Natural Resources
Conservation Service
Ecological site R029XY073NV
BOULDERY SLOPE 8-12 P.Z.
Last updated: 2/20/2025
Accessed: 12/22/2025
General information
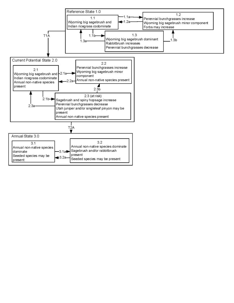
Provisional. A provisional ecological site description has undergone quality control and quality assurance review. It contains a working state and transition model and enough information to identify the ecological site.
MLRA notes
Major Land Resource Area (MLRA): 029X–Southern Nevada Basin and Range
The Southern Nevada Basin and Range MLRA (29) represents the transition from the Mojave Desert to the Great Basin. It is cooler and wetter than the Mojave. It is warmer and typically receives more summer precipitation than the Great Basin. This area is in Nevada (73 percent), California (25 percent), and Utah (2 percent). It makes up about 26,295 square miles (68,140 square kilometers). Numerous national forests occur in the area, including the San Bernardino, Angeles, Sequoia, Inyo, Humboldt-Toiyabe, and Dixie National Forests. Portions of Death Valley National Monument, the Nuclear Regulatory Commission’s Nevada Test Site, the Hawthorne Ammunition Depot, and the Nellis Air Force Range in Nevada and the China Lake Naval Weapons Center in California also are in this MLRA. The northeast part of the Paiute Indian Reservation and the southern third of the Walker River Indian Reservation are in the part of this MLRA in Nevada, and the Lone Pine, Fort Independence, and Big Pine Indian Reservations are in the part in California.
Physiography:
The entire area is in the Great Basin Section of the Basin and Range Province of the Intermontane Plateaus. The area of broad, nearly level, aggraded desert basins and valleys between a series of mountain ranges trending north to south. The basins are bordered by sloping fans and pluvial lake terraces. The mountains are uplifted fault blocks with steep side slopes and not well dissected due to limited annual precipitation. Most of the valleys in this MLRA are closed basins or bolsons containing sinks or playa lakes.
Geology:
The mountains are dominated by Pliocene and Miocene andesite and basalt rocks, Paleozoic and Precambrian carbonate rocks prominent in some areas. Scattered outcrops of older Tertiary intrusives and very young tuffaceous sediments (Pliocene and Miocene) are in the western and eastern thirds of this MLRA. The valleys consist mostly of alluvial fill and playa deposits at the lowest elevations in the closed basins.
Climate:
The average annual precipitation is 3 to 12 inches (75 to 305 millimeters) in most of this area. It may be as high as 29 inches (735 millimeters), on the higher mountain slopes. Most of the rainfall occurs as high-intensity, convective thunderstorms during the growing season. Summers are dry, but sporadic storms are common in July and August.
Water Resources:
Water resources are scarce. Ground water and surface water sources are limited. Streams are small and intermittent. Quality of surface water in naturally degraded as streams cross area of valley fill effected by dissolved salts. Irrigation water may raise the levels of dissolved salts and suspended sediments causing contamination.
Soils:
Dominant soil orders include Entisols and Aridisols.
Ecological site concept
The Bouldery Slope 8-12 P.Z. site is on very bouldery or stony mountain and hill summits and sideslopes. Slopes range from 4 to 75 percent, but slope gradients of 15 to 50 percent are typical. Elevations are 4,400 to 7,000 feet. The soils are shallow to very shallow and well drained. These soils are typically associated with very large, exfoliating, ignimbritic boulders, or rock outcrop.
Associated sites
| R029XY045NV |
STONY CALCAREOUS SLOPE 8-12 P.Z. This site is on sideslopes and summits of low mountains and hills on all exposures. Slopes range from 8 to 75 percent, but slope gradients of 15 to 50 percent are typical. Elevations are 4,700 to about 5,500 feet. The soils associated with this site are shallow. They have formed predominantly from volcanic rock sources and have a shallow effective rooting zone with depth to a hardpan or bedrock ranging from 10 to 20 inches. The soils have high amounts of gravels throughout the soil profile. The soil surface typically has a cover of 75 percent or more rock fragments. |
|---|---|
| R029XY075NV |
LOAMY SLOPE 10-12 P.Z. This site is on summits and sideslopes of hills and mountains on all exposures. Slopes range from 2 to over 50 percent, but slope gradients of 30 to 50 percent are typical. Elevations are 4,100 to about 6,300 feet. The soils are shallow over bedrock. These soils have formed in residuum and colluvium from volcanic rocks on steep mountain or hill slopes. |
Similar sites
| R029XY057NV |
LOAMY ASH INFLUENCED SLOPE 12-14 P.Z. PSSPI dominant grass |
|---|---|
| R029XY010NV |
LOAMY SLOPE 8-10 P.Z. Less productive site; ACHY-HECO26 codominant grasses |
| R029XY075NV |
LOAMY SLOPE 10-12 P.Z. ACHY-HECO26 codominant. |
Table 1. Dominant plant species
| Tree |
Not specified |
|---|---|
| Shrub |
(1) Artemisia tridentata |
| Herbaceous |
(1) Achnatherum speciosum |
Click on box and path labels to scroll to the respective text.