Natural Resources
Conservation Service
Ecological site R023XF092CA
CLAY FLOODPLAIN 9-16"
Last updated: 4/10/2025
Accessed: 12/21/2025
General information
Provisional. A provisional ecological site description has undergone quality control and quality assurance review. It contains a working state and transition model and enough information to identify the ecological site.
Ecological site concept
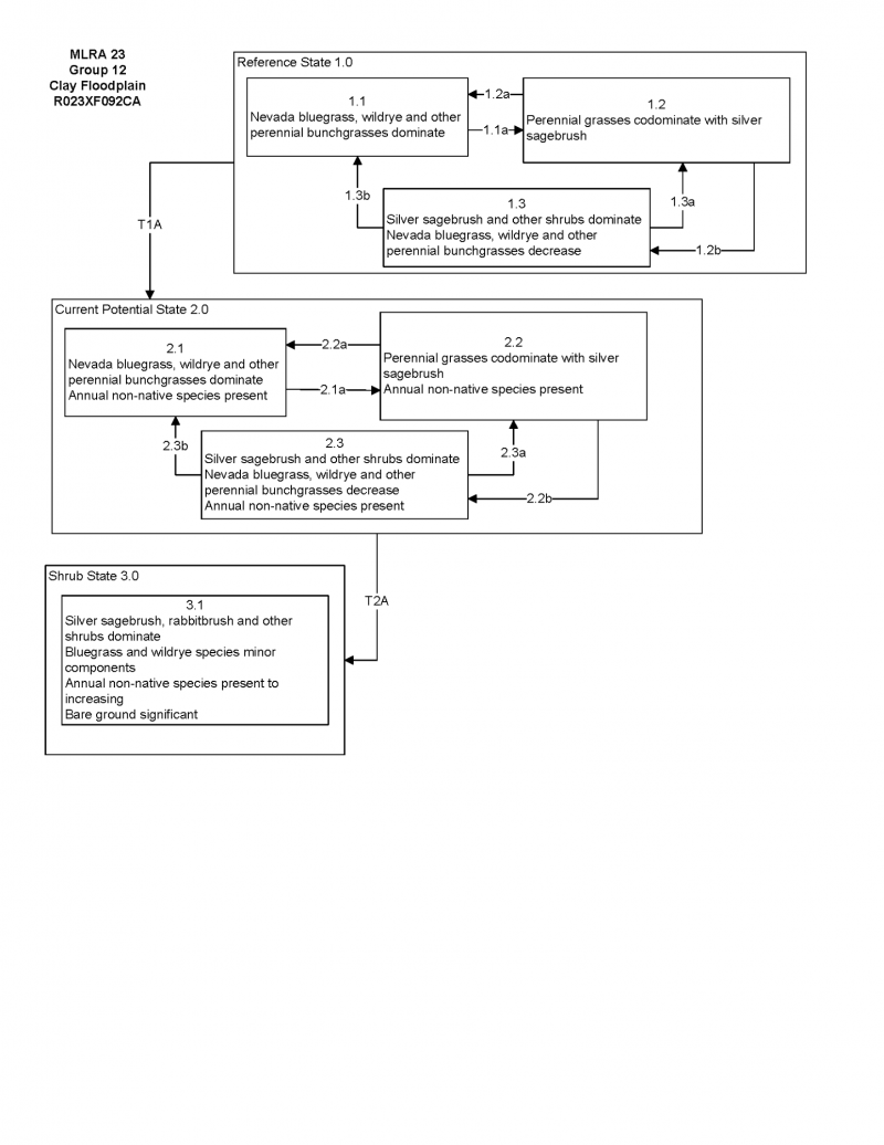
Currently there is only a draft of the initial concept for this ecological site. The initial concept for this site places it within the Seasonally Flooded Closed Clay Basins Ecological Site Group. To view the General STM and other information available for this ESG please go to https://edit.jornada.nmsu.edu/catalogs/esg/023X/R023XY912NV
This California ecological site correlates most closely to the Clay Basin (023XY003NV) site in Nevada. It is more productive than the group modal with an average of 1100 lb/ac in normal years. Like the Clay Basin site, the Clay Floodplain may stand alone or may surround the wetter Wet Clay Basin site that is more frequently flooded. This site is also dominated by Nevada bluegrass but can see an increase in silver sagebrush with long-term drought or long-term inappropriate grazing management.
Table 1. Dominant plant species
| Tree |
Not specified |
|---|---|
| Shrub |
Not specified |
| Herbaceous |
Not specified |
Click on box and path labels to scroll to the respective text.