Ecological dynamics
The Steep Sandy ecological site developed under Northern Great Plains climatic conditions, light to severe grazing by bison and other large herbivores, sporadic natural or man-caused wildfire, and other biotic and abiotic factors that typically influence soil and site development. This continues to be a disturbance-driven site: by herbivory, fire, and variable climate. Changes occur in the plant communities due to short-term weather variations, impacts of native and exotic plant and animal species, and management actions.
The introduction of domestic livestock by European settlers along with season-long, continuous grazing had a profound impact on the vegetation of the Steep Sandy ecological site. Season-long, continuous grazing causes a repeated removal of the growing point and excessive defoliation of the leaf area of individual warm-season tallgrasses. The resulting reduction in the ability of the plants to harvest sunlight depletes root reserves, subsequently decreasing root mass. The ability of the plants to compete for nutrients is impaired, resulting in decreased vigor and eventual mortality. Species that evade negative grazing impacts through mechanisms such as a growing season adaptation (i.e., cool-season), growing points located near the soil surface, a shorter structure, or reduced palatability will increase. As this site deteriorates, little bluestem, sideoats grama, and prairie sandreed decrease in frequency and production while blue grama, needle and thread, and hairy grama increase.
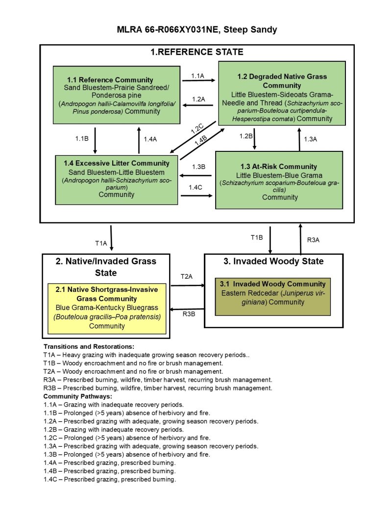
The State and Transition Model (STM) is depicted below and includes a Reference State (1), a Native/Invaded Grass State (2), and an Invaded Woody State (3). Each state represents the crossing of a major ecological threshold due to the alteration of the functional dynamic properties of the ecosystem. The primary properties observed to determine this change are soil stability, vegetative communities, and the hydrologic cycle. Each state may have one or more plant communities that fluctuate in species composition and abundance within the normal parameters of the state. Within each state, communities may degrade or recover in response to natural and man caused disturbances such as variation in the degree and timing of herbivory, presence or absence of fire, and climatic and local fluctuations in the precipitation regime. The processes that cause the movement between the states and communities are discussed in more detail in the state and community descriptions following the diagram.
Interpretations are primarily based on the Reference Community (1.1). It has been determined by study of rangeland relic areas, areas protected from excessive disturbance, and areas under long-term rotational grazing regimes. Trends in plant community dynamics ranging from heavily grazed to lightly grazed areas, seasonal use pastures, and historical accounts have been used as well. Plant communities, states, transitional pathways, and thresholds have been determined through similar studies and experience.
State 1
Reference State
Figure 10. Steep Sandy Ecological Site, Reference State (1).
The Reference State (1) describes the range of vegetative communities that occur on the Steep Sandy ecological site where the range of natural variability under historic conditions and disturbance regimes is mostly intact. The Reference State developed under the combined influences of climatic conditions, periodic fire activity, grazing by large herbivores, and impacts from small mammals and insects. High perennial grass cover and production allows for increased soil moisture retention, vegetative production and overall soil quality.
The Reference State includes four plant community phases which are the Reference Community (1.1), the Degraded Native Grass Community (1.2), the At-Risk Community (1.3), and the Excessive Litter Community (1.4). The Reference Community (1.1) serves as a description of the native plant community that naturally occurs on the site when the natural disturbance regimes are intact or closely mimicked by management practices. The Degraded Native Grass and At-Risk Communities result from management actions that are unfavorable for a healthy Reference Community. The Excessive Litter Community occurs when herbivory and fire are eliminated from the landscape.
Community 1.1
Reference Community
Interpretations are primarily based on the Reference or Sand Bluestem-Prairie Sandreed/Ponderosa Pine (Andropogon hallii-Calamovilfa longifolia/Pinus ponderosa) Community (1.1). This plant community serves as a description of the native plant community that occurs on the site when the natural disturbance regimes are intact or are closely mimicked by management practices. This phase is dynamic, with fluid relative abundance and spatial boundaries between the dominant structural vegetative groups. These fluctuations are primarily driven by different responses of the species to changes in precipitation timing and abundance, and to fire and grazing events. This site developed with grazing by large herbivores and is well suited for grazing by domestic livestock.
This plant community is dominated by warm-season, tall- and midgrasses. Sand bluestem, little bluestem, prairie sandreed, and needle and thread are the dominant grasses. An overstory of trees occurs on the site. Typically, ponderosa pine is the dominant tree species, but bur oak, green ash and hackberry may be present on some sites. The forb component is diverse.
Natural fire played a significant role in the succession of this site by limiting the extent of eastern redcedar while maintaining the ponderosa pine and deciduous tree overstory. Wildfires have been actively controlled in recent times, allowing eastern redcedar encroachment. The Reference Community can be found on areas that are managed with prescribed grazing, prescribed burning, and may be found on areas receiving occasional periods of short-term rest.
This resilient community is well adapted to the Northern Great Plains climatic conditions. Plant diversity promotes strong tolerance to drought, site and soil stability, a functional hydrologic cycle, and a high degree of biological integrity. These factors create a suitable environment for a healthy and sustainable plant community.
| Jan |
Feb |
Mar |
Apr |
May |
Jun |
Jul |
Aug |
Sep |
Oct |
Nov |
Dec |
| J |
F |
M |
A |
M |
J |
J |
A |
S |
O |
N |
D |
Community 1.2
Degraded Native Grass Community
The Degraded Native Grass or Little Bluestem-Sideoats Grama-Needle and Thread (Schizachyrium scoparium-Bouteloua curtipendula-Hesperostipa comata) Community (1.2) occurs in response to continuous season-long grazing or rotational grazing with inadequate growing-season recovery periods. Grazing tolerant warm- and cool-season grasses increase. Sand bluestem and prairie sandreed decline, reducing the productivity of the site. Little bluestem, needle and thread, and sideoats and blue grama increase in relative abundance. The composition of the forb component remains diverse.
The presence of this community signals a significant loss of production as compared to the Reference Community (1.1). The potential for encroachment by invasive woody species becomes more likely due to the reduction in the amount of deep-rooted species and resulting reduced fuel load to carry fire. While this plant community is less productive and less diverse than the Reference Community, it remains sustainable in regard to site and soil stability, hydrologic function, and biotic integrity.
| Jan |
Feb |
Mar |
Apr |
May |
Jun |
Jul |
Aug |
Sep |
Oct |
Nov |
Dec |
| J |
F |
M |
A |
M |
J |
J |
A |
S |
O |
N |
D |
Community 1.3
At Risk Community
In the At-Risk or Little Bluestem-Blue Grama (Schizachyrium scoparium-Bouteloua gracilis) Community (1.3), the more palatable warm-season tallgrasses have been reduced to a minor component due to continued defoliation during their critical growth periods. Grazing tolerant warm- and cool-season grasses increase significantly. Little bluestem and blue grama are the dominant warm-season grasses, while needle and thread and sedges are the primary native cool-season grasses. Smooth brome, Kentucky bluegrass, and annual bromes may be beginning to invade the plant community.
Soil health is affected by reduced efficiency in the nutrient, mineral, and hydrologic cycles as a result of decreases in plant litter and rooting depths. Total annual vegetative production declines significantly. Without a management change, this community is at-risk to transition to the Native/Invaded Grass State (2).
| Jan |
Feb |
Mar |
Apr |
May |
Jun |
Jul |
Aug |
Sep |
Oct |
Nov |
Dec |
| J |
F |
M |
A |
M |
J |
J |
A |
S |
O |
N |
D |
Community 1.4
Excessive Litter
The Excessive Litter or Sand Bluestem-Little Bluestem (Andropogon hallii-Schizachyrium scoparium) Community (1.4) develops when the natural disturbances of livestock grazing and fire have been removed from the land for a prolonged period of time (more than five years). The litter amount has clearly increased and few or no sedges or understory shortgrasses are present. As the undisturbed duff layer deepens, infiltration of the precipitation is interrupted and evaporation increases significantly, simulating drought-like conditions. Typically, bunchgrasses have developed dead centers and rhizomatous grasses have formed small colonies due to a lack of tiller stimulation. Plant frequency and production have decreased. Pedestalling is usually evident.
As compared to the Reference Community (1.1), plant diversity has decreased and native plants tend to occur in individual colonies. This plant community has a high amount of litter covering the soil between widely dispersed mature plants. As the litter layer thickens, the health and vigor of native, warm-season, tall- and midgrasses declines. Soil erosion is low and infiltration and runoff are not significantly different than the Reference Community. This plant community will change rapidly when grazing or fire is returned to the landscape.
| Jan |
Feb |
Mar |
Apr |
May |
Jun |
Jul |
Aug |
Sep |
Oct |
Nov |
Dec |
| J |
F |
M |
A |
M |
J |
J |
A |
S |
O |
N |
D |
Pathway 1.1A
Community 1.1 to 1.2
A shift from the Reference Community (1.1) to the Degraded Native Grass Community (1.2) occurs with continuous season-long grazing or rotational grazing with inadequate growing-season recovery periods.
Pathway 1.1B
Community 1.1 to 1.4
Prolonged interruption (more than five years) of the natural disturbances of herbivory and fire will convert the Reference Community (1.1) to the Excessive Litter Community (1.4).
Pathway 1.2A
Community 1.2 to 1.1
A management strategy that includes prescribed grazing with adequate growing season recovery periods will return the Degraded Native Grass Community (1.2) to the Reference Community (1.1). Appropriately timed prescribed fire may accelerate this recovery.
Pathway 1.2B
Community 1.2 to 1.3
Continued season-long continuous grazing or rotational grazing with inadequate growing-season recovery periods (deferment) will cause the Degraded Native Grass Community (1.2) to move to the At-Risk Community (1.3).
Pathway 1.2C
Community 1.2 to 1.4
Prolonged interruption (more than five years) of the natural disturbances of herbivory and fire will convert the Degraded Native Grass Community (1.2) to the Excessive Litter Community (1.4).
Pathway 1.3A
Community 1.3 to 1.2
A management strategy which includes prescribed grazing with adequate growing-season recovery periods will move the At-Risk Community (1.3) to the Degraded Native Grass Community (1.2). Appropriately timed prescribed fire will accelerate this recovery.
Pathway 1.3B
Community 1.3 to 1.4
Prolonged interruption (more than five years) of the natural disturbances of herbivory and fire will convert the At-Risk Community (1.3) to the Excessive Litter Community (1.4).
Pathway 1.4A
Community 1.4 to 1.1
Reintroduction of the natural processes of herbivory and fire will move the plant community from the Excessive Litter Community (1.4) to the Reference Community (1.1). .
Pathway 1.4B
Community 1.4 to 1.2
Reintroduction of the natural processes of herbivory and fire will move the plant community from the Excessive Litter Community (1.4) to the Degraded Native Grass Community (1.2).
Pathway 1.4C
Community 1.4 to 1.3
Reintroduction of the natural processes of herbivory and fire will move the plant community from the Excessive Litter Community (1.4) to the At-Risk Community (1.3).
State 2
Native/Invaded Grass State
The Native/Invaded Grass State (2) has transitioned from the Reference State (1) and much of the native warm-season tall- and midgrass community has been replaced by native, warm-season shortgrasses and non-native grasses. The loss of warm-season tall- and midgrasses has negatively impacted energy flow and nutrient cycling. The Native/Invaded Grass State includes the Native Shortgrass-Invasive Grass Community (2.1).
Community 2.1
Native Shortgrass-Invasive Grass Community
The Native Shortgrass-Invasive Grass or Blue Grama-Kentucky Bluegrass (Bouteloua gracilis-Poa pratensis) Community (2.1) represents a shift from the Reference State (1) across a threshold to the Native/Invaded Grass State (2). This community develops under long-term heavy grazing with inadequate growing season recovery periods. This may occur with rotational grazing where too little time is allowed for recovery before pastures are re-entered, in large pastures where animals graze individual plants repeatedly, or under continuous season-long grazing during the growing season.
Initially, blue grama, hairy grama, needle and thread, and other native cool-season grasses will be the dominant species while warm-season, tall- and midgrasses will either be present as remnants or absent. With continued grazing pressure, Kentucky bluegrass, blue grama, and smooth brome will become the dominant plant species. Annual bromes may be present. Continuous and heavy grazing pressure will maintain this plant community in a sod-bound condition. Forb richness and diversity has decreased significantly.
Compared to the Reference Community (1.1), blue grama, hairy grama, and needle and thread have increased, while warm-season tall- and midgrasses have decreased significantly and are present only as remnants. Plant diversity has decreased. Forb richness and diversity has decreased. The high density of short-rooted grasses decreases water infiltration resulting in an impaired hydrologic cycle. This plant community is highly susceptible to an increase in of eastern redcedar and deciduous woody vegetation.
| Jan |
Feb |
Mar |
Apr |
May |
Jun |
Jul |
Aug |
Sep |
Oct |
Nov |
Dec |
| J |
F |
M |
A |
M |
J |
J |
A |
S |
O |
N |
D |
State 3
Invaded Woody State
The Invaded Woody State (5) is the result of woody encroachment. Once the tree canopy cover reaches 15 percent with an average tree height exceeding five feet, the threshold to the Invaded Woody State has been crossed. Woody species are increasing due to the lack of prescribed fire, brush management, or other woody tree removal. Typical ecological impacts are a loss of native grasses, reduced diversity of functional and structural groups, reduced forage production, and reduced soil quality.
Prescribed burning, wildfire, timber harvest and brush management will move the Invaded Woody State toward a grass dominated state. If the Invaded Woody State transitioned from the Native/Invaded Grass State (2) the land cannot return to the Reference State (1) as the native plant community, soils, and hydrologic function had been too severely impacted prior to the woody encroachment to allow the return to the Reference State through woody species removal alone. The Invaded Woody State includes one community, the Invaded Woody Community (4.1).
Community 3.1
Invaded Woody Community
The Invaded Woody or Eastern Redcedar (Juniperus virginiana) Community (3.1) has at least a 15 percent woody tree cover consisting of trees generally 5 feet or taller. Encroaching trees are primarily eastern redcedar, but native deciduous trees may also have increased on the site due to the suppression of fire. In the absence of fire and brush management, this site is very conducive to eastern redcedar seedling invasion, especially when adjacent to a seed source. Eastern redcedar can eventually dominate the site, resulting in a closed canopy which drastically reduces forage production and has limited value for either livestock grazing or wildlife habitat.
Historically, ponderosa pine was a present as a minor component of the plant community. The encroachment of eastern redcedar impairs regeneration of the ponderosa pine overstory and increases the likelihood that a wildfire will significantly reduce the ponderosa pine component. While the tree canopy provides excellent protection from the weather for both livestock and wildlife, decreased forage production reduces the carrying capacity for both domestic livestock and wildlife and significantly reduces habitat for grassland birds.
With long-term fire suppression, this plant community will develop extensive ladder fuels which can lead to a removal of most tree species with a wildfire. With properly managed intensive grazing, encroachment of deciduous trees will typically be minimal; however, this will not impact encroachment of coniferous species. The herbaceous component decreases proportionately in relation to the percent canopy cover, with the reduction being greater under a coniferous overstory.
Eastern redcedar control can usually be accomplished with prescribed burning while the trees are six feet tall or less and fine fuel production is greater than 1,500 pounds per acres. Larger red cedars can also be controlled with prescribed burning, but successful application requires the use of specifically designed ignition and holding techniques (https://www.loesscanyonsburning group.com). Resprouting brush must be chemically treated immediately after mechanical removal to achieve effective treatment. The forb component will initially increase following tree removal. To prevent return to a woody dominated community, ongoing brush management such as hand cutting, chemical spot treatments, or periodic prescribed burning is required.
This plant community is resistant to change and resilient given normal disturbances. In higher canopy cover situations, the soil erosion will increase in relation the plant community from which this plant community originated. The hydrologic function is also significantly altered under higher canopy cover. Infiltration is reduced and runoff is typically increased because of a lack of herbaceous cover and the rooting structure provided by the herbaceous species.
Total annual production during an average year varies significantly, depending on the production level prior to encroachment and the percentage of canopy cover.
Transition T1A
State 1 to 2
Heavy grazing with inadequate growing season recovery periods will cause the Reference State (1) to lose a significant proportion of warm-season tall- and midgrass species and cross a threshold to the Native/Invaded Grass State (2). Water infiltration and other hydrologic functions will be reduced due to the root-matting presence of sod-forming grasses. With the decline and loss of deeper-penetrating root systems, soil structure and biological integrity are catastrophically degraded to the point that recovery is unlikely. Once this occurs, it is highly unlikely that grazing management alone will return the community to the Reference State.
Transition T1B
State 1 to 3
Disruption of the natural fire regime and encroachment of invasive exotic and native woody species can cause the Reference State (1) to shift to the Invaded Woody State (3).
Transition T2A
State 2 to 3
Disruption of the natural fire regime and encroachment of invasive exotic and native woody species can cause the Native/Invaded Grass State (2) to shift to the Invaded Woody State (3).
Restoration pathway R3A
State 3 to 1
Prescribed burning, wildfire, harvest, and brush management will move the Invaded Woody State (3) toward the Reference State (1). Using prescribed fire to control the eastern redcedar without negatively impacting the desired pine overstory may be extremely difficult on this site. Mechanical removal followed by low intensity maintenance burns is usually the most effective eastern redcedar control method. The forb component of a site with heavy tree density or canopy cover may initially increase following tree removal through mechanical brush management treatments and prescribed fire.
If re-sprouting brush is present, stumps must be chemically treated immediately after mechanical removal. Ongoing brush management such as hand cutting, chemical spot treatments, or periodic prescribed burning is required to prevent a return to the Invaded Woody State.
Land that transitioned to the Invaded Woody State (3) from the Native/Invaded Grass State (2) cannot transition to the Reference State (1) through removal of woody species as the native plant community, soils, and hydrologic function have been too severely impacted for that restoration to occur.
Restoration pathway R3B
State 3 to 2
Prescribed burning, wildfire, harvest, and brush management will move the Invaded Woody State (3) toward the Native/Invaded Grass State (2). Using prescribed fire to control the eastern redcedar without negatively impacting the desired pine overstory may be extremely difficult on this site. Mechanical removal followed by low intensity maintenance burns is usually the most effective eastern redcedar control method. The forb component of a site with heavy tree density or canopy cover may initially increase following tree removal through mechanical brush management treatments and prescribed fire.
If re-sprouting brush is present, stumps must be chemically treated immediately after mechanical removal. Ongoing brush management such as hand cutting, chemical spot treatments, or periodic prescribed burning is required to prevent a return to the Invaded Woody State.
Land that transitioned to the Invaded Woody State (3) from the Native/Invaded Grass State (2) cannot transition to the Reference State (1) through removal of woody species as the native plant community, soils, and hydrologic function have been too severely impacted for that restoration to occur.