Natural Resources
Conservation Service
Ecological site R065XY034NE
Choppy Sands 17-22" PZ
Last updated: 2/04/2025
Accessed: 12/19/2025
General information
Provisional. A provisional ecological site description has undergone quality control and quality assurance review. It contains a working state and transition model and enough information to identify the ecological site.
Figure 1. Mapped extent
Areas shown in blue indicate the maximum mapped extent of this ecological site. Other ecological sites likely occur within the highlighted areas. It is also possible for this ecological site to occur outside of highlighted areas if detailed soil survey has not been completed or recently updated.
MLRA notes
Major Land Resource Area (MLRA): 065X–Nebraska Sand Hills
The Nebraska Sand Hills (MLRA 65) is located in Nebraska (98 percent) and South Dakota (2 percent) and encompasses approximately 13.2 million acres (534,201 hectares) or 20,625 square miles (53,420 square kilometers). The largest town in the MLRA is North Platte, Nebraska and numerous small towns and villages are located within the MLRA, including the county seats of Arthur, Bartlett, Bassett, Brewster, Greeley, Hyannis, Mullen,
Thedford, and Tryon, Nebraska. The Niobrara River is near the northern boundary while the North Platte River flows along the southwest boundary of the area. The North Loup, Middle Loup, Calamus, Snake, and Dismal Rivers and Long Pine Creek occur in the central and eastern portion of the area.
Fort Niobrara, Crescent Lake, and Valentine National Wildlife Refuges and portions of the Nebraska National Forest, including the Bessey Ranger District and Samuel R. McKelvie National Forest, are located within this MLRA. The Bessey Ranger District includes the largest human-planted forest in the United States and is home to the Bessey Tree Nursery which is listed on the National Register of Historic Places.
This MLRA is defined by an 8,000 year-old landscape of sand hills dominated by rolling to steep sand dunes with narrow, elongated, nearly level to steeply sloping valleys between the dunes. Dune heights range from 10 to 400 feet (3 to 130 meters) and slopes may exceed twenty-five percent. Dune complexes often extend for several miles in a northwest to southeast direction. These Quaternary sand dunes are derived from the underlying Tertiary Ogallala and Arikaree Groups which were formed when rivers deposited sediments from erosional detritus after the uplift of the Rocky Mountains to the west. The Nebraska Sand Hills are the largest sand dune area in the Western Hemisphere and one of the largest grass-stabilized dune regions in the world. The soils of the MLRA are principally derived from deep eolian sand.
The Ogallala aquifer underlies the MLRA and is the most extensive and heavily used aquifer of the high plains between the Rocky Mountains and Mississippi River. The aquifer is at its thickest in the Sand Hills which are a primary recharge are for the aquifer. Numerous small permanent and intermittent lakes and wetlands occur in the MLRA. While the dominant source of water for these lakes is precipitation, groundwater discharge is important to maintaining these lakes especially in drier years. A number of these lakes, especially in the western portion of the MLRA are alkaline.
Considered to be a western extension of the tallgrass prairie, the matrix vegetation is a unique mix of species that is sometimes identified as Sandhills Prairie. Sand bluestem, prairie sandreed, Indiangrass, switchgrass, sand lovegrass, little bluestem, and needle and thread are the primary grasses. Porcupinegrass is a significant cool-season grass in the eastern portion of the MLRA while blue grama and hairy grama are important warm-season grasses in the western portion due to differences in precipitation. Soils which have a high water table support a tallgrass prairie dominated by big bluestem, switchgrass, Indiangrass, prairie cordgrass, and a variety of grass-likes. The endangered plant blowout penstemon (Penstemon haydenii) is found in this MLRA.
More than ninety percent of the land in MLRA 65 is native grassland utilized by grazing livestock. Areas along streams and in subirrigated valleys are utilized for prairie hay. Wetlands, legume hay, and irrigated cropland make up the balance of the land area with corn being the principal irrigated crop.
Wildlife flourishes in this native grassland environment. Historically large bison herds occupied the landscape. White-tailed deer, mule deer, pronghorn, black tailed jackrabbit, and coyote are now the major mammalian species. Upland sandpiper, lark bunting, grasshopper sparrow, western meadowlark, long-billed curlew, sharp-tailed grouse, and greater prairie chicken are common avian species. The mosaic of grassland and wetlands provide excellent habitat for wading and shorebird species as well.
This landscape serves as a backdrop for a disturbance-driven ecosystem, which developed under the influences of herbivory, fire, and periodic long-term drought. Historically, these processes created a heterogeneous mosaic of plant communities and vegetative structure across the region. Any given site in this landscape experienced fire every six to ten years. Fires were caused by lightning strikes and also were set by Native Americans, who used fire for warfare, signaling, and to refresh the native grasses. Indigenous peoples understood the value of fire as a tool and that the highly palatable growth following a fire provided excellent forage for their horses and attracted grazing animals such as bison, elk, and pronghorn.
The natural fire regime has been disrupted by aggressive fire suppression policies which have facilitated woody species encroachment by both native and introduced shrubs and trees into the native prairie. The most common encroacher is eastern redcedar. While eastern redcedar is native to the landscape, it was present only in trace amounts due to the periodic fires. Widespread plantings of windbreaks with eastern redcedar as a primary component have provided a seed source for this aggressive woody plant causing encroachment into native grasslands, especially in the eastern and central Sand Hills. This encroachment causes significant forage loss for domestic livestock and degrades the native wildlife habit. Since it is not a root-sprouter, eastern redcedar is very susceptible to fire when under six feet tall making management with prescribed fire very effective when applied before trees reach this stage.
Classification relationships
►USDA-NRCS (2022)◄
Land Resource Region – G, Central Feed Grains and Livestock Region
Major Land Resource Area (MLRA) –65, Nebraska Sand Hills
►Fenneman (1916) Physiographic Regions ◄
Division – Interior Plains
Province – Great Plains
Section – High Plains
►USDA-USFS (2007) Ecoregions◄
Domain – Dry
Division – Temperate Steppe
Province – Great Plains Steppe (332)
Section – Mixed Grass Steppe
►EPA Ecoregions (Omernik 1997)◄
I – Great Plains (9)
II – West-Central Semi-Arid Prairies (9.3)
III – Nebraska Sandhills (44)
IV – Sandhills (44a), Alkaline Lakes Area (44b), Wet Meadow and Marsh Plain (44c), Lakes Area (44d)
Ecological site concept
There is a significant decline in precipitation from east to west across MLRA 65 which impacts plant community composition and annual production. For the purpose of ecological site development, the Choppy Sands site is divided into three ecological sites to address this precipitation gradient and its impacts to the site. The Choppy Sands 17-22” PZ ecological site occurs typically occurs east of a line which extends roughly from Oshkosh to Ellsworth, Nebraska and west of a line which extends roughly from Johnstown to Purdum, to Arnold, Nebraska.
The Choppy Sands 17-22" PZ ecological site is found on the highest position in a rolling dunes landscape. The Choppy Sands site is an upland run-off site with slopes of greater than 24 percent. The steep slopes produce sloughing and resulting catsteps. Small blowouts are often present on the site. The soil surface texture is fine sand.
The historic native vegetation of the Choppy Sands 17-22" PZ ecological site is Sandhills Prairie. Vegetation in the Reference Community (1.1) is dominated by warm-season tallgrasses with cool-season grasses subdominant. Dominant species include sand bluestem and prairie sandreed. Needle and thread is also significant. Forbs are common and diverse. Shrubs include leadplant, rose, and western sandcherry. Excessive long-term grazing pressure will sift the community toward one dominated by cool-season grasses and warm-season shortgrasses.
This ecological site is not suitable for farming and the native grassland is intact. Livestock grazing is the primary use. Wind erosion is one of the main resource concerns. This site is susceptible to encroachment by eastern redcedar.
Associated sites
| R065XY032NE |
Sandy 17-22" PZ Sandy 17-22" PZ ecological sites are found on dune landscapes in association with Choppy Sands 17-22" PZ ecological sites. Sandy 17-22" PZ ecological sites are typically found on interdunes, while Choppy Sands 17-22" PZ ecological sites are found on the highest dunes. |
|---|---|
| R065XY033NE |
Sands 17-22" PZ Sands 17-22" PZ ecological sites are found on dune landscapes in association with Choppy Sands 17-22" PZ ecological sites. Sands 17-22" PZ ecological sites occupy a lower landscape position, while Choppy Sands 17-22" PZ ecological sites are found on the highest dunes. |
Similar sites
| R065XY032NE |
Sandy 17-22" PZ Sandy 17-22" PZ ecological sites, when found in dune landscapes, occupy the interdune position on slopes of 0 to 3 percent, while Choppy Sands 17-22" PZ ecological sites occur on the highest hills in the dune landscape on slopes of more than 24 percent. |
|---|---|
| R065XY033NE |
Sands 17-22" PZ Sands 17-22" PZ ecological sites are found in a dune landscape interspersed with Choppy Sands 17-22" PZ ecological sites. Slopes of Sands 17-22” PZ ecological sites are less than 24 percent while slopes on Choppy Sands 17-22” PZ ecological sites are greater than 24 percent. |
Table 1. Dominant plant species
| Tree |
Not specified |
|---|---|
| Shrub |
Not specified |
| Herbaceous |
(1) Andropogon hallii |
Physiographic features
The Choppy Sands 17-22" PZ ecological site occupies steep, high dunes in a rolling dune landscape on slopes that are 24 percent or greater. The Quaternary sand dunes are derived from the underlying Tertiary Ogallala and Arikaree Groups. These units formed when rivers deposited sediments that originated as erosional detritus following the uplift of the Rocky Mountains to the west.
Table 2. Representative physiographic features
| Landforms |
(1)
Sandhills
> Dune
|
|---|---|
| Runoff class | Medium |
| Flooding frequency | None |
| Ponding frequency | None |
| Elevation | 1,970 – 4,000 ft |
| Slope | 24 – 60% |
| Water table depth | 80 in |
| Aspect | Aspect is not a significant factor |
Climatic features
The mean average annual precipitation in the central portion of this MLRA typically ranges from 17 to 22 inches but has varied from 13 to 27 inches in the driest to wettest season. Approximately 70 percent of the annual precipitation occurs during the growing season of mid-April to late September. The average annual snowfall varies from about 34 inches to about 42 inches. The wind velocity is high throughout the year, averaging 10 to 12 miles per hour. Maximum wind velocities generally occur in the spring.
The average length of the growing season is 138 days, but the growing season has varied from 114 to 168 days. The average date of first frost in the fall is September 25, and the last frost in the spring is about May 8. July is the hottest month and January is the coldest. It is not uncommon for the temperature to reach 100 degrees Fahrenheit during the summer. Summer humidity is low, and evaporation is high. The winters are characterized with frequent northerly winds, producing severe cold with temperatures dropping to as low as negative 30 degrees Fahrenheit.
Growth of native cool-season plants begins mid to late March and continues to late June. Native warm-season plants begin growth in early May and continue to late August. Green up of cool-season plants may occur in September and October when adequate soil moisture is present.
Table 3. Representative climatic features
| Frost-free period (characteristic range) | 108-122 days |
|---|---|
| Freeze-free period (characteristic range) | 130-140 days |
| Precipitation total (characteristic range) | 19-22 in |
| Frost-free period (actual range) | 107-128 days |
| Freeze-free period (actual range) | 129-153 days |
| Precipitation total (actual range) | 19-23 in |
| Frost-free period (average) | 116 days |
| Freeze-free period (average) | 137 days |
| Precipitation total (average) | 21 in |
Figure 2. Monthly precipitation range
Figure 3. Monthly minimum temperature range
Figure 4. Monthly maximum temperature range
Figure 5. Monthly average minimum and maximum temperature
Figure 6. Annual precipitation pattern
Figure 7. Annual average temperature pattern
Climate stations used
-
(1) ARTHUR [USC00250365], Arthur, NE
-
(2) HYANNIS [USC00254100], Hyannis, NE
-
(3) KILGORE 1NE [USC00254432], Kilgore, NE
-
(4) KINGSLEY DAM [USC00254455], Keystone, NE
-
(5) MERRIMAN [USC00255470], Merriman, NE
-
(6) MULLEN [USC00255700], Mullen, NE
-
(7) MULLEN 21 NW [USC00255702], Whitman, NE
-
(8) NORTH PLATTE RGNL AP [USW00024023], Maxwell, NE
-
(9) VALENTINE NWR [USC00258755], Valentine, NE
-
(10) WHITMAN 5 ENE [USW00094079], Whitman, NE
Influencing water features
There are no water features influencing this site.
Soil features
The soils associated with the Choppy Sands 17-22" PZ ecological site are very deep, excessively drained, and formed in eolian sand, The slopes range from 24 to 60 percent. The steepness of the slopes causes sloughing of soil and formation of features called catsteps. Soil surface texture is fine sand. Soil structure is typically single grained. The available water capacity is low. If vegetative cover on this site is disturbed, the soil is highly susceptible to wind erosion and the formation of deep, concave blown-out areas locally referred to as blowouts.
The Reference Community (1.1) should show little to no evidence of rills. Water flow patterns, if present, are broken, irregular in appearance, and discontinuous. Some pedestalling of plants occurs but is not evident on casual observation and occurs on less than 5 percent of the plants. Wind-scoured areas are inherent to this site and some soil movement may be noticeable on the steepest portions of the site.
Valentine and Valent are the only soil series correlated to the Choppy Sands 17-22" PZ ecological site. Additional information can be found in the various soil survey reports. Contact the local USDA Service Center for soil survey reports that include more details specific to your location or visit Web Soil Survey (https://websoilsurvey.sc.egov.usda.gov).
Table 4. Representative soil features
| Parent material |
(1)
Eolian sands
|
|---|---|
| Surface texture |
(1) Fine sand |
| Family particle size |
(1) Sandy |
| Drainage class | Excessively drained |
| Permeability class | Rapid |
| Soil depth | 80 in |
| Surface fragment cover <=3" | Not specified |
| Surface fragment cover >3" | Not specified |
| Available water capacity (0-40in) |
2 – 3 in |
| Calcium carbonate equivalent (0-40in) |
Not specified |
| Electrical conductivity (0-40in) |
Not specified |
| Sodium adsorption ratio (0-40in) |
Not specified |
| Soil reaction (1:1 water) (0-40in) |
5.6 – 7.3 |
| Subsurface fragment volume <=3" (Depth not specified) |
2% |
| Subsurface fragment volume >3" (Depth not specified) |
Not specified |
Ecological dynamics
Choppy Sands 17-22" PZ ecological sites developed under Northern Great Plains climatic conditions, light to severe grazing by bison and other large herbivores, sporadic natural or man-caused fire, and other biotic and abiotic factors that typically influence soil and site development. This continues to be a disturbance-driven site with herbivory, fire, and variable climate being the primary disturbances. Changes occur in the plant communities due to short-term weather variations, impacts of native and exotic plant and animal species, and management actions.
Historically, large areas of blowing sand resulted in the active movement of the sand dunes. Evaporation from the soil surface was extremely high due to the large areas of bare ground, lack of litter, and sparse plant populations. The transpiration rate of these sparse plant populations was also high due to the harsh soil environment. Occasional wildfires, severe grazing by transient bison herds, and drought contributed to instability of the sand dunes causing the dunes to fluctuate through multiple stages of plant succession over time. Early perennial plants such as sandhill muhly, blowout grass, and blowout penstemon were common due to their ability to tolerate the movement of the sand and droughty conditions. As these plants began to colonize and stabilize the sand movement, other perennials such as prairie sandreed, sand bluestem, hairy grama, lemon scurfpea, and rose slowly became evident on the site. Annual plants such as sandbur, woolly Indianwheat, annual buckwheat, and prairie sunflower eventually colonized the areas between the perennials. The site is extremely resilient, and well adapted to Northern Great Plains climatic conditions. The plant diversity allows for high resistance to drought.
The introduction of domestic livestock by European settlers along with season-long, continuous grazing had a profound impact on the vegetation of the Choppy Sands 17-22" PZ ecological site. Season-long, continuous grazing causes a repeated removal of the growing point and excessive defoliation of the leaf area of the more palatable warm-season tallgrasses, reducing the ability of the plants to harvest sunlight thereby depleting root reserves and subsequently decreasing root mass. The ability of the plants to compete for nutrients is impaired, resulting in decreased vigor and eventual mortality. Species that evade negative grazing impacts through mechanisms such as a growing season adaptation (i.e., cool-season), growing points located near the soil surface, a shorter structure, or reduced palatability will increase. As this site deteriorates, sand bluestem and prairie sandreed will decrease in frequency and production while needle and thread and blue grama will increase. As this management continues, needle and thread and other palatable cool-season grasses will decrease.
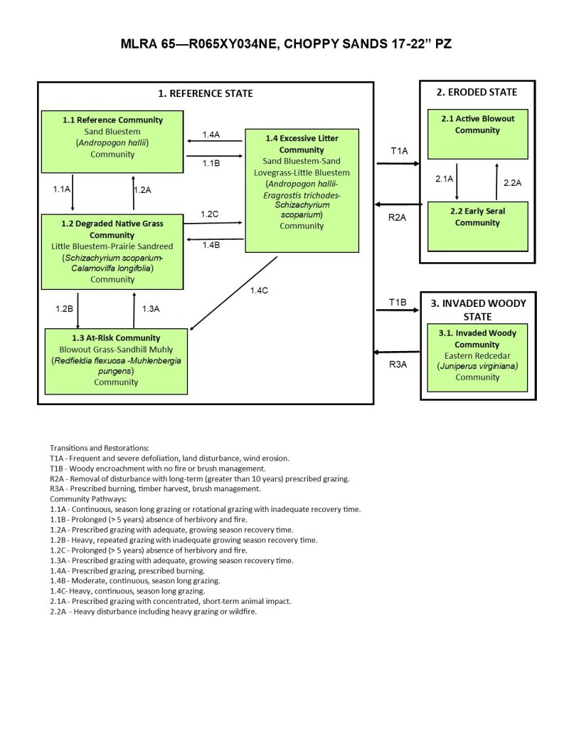
The State and Transition Model (STM) is depicted below and includes a Reference State (1) an Eroded State (2), and an Invaded Woody State (3). Each state represents the crossing of a major ecological threshold due to the alteration of the functional dynamic properties of the ecosystem. The primary properties observed to determine this change are soil stability, hydrologic function and biotic integrity. Each state may have one or more plant communities that fluctuate in species composition and abundance within the normal parameters of the state. Within each state, communities may degrade or recover in response to natural and man caused disturbances such as variation in the degree and timing of herbivory, presence or absence of fire, and local climatic fluctuations, especially in the precipitation regime. The processes that cause the movement between the states and communities are discussed in more detail in the state and community descriptions following the model diagram.
Interpretations are primarily based on the Reference Community (1.1) which has been determined by study of rangeland relic areas, areas protected from excessive disturbance, and areas under long-term rotational grazing regimes. Trends in plant community dynamics ranging from heavily grazed to lightly grazed areas, seasonal use pastures, and historical accounts have been used as well. Plant communities, states, transitional pathways, and thresholds have been determined through similar studies and experience.
State and transition model
Figure 8. State and Transition Model Diagram Choppy Sands 17-22 PZ Ecological Site, MLRA 65.
More interactive model formats are also available.
View Interactive Models
More interactive model formats are also available.
View Interactive Models
Click on state and transition labels to scroll to the respective text
Ecosystem states
| T1A | - | Frequent and severe defoliation, land disturbance, wind erosion. |
|---|---|---|
| T1B | - | Woody encroachment with no fire or brush management. |
| R2A | - | Removal of disturbance with long-term (<10 years) prescribed grazing. |
| R3A | - | Prescribed burning and brush management. |
State 1 submodel, plant communities
| 1.1A | - | Continuous, season long grazing or rotational grazing with inadequate recovery time. |
|---|---|---|
| 1.1B | - | Prolonged (> 5 years) absence of herbivory and fire. |
| 1.2A | - | Prescribed grazing with adequate, growing season recovery time. |
| 1.2B | - | Heavy, repeated grazing with inadequate growing season recovery time. |
| 1.2C | - | Prolonged (> 5 years) absence of herbivory and fire. |
| 1.3A | - | Prescribed grazing with adequate, growing season recovery time. |
| 1.4A | - | Prescribed grazing, prescribed burning. |
| 1.4B | - | Moderate, continuous, season long grazing. |
| 1.4C | - | Heavy, continuous season long grazing. |
State 2 submodel, plant communities
| 2.1A | - | Prescribed grazing with concentrated, short-term animal impact. |
|---|---|---|
| 2.2A | - | Heavy disturbance including heavy grazing or wildfire. |
State 3 submodel, plant communities
State 1
Reference State
The Reference State (1) describes the range of vegetative community phases that occur on the Choppy Sands 17-22" PZ ecological site where the range of natural variability under historic conditions and disturbance regimes is mostly intact. The Reference State developed under the combined influences of climatic conditions, periodic fire activity, grazing by large herbivores, and impacts from small mammals and insects. High perennial grass cover and production allows for increased soil moisture retention, vegetative production and overall soil quality. The Reference State includes four community phases which are the Reference Community (1.1), the Degraded Native Grass Community (1.2), the At-Risk Community (1.3), and the Excessive Litter Community (1.4). The Reference Community serves as a description of the native plant community that naturally occurs on the site when the natural disturbance regimes are intact or closely mimicked by management practices. The Degraded Native Grass and the At-Risk Communities are the phases that result from management decisions that are unfavorable for a healthy Reference Community. The Excessive Litter Community occurs when herbivory and fire are eliminated from the landscape.
Dominant plant species
-
sand bluestem (Andropogon hallii), grass
-
prairie sandreed (Calamovilfa longifolia), grass
-
little bluestem (Schizachyrium scoparium), grass
-
switchgrass (Panicum virgatum), grass
-
sand lovegrass (Eragrostis trichodes), grass
-
needle and thread (Hesperostipa comata ssp. comata), grass
Community 1.1
Reference Community
Interpretations are primarily based on the Reference Community or Sand Bluestem (Andropogon hallii) Community (1.1). This plant community serves as a description of the native plant community that occurs on the site when the historic disturbance regimes are intact or are closely mimicked by management practices. This phase is dynamic, with fluid relative abundance and spatial boundaries between the dominant structural vegetative groups. These fluctuations are primarily driven by different responses of the species to changes in precipitation timing and abundance, and to fire and grazing events. This site developed with grazing by large herbivores and is well suited for grazing by domestic livestock. This plant community is dominated by warm-season, tall- and midgrasses. Sand bluestem, prairie sandreed, and little bluestem are the dominant grasses. Grasses of secondary importance are needleandthread, switchgrass, sand dropseed, hairy grama, and blue grama. Sedges occur in the understory. Forbs such as scaly and dotted blazing star and stiff sunflower and shrubs such as leadplant, rose, and western sandcherry are significant. The potential vegetative composition consists of 80 to 90 percent grasses or grass-likes, 5 to 10 percent forbs, and 5 to 10 percent shrubs by air dry weight. Natural fire played a significant role in the succession of this site by limiting the extent of shrubs. Wildfires have been actively controlled in recent times, facilitating tree and shrub encroachment. This plant community can be found on areas that are managed with prescribed grazing, prescribed burning, and may be found on areas receiving occasional periods of short-term rest. This community is resilient and well adapted to Northern Great Plains climatic conditions. The plant diversity promotes drought tolerance. Community dynamics, nutrient and water cycles, and energy flow are functioning at the site potential. This is a healthy and sustainable plant community in terms of site and soil stability, hydrologic function, and biotic integrity.
Dominant plant species
-
sand bluestem (Andropogon hallii), grass
-
prairie sandreed (Calamovilfa longifolia), grass
-
little bluestem (Schizachyrium scoparium), grass
-
needle and thread (Hesperostipa comata ssp. comata), grass
-
switchgrass (Panicum virgatum), grass
-
hairy grama (Bouteloua hirsuta), grass
-
blue grama (Bouteloua gracilis), grass
Figure 9. Annual production by plant type (representative values) or group (midpoint values)
Table 5. Annual production by plant type
| Plant type | Low (lb/acre) |
Representative value (lb/acre) |
High (lb/acre) |
|---|---|---|---|
| Grass/Grasslike | 1375 | 1890 | 2280 |
| Forb | 75 | 105 | 210 |
| Shrub/Vine | 50 | 105 | 210 |
| Total | 1500 | 2100 | 2700 |
Figure 10. Plant community growth curve (percent production by month). NE6534, NE/SD Sandhills, Native Grasslands. Warm-season dominant, cool-season subdominant, mid- and tallgrasses.
| Jan | Feb | Mar | Apr | May | Jun | Jul | Aug | Sep | Oct | Nov | Dec |
|---|---|---|---|---|---|---|---|---|---|---|---|
| J | F | M | A | M | J | J | A | S | O | N | D |
| 5 | 5 | 15 | 25 | 30 | 10 | 7 | 3 |
Community 1.2
Degraded Native Grass Community
The Degraded Native Grass or Little Bluestem-Prairie Sandreed (Schizachyrium scoparium-Calamovilfa longifolia) Community (1.2) typically develops with continuous, seasonal, summer grazing but will also develop with rotational grazing that does not incorporate adequate recovery periods during the growing season. Prairie sandreed and little bluestem are the dominant grasses. Other significant grasses include sand bluestem, hairy grama, sand lovegrass, and needle and thread. Dotted blazing star, scaly blazing star, stiff sunflower, lemon scurfpea, and Cuman ragweed are significant forbs. Common shrubs include rose, soapweed yucca, and brittle pricklypear. The potential vegetative composition is 80 to 90 percent grasses and grass-likes, 5 to 10 percent forbs, and 1 to 10 percent shrubs. Compared to the Reference Community, sand bluestem has decreased, while little bluestem and hairy grama have increased. Leadplant, western sandcherry, and chokecherry have also decreased. As warm-season tallgrasses decrease, the amount of bare ground increases but soil erosion is low unless plant cover is further reduced by hail, fire, or heavy grazing. Although runoff is typically low, runoff during high rainfall events may cause concentrated flow erosion. Species diversity and plant cover remain high. This plant community is resistant to change. Short-term disturbances will not cause a shift to another plant community.
Dominant plant species
-
prairie sandreed (Calamovilfa longifolia), grass
-
little bluestem (Schizachyrium scoparium), grass
-
sand bluestem (Andropogon hallii), grass
Figure 11. Annual production by plant type (representative values) or group (midpoint values)
Table 6. Annual production by plant type
| Plant type | Low (lb/acre) |
Representative value (lb/acre) |
High (lb/acre) |
|---|---|---|---|
| Grass/Grasslike | 1100 | 1565 | 1830 |
| Forb | 15 | 100 | 185 |
| Shrub/Vine | 85 | 135 | 185 |
| Total | 1200 | 1800 | 2200 |
Figure 12. Plant community growth curve (percent production by month). NE6534, NE/SD Sandhills, Native Grasslands. Warm-season dominant, cool-season subdominant, mid- and tallgrasses.
| Jan | Feb | Mar | Apr | May | Jun | Jul | Aug | Sep | Oct | Nov | Dec |
|---|---|---|---|---|---|---|---|---|---|---|---|
| J | F | M | A | M | J | J | A | S | O | N | D |
| 5 | 5 | 15 | 25 | 30 | 10 | 7 | 3 |
Community 1.3
At-Risk Community
The At-Risk or Blowout Grass-Sandhill Muhly (Redfieldia flexuosa-Muhlenbergia pungens) Community (1.3) develops under heavy, continuous grazing. Plants are sparse. Blowout grass and sandhill muhly are the dominant grasses. Sand bluestem may be present on deposition sites adjacent to active blowouts. Lemon scurfpea, common sunflower, Cuman ragweed, Texas croton, and tarragon are the dominant forbs. Soapweed yucca is the only shrub that routinely occurs. Large amounts of bare ground are present. The potential vegetative composition is 55 to 75 percent grasses and grasslikes, 5 to 10 percent forbs, and 20 to 35 percent shrubs. With continuation of the heavy, continuous, season long grazing that caused this community to develop, the warm-season, tall- and midgrasses and cool-season bunch grasses will be further reduced, and the community will be at risk of crossing an ecological threshold and transitioning to the Eroded State (2). Careful management is required to protect this community from excessive soil erosion, to improve the vigor of individual plants, and to increase plant density. This plant community is not resistant to change, and any short-term disturbance could cause the transition to the Eroded State (2).
Dominant plant species
-
soapweed yucca (Yucca glauca), shrub
-
blowout grass (Redfieldia flexuosa), grass
-
sandhill muhly (Muhlenbergia pungens), grass
-
lemon scurfpea (Psoralidium lanceolatum), other herbaceous
-
Texas croton (Croton texensis), other herbaceous
-
common sunflower (Helianthus annuus), other herbaceous
Figure 13. Annual production by plant type (representative values) or group (midpoint values)
Table 7. Annual production by plant type
| Plant type | Low (lb/acre) |
Representative value (lb/acre) |
High (lb/acre) |
|---|---|---|---|
| Grass/Grasslike | 320 | 390 | 455 |
| Forb | 55 | 150 | 250 |
| Shrub/Vine | 25 | 60 | 95 |
| Total | 400 | 600 | 800 |
Community 1.4
Excessive Litter Community
The Excessive Litter or Sand Bluestem-Sand Lovegrass-Little Bluestem (Agropyron hallii-Eragrostis trichodes-Schizachyrium scoparium) Community (1.4) develops when the natural disturbances of herbivory and fire are removed from the system for extend periods of time (five or more years). Initially the dominant grasses are sand bluestem, sand lovegrass, and little bluestem. Other significant grasses include prairie sandreed, hairy grama, and blowout grass. Tarragon, dotted blazing star, stiff sunflower, beardtongue, flax-flowered ipomopsis, and Cuman ragweed are common forbs. Rose, western sandcherry and western poison ivy are common shrubs. Needle and thread may be common but other cool- season grasses and grass-likes are reduced as compared to the Reference Community (1.1). The potential vegetative composition of this community is 80 percent grasses or grass-likes, 10 percent forbs, and 10 percent shrubs. With continued absence of grazing and fire, plant litter continues to accumulate. Litter levels will become extensive and deep enough to reduce plant vigor to the point that the plants experience extensive death loss. Individual plants tend to be clumped. Bunch grasses develop dead centers and rhizomatous grasses form small colonies due to lack of tiller stimulation. With this loss of plant material, large areas of bare ground develop. Annual forbs and grasses often move into these areas of bare ground. As exclusion of grazing and fire continues, this community will lose even more plant diversity and density of live plants. A thick, undisturbed litter layer develops which holds a significant amount of precipitation. Evaporation will increase and available soil moisture will decrease, simulating drought conditions. The dense litter layer also provides a large volume of fuel and causes the land to susceptible to extreme wildfire conditions. This community is especially susceptible to eastern redcedar encroachment.
Dominant plant species
-
sand bluestem (Andropogon hallii), grass
-
sand lovegrass (Eragrostis trichodes), grass
-
little bluestem (Schizachyrium scoparium), grass
Figure 14. Annual production by plant type (representative values) or group (midpoint values)
Table 8. Annual production by plant type
| Plant type | Low (lb/acre) |
Representative value (lb/acre) |
High (lb/acre) |
|---|---|---|---|
| Grass/Grasslike | 920 | 1315 | 1590 |
| Forb | 10 | 75 | 155 |
| Shrub/Vine | 70 | 110 | 155 |
| Total | 1000 | 1500 | 1900 |
Pathway 1.1A
Community 1.1 to 1.2
The Reference Community (1.1) will move to the Degraded Native Grass Community (1.2) with continuous season long grazing or rotational grazing with inadequate, growing season recovery periods. Heavy grazing accelerates this change.
Pathway 1.1B
Community 1.1 to 1.4
Prolonged (greater than five years) interruption of the natural disturbances of herbivory and fire will convert the Reference Community (1.1) to the Excessive Litter Community (1.4). When grazing and fire are removed from the land (non-use), litter cover increases while plant canopy decreases. Wolf plants (large plants with dead centers) become prevalent and the space between living plants increases. The high amount of litter increases ground cover initially reducing soil erosion and runoff. As litter becomes thicker the vigor of the warm- season tall- and midgrasses declines resulting in increased death loss. This plant community is at risk to extreme wildfire due to the large amounts of fuel and low canopy cover. When grazing or fire is reintroduced the Excessive Litter Community will rapidly move toward the previous plant community.
Pathway 1.2A
Community 1.2 to 1.1
A grazing management strategy that incorporates adequate growing season recovery periods before re-entry into pastures or paddocks will significantly increase the amount warm-season tallgrasses, perennial forbs, and palatable shrubs and rapidly move the Degraded Native Grass Community (1.2) toward the Reference Community (1.1). Recovery time needed to move this community to the Reference Community varies with the degree of defoliation, growth stage at time of defoliation, and growing conditions including precipitation and temperature. Continuous winter use also facilitates this shift and will reduce the amount of soapweed yucca. Risks associated with continuous winter use include trailing along slopes, erosion of south facing slopes as livestock seek protection from prevailing northwesterly winds, and poor livestock distribution resulting in heavy use on associated bottomlands.
Pathway 1.2B
Community 1.2 to 1.3
With continued season-long summer grazing or rotational grazing with multiple grazing occupations during the grazing season and with inadequate, growing season recovery period, the Degraded Native Grass Community (1.2) will experience a decrease in forage production, plant diversity, and ground cover and an increase of shortgrasses, annual grasses, and forbs. These changes will move the community towards the At-Risk Community (1.3).
Pathway 1.2C
Community 1.2 to 1.4
Prolonged (greater than five years) interruption of the natural disturbances of herbivory and fire will convert the Degraded Native Grass Community (1.2) to the Excessive Litter Community (1.4). When grazing and fire are removed from the land (non-use), litter cover increases while plant canopy decreases. Wolf plants (large plants with dead centers) become prevalent and the space between living plants increases. The high amount of litter increases ground cover initially reducing soil erosion and runoff. As litter becomes thicker the vigor of the warm-season tall- and midgrasses declines resulting in increased death loss. This plant community is at risk to extreme wildfire due to the large amounts of fuel and low canopy cover. When grazing or fire is reintroduced the Excessive Litter Community will rapidly move toward the previous plant community.
Pathway 1.3A
Community 1.3 to 1.2
A grazing management strategy that incorporates adequate, growing season recovery periods before re-entry into pastures or paddocks will gradually move the At-Risk Community (1.3) to the Degraded Native Grass Community (1.2). The time needed for recovery will vary with degree of defoliation, growth stage at time of defoliation, and growing conditions including precipitation and temperature. This change is accompanied by a significant increase in warm-season, tall- and midgrasses, perennial forbs, and palatable shrubs. Continuous winter use also facilitates the return to the Degraded Native Grass Community.
Pathway 1.4A
Community 1.4 to 1.1
Reintroduction of the natural processes of herbivory and fire will allow the vegetation to return of the Excessive Litter Community (1.4) to the Reference Community (1.1). Implementation of grazing management that incorporates adequate growing season recovery periods will move Excessive Litter Community toward the Reference Community with a significant increase in warm-season grasses, perennial forbs, and desirable shrubs. Careful management is required to protect this community from excessive soil erosion until the vigor of individual plants improves and plant density increases.
Pathway 1.4B
Community 1.4 to 1.2
Reintroduction of the natural processes of herbivory and fire will allow the vegetation to return of the Excessive Litter Community (1.4) to the Degraded Native Grass Community (1.2) when summer grazing with moderate stocking rates is implemented. Careful management is required to protect this community from excessive soil erosion until the vigor of individual plants improves and plant density increases. Prescribed burning will also facilitate this shift in plant community.
Pathway 1.4C
Community 1.4 to 1.3
Continuous, heavy grazing resulting in frequent defoliation of palatable species will move the Excessive Litter Community (1.4) to the At-Risk Community (1.3). Hoof action and grazing will break up the litter and reduce ground cover. Resulting areas of bare ground are subject to wind and water erosion. Risks include excessive soil erosion, an increase in annual grasses and forbs, and a decrease in species diversity.
State 2
Eroded State
The Eroded State (2) can be reached from any plant community in the Reference State (1). This state is the result of heavy disturbance. This heavy disturbance is usually frequent and severe defoliation. The Eroded State can also occur with vehicle traffic, livestock trailing or other heavy disturbances. Long-term drought or dormant season wildfire coupled with the heavy disturbance will accelerate the move to the Eroded State. The Eroded State (2) includes two plant communities which are the Blowout Community (2.1) and the Early Seral Community (2.2).
Dominant plant species
-
blowout grass (Redfieldia flexuosa), grass
-
sandhill muhly (Muhlenbergia pungens), grass
-
sand bluestem (Andropogon hallii), grass
-
lemon scurfpea (Psoralidium lanceolatum), other herbaceous
-
fourpoint evening primrose (Oenothera rhombipetala), other herbaceous
-
Texas croton (Croton texensis), other herbaceous
Community 2.1
Active Blowout Community
The Active Blowout Community (2.1) can be reached from any plant community in Reference State (1) or from the Early Seral Community (2.2). The Active Blowout Community is characterized by large areas of blowing sand which results in movement, and possibly enlargement, of the blowout. Under these conditions, evaporation is extremely high and transpiration by the few existing plants is also high. The bare ground, lack of litter and low plant density all contribute to high evaporation and transpiration. This community is kept in a very low successional stage by the steep side slopes of the blowout, blowing sand, and lack of soil development. Sandhill muhly and blowout grass are present due to their drought tolerance and ability to withstand burial by blowing sand. The Active Blowout Community can be moved to the Early Seral Community (2.2) by removing the long term, concentrated animal impactor other existing disturbance and replacing it with prescribed grazing that incorporates concentrated short-term animal impact. This concentrated animal impact can be achieved through activities such as feeding hay on the blowout. Establishment of vegetation may be accelerated by broadcast seeding a temporary cover crop prior to the removal of animal impact to provide cover to reduce wind erosion.
Dominant plant species
-
blowout grass (Redfieldia flexuosa), grass
-
sandhill muhly (Muhlenbergia pungens), grass
-
common sunflower (Helianthus annuus), other herbaceous
Community 2.2
Early Seral Community
As succession progresses, the Blowout Community (2.1) moves toward the Early Seral Community (2.2). Sandhill muhly, blowout grass, and sand bluestem are the earliest colonizers. Annual grasses such as sandbur are common. Lemon scurfpea, Texas croton, and common sunflower are common forbs. Prairie sandreed, hairy grama, and rose slowly become present the plant community and eventually other warm-season tall- and midgrasses will enter the plant community. Disturbances such as heavy grazing or wildfire will return the community to the Active Blowout Community. Long-term (greater than 10 years) prescribed grazing with incorporation of adequate, growing season recovery periods will move the plant community toward the Reference Community. The slope, aspect, and size of the area, as well as the relative abundance of perennial plants, will influence the amount of time required to reach the Reference Community.
Dominant plant species
-
blowout grass (Redfieldia flexuosa), grass
-
sandhill muhly (Muhlenbergia pungens), grass
-
sand bluestem (Andropogon hallii), grass
-
lemon scurfpea (Psoralidium lanceolatum), other herbaceous
-
common sunflower (Helianthus annuus), other herbaceous
-
Texas croton (Croton texensis), other herbaceous
-
fourpoint evening primrose (Oenothera rhombipetala), other herbaceous
Pathway 2.1A
Community 2.1 to 2.2
Prescribed grazing that includes concentrated short-term animal impact will move the Active Blowout Community (2.1) to the Early Seral Community (2.2). Concentrated animal impact is often accomplished by activities such as feeding hay on the blowout for short periods of time followed by growing season recovery periods.
Pathway 2.2A
Community 2.2 to 2.1
As succession progresses, the Blowout Community (2.1) moves toward the Early Seral Community (2.2). Sandhill muhly, blowout grass, and sand bluestem are the earliest colonizers. Annual grasses such as sandbur are common. Lemon scurfpea, Texas croton, and common sunflower are common forbs. Prairie sandreed, hairy grama, and rose slowly become present the plant community and eventually other warm-season tall- and midgrasses will enter the plant community. Disturbances such as heavy grazing or wildfire will return the community to the Active Blowout Community. Long-term (greater than 10 years) prescribed grazing with incorporation of adequate, growing season recovery periods (deferment) will move the plant community toward the Reference Community. The slope, aspect, and size of the area, as well as the relative abundance of perennial plants, will influence the amount of time required to reach the Reference Community.
State 3
Invaded Woody State
The Invaded Woody State (3) is the result of woody encroachment. Once the tree canopy cover reaches 15 percent with an average tree height exceeding five feet, the threshold to the Invaded Woody State has been crossed. Woody species are increasing due to the lack of prescribed fire, brush management, or other woody tree removal. Typical ecological impacts are a loss of native grasses, reduce diversity of functional and structural groups, reduced forage production, and reduced soil quality. Prescribed burning, wildfire, timber harvest and brush management will move the Invaded Woody State toward the Reference State (1). The Invaded Woody State includes the Invaded Woody Community (3.1).
Dominant plant species
-
eastern redcedar (Juniperus virginiana), tree
-
hairy grama (Bouteloua hirsuta), grass
-
needle and thread (Hesperostipa comata ssp. comata), grass
Community 3.1
Invaded Woody Community
The Invaded Woody Community or Eastern Redcedar (Juniperus virginiana) Community (3.1) has at least 15 percent canopy cover consisting of trees generally 5 feet or taller. Encroaching trees are primarily eastern redcedar. Additional woody cover from deciduous trees and shrubs may be present. In the absence of fire and brush management, this ecological site is very susceptible to eastern redcedar seedling invasion, especially when adjacent to a seed source. Eastern redcedar can eventually dominate the site resulting in a closed canopy monoculture which drastically reduces forage production, and which has limited value for either livestock grazing or wildlife habitat. With long-term fire suppression, this plant community will develop extensive ladder fuels which can lead to a removal of most tree species with a wildfire. With properly managed intensive grazing, encroachment of deciduous trees will typically be minimal; however, this will not impact encroachment of coniferous species. The herbaceous component decreases proportionately in relation to the percent canopy cover, with the reduction being greater under a coniferous overstory. With fire suppression over many years, this plant community will develop extensive ladder fuels which can lead to a removal of most tree species with a wildfire. With properly managed intensive grazing, encroachment of deciduous trees will be minimal; however, prescribed grazing will not prevent the encroachment of shrubs or eastern redcedar. The herbaceous component decreases proportionately in relation to the percent canopy cover, with the reduction being significant as eastern redcedar encroachment increases. Eastern red cedar control can usually be accomplished with prescribed burning while the trees are six feet tall or less and fine fuel production is greater than 1,500 pounds per acres. Larger red cedars can also be controlled with prescribed burning, but successful application requires the use of specifically designed ignition and holding techniques (https://www.loesscanyonsburngroup.com). Resprouting brush must be chemically treated immediately after mechanical removal to achieve effective treatment. The forb component will initially increase following tree removal. To prevent return to a woody dominated community, ongoing brush management such as hand cutting, chemical spot treatments, or periodic prescribed burning is required. This plant community is resistant to change and resilient given normal disturbances. In higher canopy cover situations, soil erosion will increase in relation to most of the plant communities from which this plant community originated. The water cycle is also significantly altered under higher woody canopy cover. Infiltration is reduced and runoff is typically increased due to the lack of herbaceous cover and the absence of the root structure provided by herbaceous species.
Transition T1A
State 1 to 2
The Eroded State (2) can be reached from any plant community of the Reference State (1). The Eroded State occurs with frequent and severe defoliation. Heavy, continuous grazing most often causes this transition, but it can also occur with rotational grazing when plants are not given adequate growing season recovery time before the paddocks or pastures are re-grazed. This process is accelerated when accompanied by additional disturbances, such as dormant season wildfire or extended drought. Heavy disturbance, such as vehicle traffic or livestock trailing can also cause this transition. The reduction in plant canopy and litter cover allows wind erosion to develop, creating large areas of blowing sand.
Transition T1B
State 1 to 3
Long-term (more than ten years) disruption of the natural fire regime and the encroachment of invasive exotic and native woody species with no woody species management and cause the Reference State (1) to cross the threshold to the Invaded Woody State (3).
Restoration pathway R2A
State 2 to 1
The Eroded State (2) can be restored to the Reference State (1) with long term (10 or more years) grazing management that incorporates adequate growing season recovery periods (deferment). When either human-caused disturbance or livestock concentration caused the transition from the Reference State, removal of the disturbance along with appropriate grazing management is needed. With long-term prescribed grazing, succession will progress, eventually returning the land to the Reference State.
Restoration pathway R3A
State 3 to 1
The Invaded Woody State (3) can be restored to the Reference State (1) through prescribed burning, wildfire, timber harvest, or brush management. The forb component may initially increase following tree removal. Ongoing brush management such as hand cutting, chemical spot treatments, or periodic prescribed burning is required to prevent a return to the Invaded Woody State. The heavier the existing canopy cover, the greater the energy input required to return to the Reference State. The amount of time required for the herbaceous vegetation of the Reference State to return depends upon the severity and duration of the encroachment.
Additional community tables
Table 9. Community 1.1 plant community composition
| Group | Common name | Symbol | Scientific name | Annual production (lb/acre) | Foliar cover (%) | |
|---|---|---|---|---|---|---|
|
Grass/Grasslike
|
||||||
| 1 | Warm-Season Tallgrass | 1050–1365 | ||||
| sand bluestem | ANHA | Andropogon hallii | 420–735 | – | ||
| prairie sandreed | CALO | Calamovilfa longifolia | 420–630 | – | ||
| switchgrass | PAVI2 | Panicum virgatum | 21–210 | – | ||
| Indiangrass | SONU2 | Sorghastrum nutans | 0–105 | – | ||
| Grass, perennial | 2GP | Grass, perennial | 0–42 | – | ||
| 2 | Warm-Season Midgrass | 315–630 | ||||
| little bluestem | SCSC | Schizachyrium scoparium | 210–525 | – | ||
| sand lovegrass | ERTR3 | Eragrostis trichodes | 42–315 | – | ||
| blowout grass | REFL | Redfieldia flexuosa | 0–105 | – | ||
| sand dropseed | SPCR | Sporobolus cryptandrus | 0–105 | – | ||
| Grass, perennial | 2GP | Grass, perennial | 0–42 | – | ||
| 3 | Cool-Season Grass | 210–420 | ||||
| needle and thread | HECOC8 | Hesperostipa comata ssp. comata | 105–210 | – | ||
| porcupinegrass | HESP11 | Hesperostipa spartea | 42–210 | – | ||
| prairie Junegrass | KOMA | Koeleria macrantha | 0–105 | – | ||
| fall rosette grass | DIWI5 | Dichanthelium wilcoxianum | 0–63 | – | ||
| Grass, perennial | 2GP | Grass, perennial | 0–42 | – | ||
| Scribner's rosette grass | DIOLS | Dichanthelium oligosanthes var. scribnerianum | 0–42 | – | ||
| 4 | Warm-Season Shortgrass | 63–210 | ||||
| hairy grama | BOHI2 | Bouteloua hirsuta | 21–105 | – | ||
| blue grama | BOGR2 | Bouteloua gracilis | 0–105 | – | ||
| sandhill muhly | MUPU2 | Muhlenbergia pungens | 0–105 | – | ||
| thin paspalum | PASE5 | Paspalum setaceum | 0–42 | – | ||
| Grass, perennial | 2GP | Grass, perennial | 0–42 | – | ||
| 5 | Grass-likes | 0–105 | ||||
| sedge | CAREX | Carex | 0–105 | – | ||
|
Forb
|
||||||
| 6 | Forb | 105–210 | ||||
| Cuman ragweed | AMPS | Ambrosia psilostachya | 0–42 | – | ||
| Forb, annual | 2FA | Forb, annual | 0–42 | – | ||
| Forb, perennial | 2FP | Forb, perennial | 0–42 | – | ||
| tarragon | ARDR4 | Artemisia dracunculus | 0–21 | – | ||
| stiff sunflower | HEPA19 | Helianthus pauciflorus | 0–21 | – | ||
| hairy false goldenaster | HEVI4 | Heterotheca villosa | 0–21 | – | ||
| scaly blazing star | LISQ | Liatris squarrosa | 0–21 | – | ||
| dotted blazing star | LIPU | Liatris punctata | 0–21 | – | ||
| large beardtongue | PEGR7 | Penstemon grandiflorus | 0–21 | – | ||
| lemon scurfpea | PSLA3 | Psoralidium lanceolatum | 0–21 | – | ||
| silverleaf Indian breadroot | PEAR6 | Pediomelum argophyllum | 0–21 | – | ||
| palmleaf Indian breadroot | PEDI9 | Pediomelum digitatum | 0–21 | – | ||
| common sunflower | HEAN3 | Helianthus annuus | 0–21 | – | ||
| annual buckwheat | ERAN4 | Eriogonum annuum | 0–21 | – | ||
| fourpoint evening primrose | OERH | Oenothera rhombipetala | 0–21 | – | ||
|
Shrub/Vine
|
||||||
| 7 | Shrub | 21–210 | ||||
| leadplant | AMCA6 | Amorpha canescens | 21–105 | – | ||
| American plum | PRAM | Prunus americana | 0–105 | – | ||
| western sandcherry | PRPUB | Prunus pumila var. besseyi | 0–105 | – | ||
| rose | ROSA5 | Rosa | 0–105 | – | ||
| western poison ivy | TORY | Toxicodendron rydbergii | 0–105 | – | ||
| brittle pricklypear | OPFR | Opuntia fragilis | 0–42 | – | ||
| Shrub (>.5m) | 2SHRUB | Shrub (>.5m) | 0–42 | – | ||
Table 10. Community 1.2 plant community composition
| Group | Common name | Symbol | Scientific name | Annual production (lb/acre) | Foliar cover (%) | |
|---|---|---|---|---|---|---|
|
Grass/Grasslike
|
||||||
| 1 | Warm-Season Midgrass | 540–900 | ||||
| little bluestem | SCSC | Schizachyrium scoparium | 360–540 | – | ||
| blowout grass | REFL | Redfieldia flexuosa | 0–180 | – | ||
| sand lovegrass | ERTR3 | Eragrostis trichodes | 0–180 | – | ||
| sand dropseed | SPCR | Sporobolus cryptandrus | 0–90 | – | ||
| Grass, perennial | 2GP | Grass, perennial | 0–36 | – | ||
| 2 | Warm-Season Tallgrass | 450–810 | ||||
| prairie sandreed | CALO | Calamovilfa longifolia | 360–540 | – | ||
| sand bluestem | ANHA | Andropogon hallii | 90–270 | – | ||
| Indiangrass | SONU2 | Sorghastrum nutans | 0–90 | – | ||
| switchgrass | PAVI2 | Panicum virgatum | 0–90 | – | ||
| Grass, perennial | 2GP | Grass, perennial | 0–36 | – | ||
| 3 | Cool-Season Grass | 180–270 | ||||
| needle and thread | HECOC8 | Hesperostipa comata ssp. comata | 90–180 | – | ||
| porcupinegrass | HESP11 | Hesperostipa spartea | 0–90 | – | ||
| prairie Junegrass | KOMA | Koeleria macrantha | 0–90 | – | ||
| Scribner's rosette grass | DIOLS | Dichanthelium oligosanthes var. scribnerianum | 0–36 | – | ||
| fall rosette grass | DIWI5 | Dichanthelium wilcoxianum | 0–36 | – | ||
| Grass, perennial | 2GP | Grass, perennial | 0–36 | – | ||
| 4 | Warm-Season Shortgrass | 90–180 | ||||
| blue grama | BOGR2 | Bouteloua gracilis | 36–180 | – | ||
| hairy grama | BOHI2 | Bouteloua hirsuta | 0–90 | – | ||
| sandhill muhly | MUPU2 | Muhlenbergia pungens | 0–90 | – | ||
| thin paspalum | PASE5 | Paspalum setaceum | 0–36 | – | ||
| Grass, perennial | 2GP | Grass, perennial | 0–36 | – | ||
| 5 | Grass-like | 0–90 | ||||
| sedge | CAREX | Carex | 0–90 | – | ||
|
Forb
|
||||||
| 6 | Forb | 90–180 | ||||
| Forb, perennial | 2FP | Forb, perennial | 0–36 | – | ||
| Forb, annual | 2FA | Forb, annual | 0–36 | – | ||
| Cuman ragweed | AMPS | Ambrosia psilostachya | 0–36 | – | ||
| tarragon | ARDR4 | Artemisia dracunculus | 0–18 | – | ||
| common sunflower | HEAN3 | Helianthus annuus | 0–18 | – | ||
| stiff sunflower | HEPA19 | Helianthus pauciflorus | 0–18 | – | ||
| hairy false goldenaster | HEVI4 | Heterotheca villosa | 0–18 | – | ||
| dotted blazing star | LIPU | Liatris punctata | 0–18 | – | ||
| scaly blazing star | LISQ | Liatris squarrosa | 0–18 | – | ||
| lemon scurfpea | PSLA3 | Psoralidium lanceolatum | 0–18 | – | ||
| palmleaf Indian breadroot | PEDI9 | Pediomelum digitatum | 0–18 | – | ||
|
Shrub/Vine
|
||||||
| 7 | Shrub | 18–180 | ||||
| rose | ROSA5 | Rosa | 0–90 | – | ||
| soapweed yucca | YUGL | Yucca glauca | 0–90 | – | ||
| leadplant | AMCA6 | Amorpha canescens | 0–36 | – | ||
| brittle pricklypear | OPFR | Opuntia fragilis | 0–36 | – | ||
| American plum | PRAM | Prunus americana | 0–36 | – | ||
| western sandcherry | PRPUB | Prunus pumila var. besseyi | 0–36 | – | ||
| Shrub (>.5m) | 2SHRUB | Shrub (>.5m) | 0–36 | – | ||
Table 11. Community 1.3 plant community composition
| Group | Common name | Symbol | Scientific name | Annual production (lb/acre) | Foliar cover (%) | |
|---|---|---|---|---|---|---|
|
Grass/Grasslike
|
||||||
| 1 | Warm-Season Midgrass | 150–300 | ||||
| blowout grass | REFL | Redfieldia flexuosa | 150–300 | – | ||
| sand dropseed | SPCR | Sporobolus cryptandrus | 0–30 | – | ||
| Grass, perennial | 2GP | Grass, perennial | 0–30 | – | ||
| 2 | Warm-Season Shortgrass | 60–240 | ||||
| sandhill muhly | MUPU2 | Muhlenbergia pungens | 60–240 | – | ||
| hairy grama | BOHI2 | Bouteloua hirsuta | 0–60 | – | ||
| Grass, perennial | 2GP | Grass, perennial | 0–60 | – | ||
| 3 | Warm-Season Tallgrass | 60–120 | ||||
| prairie sandreed | CALO | Calamovilfa longifolia | 30–90 | – | ||
| Grass, perennial | 2GP | Grass, perennial | 0–60 | – | ||
| big bluestem | ANGE | Andropogon gerardii | 0–60 | – | ||
| 4 | Native Cool-Season Grass | 30–60 | ||||
| needle and thread | HECOC8 | Hesperostipa comata ssp. comata | 0–30 | – | ||
| porcupinegrass | HESP11 | Hesperostipa spartea | 0–30 | – | ||
| Grass, perennial | 2GP | Grass, perennial | 0–30 | – | ||
| prairie Junegrass | KOMA | Koeleria macrantha | 0–18 | – | ||
| 5 | Grass-like | 0–30 | ||||
| sedge | CAREX | Carex | 0–30 | – | ||
|
Forb
|
||||||
| 6 | Forbs | 30–60 | ||||
| Forb, annual | 2FA | Forb, annual | 0–60 | – | ||
| common sunflower | HEAN3 | Helianthus annuus | 0–30 | – | ||
| Grass, perennial | 2GP | Grass, perennial | 0–18 | – | ||
| lemon scurfpea | PSLA3 | Psoralidium lanceolatum | 0–12 | – | ||
| tarragon | ARDR4 | Artemisia dracunculus | 0–12 | – | ||
| Texas croton | CRTE4 | Croton texensis | 0–12 | – | ||
|
Shrub/Vine
|
||||||
| 7 | Shrub | 120–210 | ||||
| soapweed yucca | YUGL | Yucca glauca | 120–180 | – | ||
| Shrub (>.5m) | 2SHRUB | Shrub (>.5m) | 0–60 | – | ||
Table 12. Community 1.4 plant community composition
| Group | Common name | Symbol | Scientific name | Annual production (lb/acre) | Foliar cover (%) | |
|---|---|---|---|---|---|---|
|
Grass/Grasslike
|
||||||
| 1 | Warm-Season Tallgrass | 600–900 | ||||
| big bluestem | ANGE | Andropogon gerardii | 300–525 | – | ||
| prairie sandreed | CALO | Calamovilfa longifolia | 300–450 | – | ||
| switchgrass | PAVI2 | Panicum virgatum | 0–75 | – | ||
| Indiangrass | SONU2 | Sorghastrum nutans | 0–75 | – | ||
| Grass, perennial | 2GP | Grass, perennial | 0–30 | – | ||
| 2 | Warm-Season MIdgrass | 300–600 | ||||
| little bluestem | SCSC | Schizachyrium scoparium | 150–450 | – | ||
| sand lovegrass | ERTR3 | Eragrostis trichodes | 30–225 | – | ||
| blowout grass | REFL | Redfieldia flexuosa | 0–75 | – | ||
| sand dropseed | SPCR | Sporobolus cryptandrus | 0–75 | – | ||
| Grass, perennial | 2GP | Grass, perennial | 0–30 | – | ||
| 3 | Cool-Season Grass | 150–225 | ||||
| needle and thread | HECOC8 | Hesperostipa comata ssp. comata | 75–150 | – | ||
| prairie Junegrass | KOMA | Koeleria macrantha | 0–75 | – | ||
| fall rosette grass | DIWI5 | Dichanthelium wilcoxianum | 0–45 | – | ||
| Grass, perennial | 2GP | Grass, perennial | 0–30 | – | ||
| Scribner's rosette grass | DIOLS | Dichanthelium oligosanthes var. scribnerianum | 0–30 | – | ||
| 4 | Warm-Season Shortgrass | 75–150 | ||||
| blue grama | BOGR2 | Bouteloua gracilis | 0–75 | – | ||
| hairy grama | BOHI2 | Bouteloua hirsuta | 0–75 | – | ||
| sandhill muhly | MUPU2 | Muhlenbergia pungens | 0–75 | – | ||
| thin paspalum | PASE5 | Paspalum setaceum | 0–30 | – | ||
| Grass, perennial | 2GP | Grass, perennial | 0–30 | – | ||
| 5 | Grass-like | 0–45 | ||||
| sedge | CAREX | Carex | 0–45 | – | ||
|
Forb
|
||||||
| 6 | Forb | 75–150 | ||||
| Cuman ragweed | AMPS | Ambrosia psilostachya | 0–30 | – | ||
| tarragon | ARDR4 | Artemisia dracunculus | 0–30 | – | ||
| Forb, annual | 2FA | Forb, annual | 0–30 | – | ||
| Forb, perennial | 2FP | Forb, perennial | 0–30 | – | ||
| stiff sunflower | HEPA19 | Helianthus pauciflorus | 0–15 | – | ||
| hairy false goldenaster | HEVI4 | Heterotheca villosa | 0–15 | – | ||
| dotted blazing star | LIPU | Liatris punctata | 0–15 | – | ||
| lemon scurfpea | PSLA3 | Psoralidium lanceolatum | 0–15 | – | ||
| palmleaf Indian breadroot | PEDI9 | Pediomelum digitatum | 0–15 | – | ||
|
Shrub/Vine
|
||||||
| 7 | Shrub | 15–150 | ||||
| leadplant | AMCA6 | Amorpha canescens | 0–75 | – | ||
| American plum | PRAM | Prunus americana | 0–75 | – | ||
| western sandcherry | PRPUB | Prunus pumila var. besseyi | 0–75 | – | ||
| rose | ROSA5 | Rosa | 0–75 | – | ||
| western poison ivy | TORY | Toxicodendron rydbergii | 0–75 | – | ||
| soapweed yucca | YUGL | Yucca glauca | 0–75 | – | ||
| brittle pricklypear | OPFR | Opuntia fragilis | 0–30 | – | ||
| Shrub (>.5m) | 2SHRUB | Shrub (>.5m) | 0–30 | – | ||
Interpretations
Animal community
LIVESTOCK - GRAZING INTERPRETATIONS:
Grazing by domestic livestock is the major income-producing industry in the area. Rangeland in this area may provide year-long forage for cattle, sheep, or horses. During the dormant period, the protein levels of the forage may be lower than the minimum needed to meet livestock (primarily cattle and sheep) requirements. The following table lists suggested stocking rates for cattle under continuous season- long grazing under normal growing conditions. These are conservative estimates that should be used only as guidelines in the initial stages of the conservation planning process. Often, the current plant composition does not entirely match any particular plant community (as described in this ecological site description). Because of this, a field visit is recommended, in all cases, to document plant composition and production. More precise carrying capacity estimates should eventually be calculated using this information along with animal preference data, particularly when grazers other than cattle are involved. With consultation of the land manager, more intensive grazing management may result in improved harvest efficiencies and increased carrying capacity.
Production and Carrying Capacity*
►Reference Community (1.1)
Average Production (lb./acre, air-dry): 2,100
Stocking Rate (AUM/acre): 0.58
►Degraded Native Grass Community (1.2)
Average Production (lb./acre, air-dry): 1,800
Stocking Rate (AUM/acre): 0.49
►At-Risk Community (1.3)
Average Production (lb./acre, air-dry): 600
Stocking Rate (AUM/acre): 0.16
►Excessive Litter Community (1.4)
Average Production (lb./acre, air-dry): 1,500
Stocking Rate (AUM/acre): 0.41
*Based upon the following conditions: continuous season-long grazing by cattle under average growing conditions, 25 percent harvest efficiency. Air dry forage requirements based on 3 percent of animal body weight, or 912 lbs/AU/month.
WILDLIFE INTERPRETATIONS:
The Sandhills Prairie ecosystem consists of diverse grassland habitats interspersed with varying densities of Sandhills lakes and limited woody riparian corridors. The majority of this ecosystem is intact. These habitats historically provided critical life cycle components for the grassland birds, prairie dogs, and herds of roaming bison, elk, and pronghorn. Bobcats, wolves, and mountain lions occupied the apex predator niche. Diverse populations of small mammals and insects still provide a bountiful prey base for raptors and omnivores such as coyotes, foxes, raccoons, and opossums. In addition, a wide variety of reptiles and amphibians thrive in this landscape.
The Sandhills Prairie was a disturbance-driven ecosystem with fire, herbivory, and climate functioning as the primary disturbances. Following European settlement, elimination of fire and overgrazing altered the appearance and functionality of the ecosystem. Bison and prairie dogs were historically keystone species, but free-roaming bison herds have been extirpated in this region. The loss of bison and fire as ecological drivers influenced the character of the remaining native grasslands and the habitats that they provide. Fragmentation in MLRA 65 is limited and area sensitive grassland birds such as greater prairie chicken and sharp-tailed grouse continue to thrive here. The mosaic of sites continues to provide habitat for species requiring unfragmented grasslands, providing upland nesting habitat for grassland birds and game birds, nesting and escape cover for waterfowl, forbs and insects for brood-rearing habitat, and a forage source for small and large herbivores.
In the absence of fire and grazing, heavy litter buildup can occur on this site hindering the movement of young birds, especially quail and prairie chickens. Increased litter buildup results in decreased forb abundance and diversity and an accompanying decrease in insects, a critical food source for young birds. Introduced species such as cheatgrass, Kentucky bluegrass, and introduced forbs may be present but degradation of the biotic integrity from non-native species in this precipitation zone on ecological site is limited.
Disruption of the natural fire regime and accompanying woody encroachment is the greatest threat to ecosystem dynamics in this MLRA. Lack of fire facilitates tree and shrub encroachment degrades grassland habitats and creates habitats that favor generalist species such as American robin and mourning dove. Woody species provide perches for raptors, increasing the predation mortality on native bird populations. Woody encroachment is most severe in the eastern half of the MLRA but is a threat across the MLRA.
Hydrological functions
Water is the principal factor limiting forage production on the Choppy Sands 14-17" PZ ecological sites. Normal rainfall is 17 to 22 inches per year. The Valentine and Valent soils of this site are in Hydrologic Soil Group A (low runoff and high infiltration even when thoroughly wetted). Water transmission through Group A soils is normally greater than 0.30 inches per hour. Runoff is expected to occur only during very intense storms. Refer to Section 4, NRCS National Engineering Handbook for runoff quantities and hydrologic curves.
For the interpretive plant community, rills and gullies should not typically be present. Water flow patterns should be barely distinguishable if at all present. Pedestals are only slightly present in association with bunchgrasses such as little bluestem. Litter typically falls in place, and signs of movement are not common. Chemical and physical crusts are rare to non-existent. Overall, this site has the appearance of being very stable and productive.
Recreational uses
This site provides hunting opportunities for upland game species. The wide variety of plants which bloom from spring until fall have an aesthetic value that appeals to visitors.
Wood products
No appreciable wood products are present on the site.
Other products
Hand seed harvest of native plant species can provide additional income on this site.
Other information
Revision Notes: “This PROVISIONAL ecological site concept has been through the Quality Control and Quality Assurance processes to ensure that the site meets the NESH standards for a provisional ecological site that provides basic compiled information in one location. This site should not be considered an Approved ESD until further data entry and editing is completed.
Site Development and Testing Plan:
Future work is needed to validate the information in this Provisional Ecological Site Description. Additional data collection and evaluation may also be needed to develop this ESD to the Approved, then Correlated level. This could include field activities to collect low, medium and high intensity sampling, soil correlations, and analysis of that data. Field reviews of the project plan should be done by soil scientists and vegetation specialists. A final field review, peer review, quality control, and quality assurance reviews of the ESD will be needed to produce the final document. Annual reviews of the Project Plan are to be conducted by the Ecological Site Technical Team. The project plan is ES-R065XY013NE - MLRA 65.
Supporting information
Inventory data references
Information presented here has been derived from NRCS clipping data and other inventory data. Field observations from range trained personnel was also used. Those involved in developing this site description include Dave Cook, Rangeland Management Specialist, NRCS; Dwight Hale, Engineer, NRCS; Sheila Luoma, Resource Conservationist, NRCS; Marla Shelbourn, Rangeland Management Specialist, NRCS; Dave Steffen, Rangeland Management Specialist, NRCS.
Other references
Bleed, A. S., Flowerday, C. A. 1998. An Atlas of the Sand Hills. Conservation and Survey Division, Institute of Agriculture and Natural Resources, University of Nebraska-Lincoln.
U.S. Department of Agriculture, Natural Resources Conservation Service. 2003. National Range and Pasture Handbook. (https://www.nrcs.usda.gov/national-range-and-pasture-handbook)
U.S. Department of Agriculture, Natural Resources Conservation Service. National Water and Climate Center. (http://www.wcc.nrcs.usda.gov/climate).
U.S. Department of Agriculture, Natural Resources Conservation Service. 2021b. National Soil Information System. (https://www.nrcs.usda.gov/resources/education-and-teaching-materials/national-soil-information-system-nasis).
U.S. Department of Agriculture, Natural Resources Conservation Service. 2021c. National soil survey handbook, title 430-VI. (http://soils.usda.gov/technical/handbook/). Soil Survey Staff. 2021.
Web soil survey. U.S. Department of Agriculture, Natural Resources Conservation Service. (https://websoilsurvey.sc.egov.usda.gov/), NRCS 2023.
The PLANTS Database ( http://plants.usda.gov ,12/27/2023). National Plant Data Team, Greensboro, NC USA.
USDA, NRCS, various published Soil Surveys.
Contributors
Kim Stine
Doug Whisenhunt
Nadine Bishop
Approval
Suzanne Mayne-Kinney, 2/04/2025
Rangeland health reference sheet
Interpreting Indicators of Rangeland Health is a qualitative assessment protocol used to determine ecosystem condition based on benchmark characteristics described in the Reference Sheet. A suite of 17 (or more) indicators are typically considered in an assessment. The ecological site(s) representative of an assessment location must be known prior to applying the protocol and must be verified based on soils and climate. Current plant community cannot be used to identify the ecological site.
| Author(s)/participant(s) | Original Author: Stan Boltz. Version V participants: Dave Cook, Emily Helms, Jeff Nichols, Myra Richardson, Nadine Bishop |
|---|---|
| Contact for lead author | Jeff Nichols: jeffrey.nichols@usda.gov |
| Date | 11/30/2024 |
| Approved by | Suzanne Mayne-Kinney |
| Approval date | |
| Composition (Indicators 10 and 12) based on | Annual Production |
Indicators
-
Number and extent of rills:
None. Rills are not expected on this site. -
Presence of water flow patterns:
Typically, none. Water flow patterns may occur during extreme precipitation events and will be less than 12 inches (30 cm) long, less than 6 inches (15 cm) wide, discontinuous, and usually found between catsteps. -
Number and height of erosional pedestals or terracettes:
Bunch grasses may be slightly pedestalled (0.5 inch / 1.25 cm) with no exposed roots; pedestalled plants are expected but not common. Pedestalled plants will typically occur on north and west aspects of slopes where bunchgrasses are more common. Drought or wildfire can contribute to increased incidences of pedestalled plants. -
Bare ground from Ecological Site Description or other studies (rock, litter, lichen, moss, plant canopy are not bare ground):
Bare ground is typically 25 percent or less. Bare patches should be disconnected and less than 12 inches (30 cm) across. Multi-year drought and/or wildfire can increase bare ground to 35 percent for up to two years following the disturbance.
Bare ground is exposed mineral soil that is not covered by vegetation (basal and/or foliar canopy), standing dead vegetation, gravel/rock, and visible biological crust (e.g., lichen, mosses, algae). -
Number of gullies and erosion associated with gullies:
None. Gullies are not expected on this site. -
Extent of wind scoured, blowouts and/or depositional areas:
Occasional small blowouts may occur immediately adjacent to areas receiving repeated disturbance, such as increased animal activity (e.g. rodent burrow, animal trailing). Wind-scoured areas are typically less than 10 feet (3 meters) wide and comprise less than 5 percent of the site. -
Amount of litter movement (describe size and distance expected to travel):
Litter should fall in place. Fine litter movement should be less than 12 inches (30 cm). Coarse litter is not expected to move -
Soil surface (top few mm) resistance to erosion (stability values are averages - most sites will show a range of values):
This site has low organic matter in the surface horizon and the structure is single grain sand. Soil stability will be difficult to measure on these soils. Soil stability ratings of less than 2 are expected. Surface erosion by water rarely occurs due to rapid infiltration, but surface is susceptible to wind erosion when vegetative cover is reduced due to multi-year drought, wildfire, or multi-year heavy grazing. Biological crusts may be present and may serve to provide resistance to erosion. -
Soil surface structure and SOM content (include type of structure and A-horizon color and thickness):
The A-horizon should be 2 to 3 inches (5 to 8 cm) thick. Soils have little organic matter in the A- horizon and soil color is grayish brown (values of 4 to 6) when dry and dark grayish brown colors (values of 3 to 5) when moist. Structure ranges from fine granular to single grained in the A-horizon.
Valent and Valentine are the soils correlated to this ecological site. -
Effect of community phase composition (relative proportion of different functional groups) and spatial distribution on infiltration and runoff:
The functional/structural groups provide a combination of rooting depths and structure which positively influences infiltration. Combination of shallow and deep rooted species (rhizomatous, warm-season tall- and midgrasses and tufted perennial cool season grasses) with fine and coarse roots positively influences infiltration. Due to the high infiltration rate of these soils, there is no measurable difference in infiltration rate among plant communities in the Reference State.
The expected composition of the plant community is 80 to 90 percent perennial grasses and grass-likes, 5 to 10 percent forbs, and 1 to 10 percent shrubs. The perennial grass and grass-like component is made up of warm-season tallgrasses 50-65%); warm-season midgrasses (15-30%), cool-season grasses (10-20%); warm-season shortgrasses (3-10%); and grass-likes (0-5%). -
Presence and thickness of compaction layer (usually none; describe soil profile features which may be mistaken for compaction on this site):
None. Compaction layers should not be present. -
Functional/Structural Groups (list in order of descending dominance by above-ground annual-production or live foliar cover using symbols: >>, >, = to indicate much greater than, greater than, and equal to):
Dominant:
Phase 1.1
1. Native, perennial, warm-season, tallgrass, 1050-1365 #/ac, 50-65%, 3 species minimum: sand bluestem, prairie sandreed, switchgrass, Indiangrass.
2, Native, perennial, warm-season midgrass, 315-630 #/ac, 15-30%, 2 species minimum: little bluestem, sand lovegrass, blowout grass, sand dropseed.
Phase 1.2
1. Native, perennial, warm-season, midgrass, 540-900 #/ac, 30-50%, 1 species minimum: little bluestem, blowout grass, sand lovegrass, sand dropseed.
2. Native, perennial, warm-season tallgrass, 450-810 #/ac, 25-45%, 2 species minimum: prairie sandreed, sand bluestem, Indiangrass, switchgrass.
Phase 1.3
1. Native, perennial, warm-season midgrass, 150-300#/ac, 25-50%, 1 species minimum: blowout grass, sand dropseed, little bluestem, sand dropseed.
2. Native, perennial, warm-season, shortgrass, 60-240 #/ac, 10-40%, 1 species minimum: sandhill muhly, blue grama, hairy grama.
3. Shrubs, 120-210 #/ac, 20-35%, 1 species minimum: soapweed yucca.Sub-dominant:
Phase 1.1
1. Native, perennial, cool-season grass, 210-420 #/ac, 10-20%, 1 species minimum: needle and thread, porcupinegrass, prairie Junegrass, Scribner’s rosette grass, fall rosette grass.
Phase 1.2
1. Native, perennial, cool-season grass, 180-270 #/ac, 5-15%, 1 species minimum: needle and thread, porcupinegrass, prairie Junegrass, Scribner’s rosette grass, fall rosette grass.
Phase 1.3
1. Native, perennial, warm-season tallgrass, 60-120#/ac, 10-20%, 1 species minimum: prairie sandreed, sand bluestem, switchgrass.Other:
Minor - Phase 1.1
1. Native, perennial and annual forbs, 105-210 #/ac, 5-10%: forbs present vary from location to location.
2. Native, perennial, warm-season shortgrass, 63-210#/ac, 3-10%: blue grama, hairy grama, sandhill muhly, thin paspalum.
3. Shrubs, 21-210 #/ac, 1-10%: leadplant, American plum, western sandcherry, rose, brittle pricklypear, western poison ivy.
4. Grass-likes, 0-105 #/ac, 0-5%: sedges
Minor - Phase 1.2
1. Native, perennial, warm-season shortgrass, 90-180 #/ac, 5-10%: blue grama, hairy grama, sandhill muhly, thin paspalum.
2. Native, perennial and annual forbs, 90-180 #/ac, 5-10%: forbs present vary from location to location.
3. Shrubs, 18-180 #/ac, 1-10%: leadplant, rose, soapweed yucca, brittle pricklypear, American plum, soapweed yucca.
4. Grass-likes, 0-90 #/ac, 0-5%: sedges.
Minor - Phase 1.3
1. Native, perennial, cool-season grass, 30-60 #/ac, 5-10%: needle and thread, porcupinegrass, prairie Junegrass, Scribner’s rosette grass, fall rosette grass.
2. Native, annual and perennial forbs, 30-60 #/ac, 5-10%: forbs present vary from location to location.
3. Grass-likes, 0-30 #/ac, 0-5%: sedges.Additional:
The Reference Community (1.1) includes seven functional/structural groups which are in order of relative abundance native, perennial, warm-season tallgrass; native, perennial, warm-season midgrass; native perennial, cool-season grass; native forbs; native perennial, warm-season shortgrass; native forbs; shrubs; grass-likes.
The Degraded Native Grass Community (1.2) includes seven functional/structural groups which are in order of relative abundance native, perennial, warm-season midgrass; native perennial, warm-season tallgrass; native perennial, cool-season grass; native, perennial, warm-season shortgrass=native forbs; shrubs; grass-likes.
The At-Risk Community (1.3) includes seven functional/structural groups which are in order of relative abundance native, perennial, warm-season midgrass; native perennial, warm-season shortgrass; shrubs; native, perennial, warm-season tallgrass=native, perennial cool-season grass=native forbs; grass-likes. -
Amount of plant mortality and decadence (include which functional groups are expected to show mortality or decadence):
Very little evidence of decadence or mortality. Bunch grasses have strong, healthy centers and shrubs have few dead stems. The exception is the potential of up to 25 percent mortality of warm-season bunch grasses during multi- year drought cycles. -
Average percent litter cover (%) and depth ( in):
Plant litter cover is evenly distributed throughout the site and is expected to be 40 to 50 percent and at a depth of 0.25 to 0.50 inch (0.65-1.3 cm). Litter cover during and following drought can range from 30 to 40 percent. -
Expected annual annual-production (this is TOTAL above-ground annual-production, not just forage annual-production):
The representative value (RV) for annual production is 2,100 pounds per acer on an air dry weight basis. Low and high production years should yield 1,500 and 2,700 pounds per acre respectively. -
Potential invasive (including noxious) species (native and non-native). List species which BOTH characterize degraded states and have the potential to become a dominant or co-dominant species on the ecological site if their future establishment and growth is not actively controlled by management interventions. Species that become dominant for only one to several years (e.g., short-term response to drought or wildfire) are not invasive plants. Note that unlike other indicators, we are describing what is NOT expected in the reference state for the ecological site:
Annual bromes (cheatgrass and Japanese/field) and eastern redcedar are known invasives that have the potential to be dominant or co-dominant on the site. Consult the state noxious weed and state watch lists for potential invasive species on each ecological site.
NOTE: Invasive plants (for the purposes of the IIRH protocol) are plant species that are typically not found on the ecological site or should only be in trace or minor categories under the natural disturbance regime and have the potential to become a dominant or codominant species on the site if their establishment and growth are not actively controlled by natural disturbances or management interventions. Species listed characterize degraded states AND have the potential to become a dominant or co-dominant species. -
Perennial plant reproductive capability:
All perennial species exhibit high vigor relative to recent weather conditions. Perennial grasses should have vigorous rhizomes or tillers; vegetative and reproductive structures are not stunted. All perennial species should be capable of reproducing annually.
Print Options
Sections
Font
Other
The Ecosystem Dynamics Interpretive Tool is an information system framework developed by the USDA-ARS Jornada Experimental Range, USDA Natural Resources Conservation Service, and New Mexico State University.
Click on box and path labels to scroll to the respective text.
Ecosystem states
| T1A | - | Frequent and severe defoliation, land disturbance, wind erosion. |
|---|---|---|
| T1B | - | Woody encroachment with no fire or brush management. |
| R2A | - | Removal of disturbance with long-term (<10 years) prescribed grazing. |
| R3A | - | Prescribed burning and brush management. |
State 1 submodel, plant communities
| 1.1A | - | Continuous, season long grazing or rotational grazing with inadequate recovery time. |
|---|---|---|
| 1.1B | - | Prolonged (> 5 years) absence of herbivory and fire. |
| 1.2A | - | Prescribed grazing with adequate, growing season recovery time. |
| 1.2B | - | Heavy, repeated grazing with inadequate growing season recovery time. |
| 1.2C | - | Prolonged (> 5 years) absence of herbivory and fire. |
| 1.3A | - | Prescribed grazing with adequate, growing season recovery time. |
| 1.4A | - | Prescribed grazing, prescribed burning. |
| 1.4B | - | Moderate, continuous, season long grazing. |
| 1.4C | - | Heavy, continuous season long grazing. |
State 2 submodel, plant communities
| 2.1A | - | Prescribed grazing with concentrated, short-term animal impact. |
|---|---|---|
| 2.2A | - | Heavy disturbance including heavy grazing or wildfire. |