for the ecological site:
As ecological condition deteriorates due to outside disturbances, perennial bunch grasses decrease while less desirable plants like Low rabbitbrush, and Prickly pear increase along with invasive plants like Cheatgrass brome and Utah juniper. When the historic climax plant community is burned, Wyoming big sagebrush will decrease while perennial grasses, forbs and Low rabbitbrush increase markedly. Broom snakeweed and Purple threeawn increase to a much lesser extent. If the site is burned too frequently Cheatgrass brome, Halogeton, Broom snakeweed and Russian thistle are most likely to invade this site and eventually dominate it. -
Perennial plant reproductive capability:
All plants should have the ability to reproduce either by seed and/or vegetative tillers in all years, except after prolonged extreme drought years. Within capability of site there are no restrictions on seed or vegetative reproductive capacity.
Print Options
Sections
Font
Other
The Ecosystem Dynamics Interpretive Tool is an information system framework developed by the USDA-ARS Jornada Experimental Range, USDA Natural Resources Conservation Service, and New Mexico State University.
Click on box and path labels to scroll to the respective text.