Natural Resources
Conservation Service
Ecological site F028BY072NV
Concave Mountain Slopes
Last updated: 2/19/2025
Accessed: 12/19/2025
General information
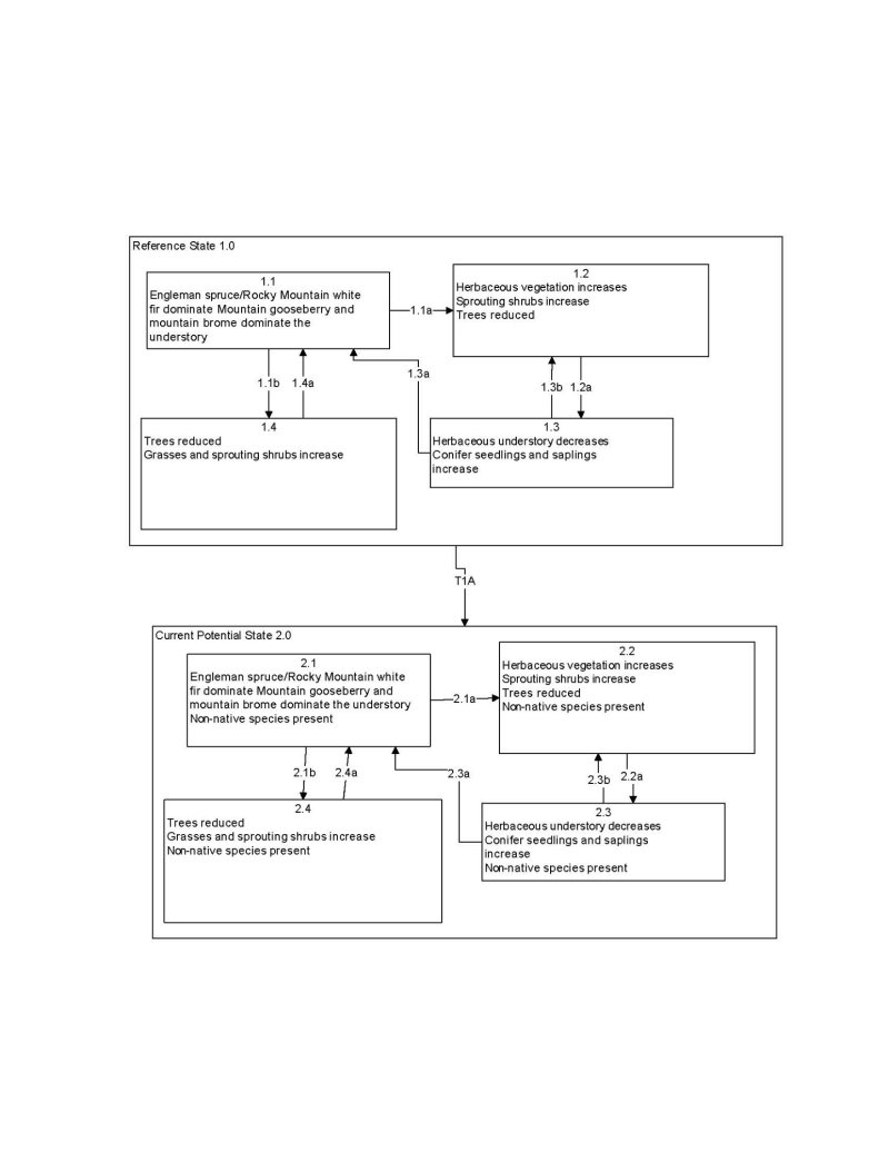
Provisional. A provisional ecological site description has undergone quality control and quality assurance review. It contains a working state and transition model and enough information to identify the ecological site.
MLRA notes
Major Land Resource Area (MLRA): 028B–Central Nevada Basin and Range
MLRA 28B occurs entirely in Nevada and comprises about 23,555 square miles (61,035 square kilometers). More than nine-tenths of this MLRA is federally owned. This area is in the Great Basin Section of the Basin and Range Province of the Intermontane Plateaus. It is an area of nearly level, aggraded desert basins and valleys between a series of mountain ranges trending north to south. The basins are bordered by long, gently sloping to strongly sloping alluvial fans. The mountains are uplifted fault blocks with steep sideslopes. Many of the valleys are closed basins containing sinks or playas. Elevation ranges from 4,900 to 6,550 feet (1,495 to 1,995 meters) in the valleys and basins and from 6,550 to 11,900 feet (1,995 to 3,630 meters) in the mountains.
The mountains in the southern half are dominated by andesite and basalt rocks that were formed in the Miocene and Oligocene. Paleozoic and older carbonate rocks are prominent in the mountains to the north. Scattered outcrops of older Tertiary intrusives and very young tuffaceous sediments are throughout this area. The valleys consist mostly of alluvial fill, but lake deposits are at the lowest elevations in the closed basins. The alluvial valley fill consists of cobbles, gravel, and coarse sand near the mountains in the apex of the alluvial fans. Sands, silts, and clays are on the distal ends of the fans.
The average annual precipitation ranges from 4 to 12 inches (100 to 305 millimeters) in most areas on the valley floors. Average annual precipitation in the mountains ranges from 8 to 36 inches (205 to 915 millimeters) depending on elevation. The driest period is from midsummer to midautumn. The average annual temperature is 34 to 52 degrees F (1 to 11 degrees C). The freeze-free period averages 125 days and ranges from 80 to 170 days, decreasing in length with elevation.
The dominant soil orders in this MLRA are Aridisols, Entisols, and Mollisols. The soils in the area dominantly have a mesic soil temperature regime, an aridic or xeric soil moisture regime, and mixed or carbonatic mineralogy. They generally are well drained, loamy or loamyskeletal, and shallow to very deep.
Nevada’s climate is predominantly arid, with large daily ranges of temperature, infrequent severe storms and heavy snowfall in the higher mountains. Three basic geographical factors largely influence Nevada’s climate: continentality, latitude, and elevation. The strong continental effect is expressed in the form of both dryness and large temperature variations. Nevada lies on the eastern, lee side of the Sierra Nevada Range, a massive mountain barrier that markedly influences the climate of the State. The prevailing winds are from the west, and as the warm moist air from the Pacific Ocean ascend the western slopes of the Sierra Range, the air cools, condensation occurs and most of the moisture falls as precipitation. As the air descends the eastern slope, it is warmed by compression, and very little precipitation occurs. The effects of this mountain barrier are felt not only in the West but throughout the state, as a result the lowlands of Nevada are largely desert or steppes.
The temperature regime is also affected by the blocking of the inland-moving maritime air. Nevada sheltered from maritime winds, has a continental climate with well-developed seasons and the terrain responds quickly to changes in solar heating. Nevada lies within the midlatitude belt of prevailing westerly winds which occur most of the year. These winds bring frequent changes in weather during the late fall, winter and spring months, when most of the precipitation occurs.
To the south of the mid-latitude westerlies, lies a zone of high pressure in subtropical latitudes, with a center over the Pacific Ocean. In the summer, this high-pressure belt shifts northward over the latitudes of Nevada, blocking storms from the ocean. The resulting weather is mostly clear and dry during the summer and early fall, with occasional thundershowers. The eastern portion of the state receives noteworthy summer thunderstorms generated from monsoonal moisture pushed up from the Gulf of California, known as the North American monsoon. The monsoon system peaks in August and by October the monsoon high over the Western U.S. begins to weaken and the precipitation retreats southward towards the tropics (NOAA 2004).
Ecological site concept
This forest site occurs slightly concave mountain sideslopes with a north aspect. Slopes of 30 to 50 percent are typical. Elevations are 7500 to 11000 feet.
Soils associated with this site are moderately deep, well drained, and formed in residuum/colluvium derived from limestone parent material. Soil profile is modified by large volumes of gravel, cobbles and stones throughout.
The reference plant community is dominated by Engelmann's spruce. Overstory composition is about 80 to 90 percent Engelmann's spruce, 5 to 10 percent white fir and quaking aspen. Mountain gooseberry, western raspberry and snowberry are important understory shrubs. Columbia needlegrass, pinegrass, mountain brome and slender wheatgrass are the most prevalent understory grasses. Starwort, meadowrue, and erigeron are common understory forbs. An overstory canopy of 40 to 50 percent is assumed to be representative.
The site was formerly known as PIEN/RIMO2/BRMA4-ACNE9.
Associated sites
| R028BY032NV |
STONY MAHOGANY SAVANNA Occurs on shallow soils in the map unit. |
|---|---|
| R028BY070NV |
MOUNTAIN LOAM 16+ P.Z. Occurs on deeper soil and is dominated by shrubs. |
Similar sites
| R028BY088NV |
CALCAREOUS LOAM 14-16 P.Z. Also on concave mountain slopes, however not dominated by conifers. |
|---|
Table 1. Dominant plant species
| Tree |
(1) Picea engelmannii |
|---|---|
| Shrub |
(1) Ribes montigenum |
| Herbaceous |
(1) Bromus marginatus |
Click on box and path labels to scroll to the respective text.