Natural Resources
Conservation Service
Ecological site R029XY052NV
CLAYPAN 16+ P.Z.
Last updated: 2/20/2025
Accessed: 12/21/2025
General information
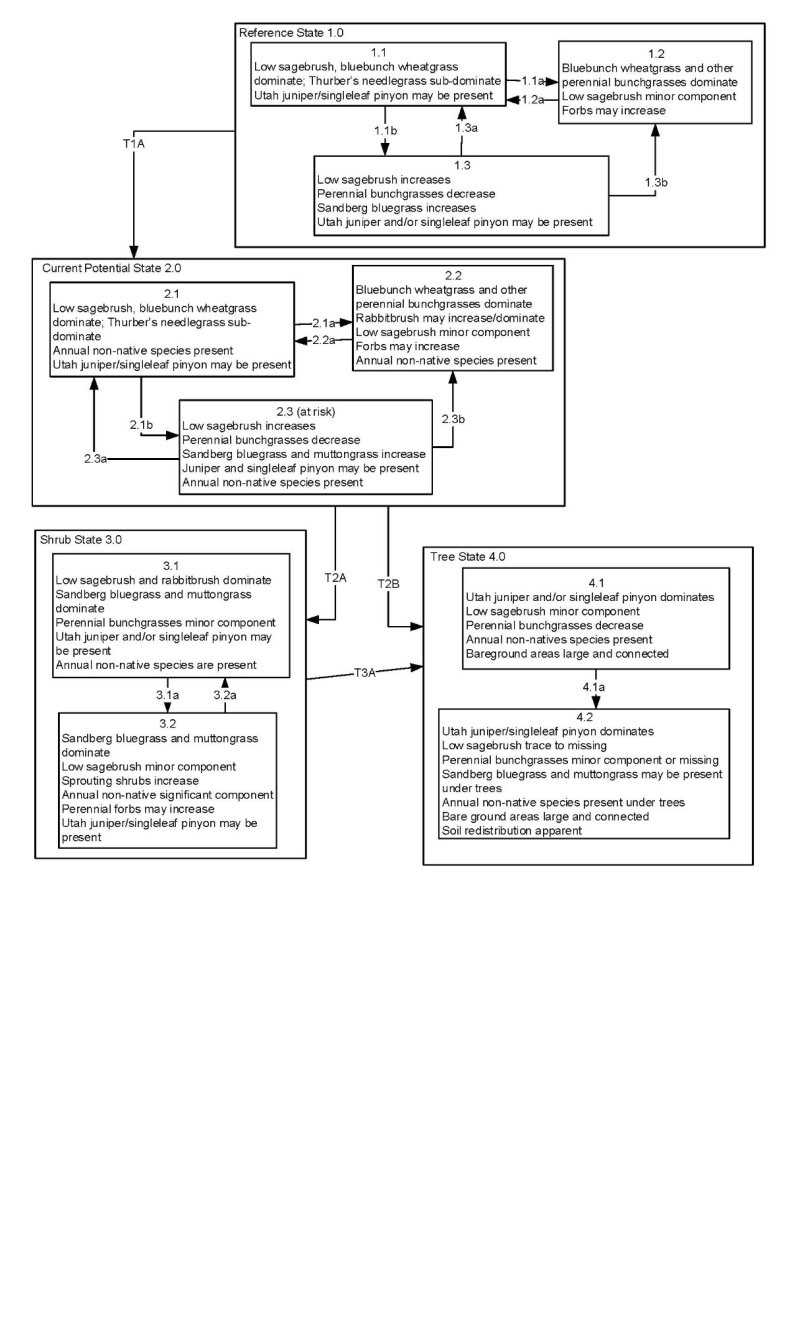
Provisional. A provisional ecological site description has undergone quality control and quality assurance review. It contains a working state and transition model and enough information to identify the ecological site.
MLRA notes
Major Land Resource Area (MLRA): 029X–Southern Nevada Basin and Range
The Southern Nevada Basin and Range MLRA (29) represents the transition from the Mojave Desert to the Great Basin. It is cooler and wetter than the Mojave. It is warmer and typically receives more summer precipitation than the Great Basin. This area is in Nevada (73 percent), California (25 percent), and Utah (2 percent). It makes up about 26,295 square miles (68,140 square kilometers). Numerous national forests occur in the area, including the San Bernardino, Angeles, Sequoia, Inyo, Humboldt-Toiyabe, and Dixie National Forests. Portions of Death Valley National Monument, the Nuclear Regulatory Commission’s Nevada Test Site, the Hawthorne Ammunition Depot, and the Nellis Air Force Range in Nevada and the China Lake Naval Weapons Center in California also are in this MLRA. The northeast part of the Paiute Indian Reservation and the southern third of the Walker River Indian Reservation are in the part of this MLRA in Nevada, and the Lone Pine, Fort Independence, and Big Pine Indian Reservations are in the part in California.
Physiography:
The entire area is in the Great Basin Section of the Basin and Range Province of the Intermontane Plateaus. The area of broad, nearly level, aggraded desert basins and valleys between a series of mountain ranges trending north to south. The basins are bordered by sloping fans and pluvial lake terraces. The mountains are uplifted fault blocks with steep side slopes and not well dissected due to limited annual precipitation. Most of the valleys in this MLRA are closed basins or bolsons containing sinks or playa lakes.
Geology:
The mountains are dominated by Pliocene and Miocene andesite and basalt rocks, Paleozoic and Precambrian carbonate rocks prominent in some areas. Scattered outcrops of older Tertiary intrusives and very young tuffaceous sediments (Pliocene and Miocene) are in the western and eastern thirds of this MLRA. The valleys consist mostly of alluvial fill and playa deposits at the lowest elevations in the closed basins.
Climate:
The average annual precipitation is 3 to 12 inches (75 to 305 millimeters) in most of this area. It may be as high as 29 inches (735 millimeters), on the higher mountain slopes. Most of the rainfall occurs as high-intensity, convective thunderstorms during the growing season. Summers are dry, but sporadic storms are common in July and August.
Water Resources:
Water resources are scarce. Ground water and surface water sources are limited. Streams are small and intermittent. Quality of surface water in naturally degraded as streams cross area of valley fill effected by dissolved salts. Irrigation water may raise the levels of dissolved salts and suspended sediments causing contamination.
Soils:
Dominant soil orders include Entisols and Aridisols.
Ecological site concept
The Claypan 16+ P.Z site occurs on straight to convex mountain summits, ridges, and sideslopes on all exposures. This site is restricted to northerly aspects at the lower elevations of its occurrence. Slopes range from 8 to 50 percent. Elevations range from 5,800 to about 10,000 feet. The soils have formed in residuum and colluvium. They are shallow to very deep with a layer restrictive to root development close to the soil surface.
Associated sites
| R029XY027NV |
MAHOGANY THICKET This site is on mountain sideslopes on all aspects. Slopes range from 15 to 50 percent. Elevations are 6,400 to about 10,000 feet. Soils are moderately deep and well drained. The available water capacity is low to moderate. Permeability is slow to moderate. These soils are typically modified with high volumes of rock fragments throughout the soil profile. |
|---|---|
| R029XY043NV |
MAHOGANY SAVANNA This site is on mountain summits, crests, and sideslopes. Slopes range from 15 to 50 percent. Elevations are 5,800 to about 10,000 feet. The soils are typically shallow to moderately deep and are well drained. There typically are high amounts of stones or boulders on the soil surface. |
| R029XY051NV |
LOAMY SLOPE 16+ P.Z. This site is on straight to convex mountain sideslopes on all exposures. This site is restricted to northerly aspects at the lower elevations of its occurrence. Slopes range from 2 to 75 percent, but slope gradients of 15 to 75 percent are typical. Elevations are 7,000 to about 10,000 feet. The soils are from residuum and colluvium derived from volcanic rocks. These soils are typically well drained. |
| R029XY053NV |
MOUNTAIN RIDGE 16+ P.Z. This site is on high elevation, wind blown, mountain ridges and summits on all exposures. Slopes range from 8 to over 50 percent. Elevations are 7,000 to over 10,000 feet. The soils formed in residuum from volcanic rocks. The soils are shallow to very shallow to bedrock and well drained. |
Similar sites
| R029XY053NV |
MOUNTAIN RIDGE 16+ P.Z. Less productive site |
|---|---|
| R029XY055NV |
CLAYPAN 12-16 P.Z. ACTH7 dominant grass |
Table 1. Dominant plant species
| Tree |
Not specified |
|---|---|
| Shrub |
(1) Artemisia arbuscula |
| Herbaceous |
(1) Achnatherum lettermanii |
Click on box and path labels to scroll to the respective text.