Natural Resources
Conservation Service
Ecological site R065XY032NE
Sandy 17-22" PZ
Last updated: 2/04/2025
Accessed: 12/19/2025
General information
Provisional. A provisional ecological site description has undergone quality control and quality assurance review. It contains a working state and transition model and enough information to identify the ecological site.
Figure 1. Mapped extent
Areas shown in blue indicate the maximum mapped extent of this ecological site. Other ecological sites likely occur within the highlighted areas. It is also possible for this ecological site to occur outside of highlighted areas if detailed soil survey has not been completed or recently updated.
MLRA notes
Major Land Resource Area (MLRA): 065X–Nebraska Sand Hills
The Nebraska Sand Hills (MLRA 65) is located in Nebraska (98 percent) and South Dakota (2 percent) and encompasses approximately 13.2 million acres (534,201 hectares) or 20,625 square miles (53,420 square kilometers). The largest town in the MLRA is North Platte, Nebraska and numerous small towns and villages are located within the MLRA, including the county seats of Arthur, Bartlett, Bassett, Brewster, Greeley, Hyannis, Mullen, Thedford, and Tryon, Nebraska. The Niobrara River is near the northern boundary while the North Platte River flows along the southwest boundary of the area. The North Loup, Middle Loup, Calamus, Snake, and Dismal Rivers and Long Pine Creek occur in the central and eastern portion of the area.
Fort Niobrara, Crescent Lake, and Valentine National Wildlife Refuges and portions of the Nebraska National Forest, including the Bessey Ranger District and Samuel R. McKelvie National Forest, are located within this MLRA. The Bessey Ranger District includes the largest human-planted forest in the United States and is home to the Bessey Tree Nursery which is listed on the National Register of Historic Places.
This MLRA is defined by an 8,000 year-old landscape of sand hills dominated by rolling to steep sand dunes with narrow, elongated, nearly level to steeply sloping valleys between the dunes. Dune heights range from 10 to 400 feet (3 to 130 meters) and slopes may exceed twenty-five percent. Dune complexes often extend for several miles in a northwest to southeast direction. These Quaternary sand dunes are derived from the underlying Tertiary Ogallala and Arikaree Groups, which formed when rivers deposited sediments from erosional detritus after the uplift of the Rocky Mountains to the west. The Nebraska Sand Hills are the largest sand dune area in the Western Hemisphere and one of the largest grass-stabilized dune regions in the world. The soils of the MLRA are principally derived from deep eolian sand.
The Ogallala aquifer underlies the MLRA and is the most extensive and heavily used aquifer of the high plains between the Rocky Mountains and Mississippi River. The aquifer is at its thickest in the Sand Hills which are a primary recharge are for the aquifer. Numerous small permanent and intermittent lakes and wetlands occur in the MLRA. While the dominant source of water for these lakes is precipitation, groundwater discharge is important to maintaining these lakes especially in drier years. A number of these lakes, especially in the western portion of the MLRA are alkaline.
Considered to be a western extension of the tallgrass prairie, the matrix vegetation is a unique mix of species that is sometimes identified as Sandhills Prairie. Sand bluestem, prairie sandreed, Indiangrass, switchgrass, sand lovegrass, little bluestem, and needle and thread are the primary grasses. Porcupinegrass is a significant cool-season grass in the eastern portion of the MLRA while blue grama and hairy grama are important warm-season grasses in the western portion due to differences in precipitation. Soils which have a high water table support a tallgrass prairie dominated by big bluestem, switchgrass, Indiangrass, prairie cordgrass, and a variety of grass-likes. The endangered plant blowout penstemon (Penstemon haydenii) is found in this MLRA.
More than ninety percent of the land in MLRA 65 is native grassland utilized by grazing livestock. Areas along streams and in subirrigated valleys are utilized for prairie hay. Wetlands, legume hay, and irrigated cropland make up the balance of the land area with corn being the principal irrigated crop.
Wildlife flourishes in this native grassland environment. Historically large bison herds occupied the landscape. White-tailed deer, mule deer, pronghorn, black tailed jackrabbit, and coyote are now the major mammalian species. Upland sandpiper, lark bunting, grasshopper sparrow, western meadowlark, long-billed curlew, sharp-tailed grouse, and greater prairie chicken are common avian species. The mosaic of grassland and wetlands provide excellent habitat for wading and shorebird species as well.
This landscape serves as a backdrop for a disturbance-driven ecosystem, which developed under the influences of herbivory, fire, and periodic long-term drought. Historically, these processes created a heterogeneous mosaic of plant communities and vegetative structure across the region. Any given site in this landscape experienced fire every six to ten years. Fires were caused by lightning strikes and also were set by Native Americans, who used fire for warfare, signaling, and to refresh the native grasses. Indigenous peoples understood the value of fire as a tool and that the highly palatable growth following a fire provided excellent forage for their horses and attracted grazing animals such as bison, elk, and pronghorn.
The natural fire regime has been disrupted by aggressive fire suppression policies which have facilitated woody species encroachment by both native and introduced shrubs and trees into the native prairie. The most common encroacher is eastern redcedar. While eastern redcedar is native to the landscape, it was present only in trace amounts due to the periodic fires. Widespread plantings of windbreaks with eastern redcedar as a primary component have provided a seed source for this aggressive woody plant causing encroachment into native grasslands, especially in the eastern and central Sand Hills. This encroachment causes significant forage loss for domestic livestock and degrades the native wildlife habit. Since it is not a root-sprouter, eastern redcedar is very susceptible to fire when under six feet tall making management with prescribed fire very effective when applied before trees reach this stage.
Classification relationships
►USDA-NRCS (2022)◄
Land Resource Region – G, Central Feed Grains and Livestock Region
Major Land Resource Area (MLRA) –65, Nebraska Sand Hills
►Fenneman (1916) Physiographic Regions ◄
Division – Interior Plains
Province – Great Plains
Section – High Plains
►USDA-USFS (2007) Ecoregions◄
Domain – Dry
Division – Temperate Steppe
Province – Great Plains Steppe (332)
Section – Mixed Grass Steppe
►EPA Ecoregions (Omernik 1997)◄
I – Great Plains (9)
II – West-Central Semi-Arid Prairies (9.3)
III – Nebraska Sandhills (44)
IV – Sandhills (44a), Alkaline Lakes Area (44b), Wet Meadow and Marsh Plain (44c), Lakes Area (44d)
Ecological site concept
There is a significant decline in precipitation from east to west across MLRA 65 which impacts plant community composition and annual production. For the purpose of ecological site development, the Sandy ecological site is divided into three ecological sites to address this precipitation gradient and its impacts to the site. The Sandy 17-22" precipitation zone (PZ) typically occurs east of a line that extends from central Garden County to Ellsworth, to central Sheridan County and west of a line that extends approximately from central Logan County to Thedford to northwest Blaine County to Wood Lake, Nebraska.
The Sandy 17-22" PZ ecological site is a run-off site that typically occurs on interdunes with slopes of 3 percent or less. It also occurs on dunes, hills, stream terraces, stream valleys where slopes are typically three to nine percent, but may be steeper. The soils are very deep, well drained to excessively drained, and primarily formed in eolian sand or other eolian deposits. Soil surface textures are fine sandy loam or loamy fine sand. Subsoil textures are typically fine sandy loam or loamy fine sand but range from loam to fine sand. Soils have a dark surface layer that is at least seven inches thick on sites located on interdune and dune landforms, but this dark surface layer may be as thin as four inches when located on other landforms.
The historic native vegetation of the Sandy 17-22" PZ ecological site is Sandhills Prairie. Vegetation in the Reference Plant Community (1.1) consists of a mixture of warm-season tall- and midgrasses and cool-season grasses. Dominant grasses include sand bluestem, prairie sandreed, switchgrass, little bluestem, and needle and thread. The plant community includes a diverse population of forbs and shrubs. In the absence of periodic fire, the Sandy 17-22" PZ ecological site is susceptible to invasion by woody species, especially eastern redcedar.
Associated sites
| R065XY024NE |
Subirrigated The Subirrigated ecological site is often found adjacent to, but in a lower landscape position than the Sandy 17-22 |
|---|---|
| R065XY033NE |
Sands 17-22" PZ The Sands 17-22 |
| R065XY041NE |
Shallow To Gravel The Shallow to Gravel ecological site is often found interspersed with the Sandy 17-22 |
Similar sites
| R065XY033NE |
Sands 17-22" PZ Sands 17-22 |
|---|---|
| R065XY029NE |
Sandy Lowland Sandy 17-22 |
Table 1. Dominant plant species
| Tree |
Not specified |
|---|---|
| Shrub |
Not specified |
| Herbaceous |
(1) Andropogon hallii |
Physiographic features
The Sandy 17-22" PZ ecological site is found in the sand hills landscape on interdunal landforms and hills and valleys along streams. This area consists of Quaternary sand dunes. The sands are derived from the underlying Tertiary Ogallala and Arikaree Groups. These units formed when rivers deposited sediments that originated as erosional detritus following the uplift of the Rocky Mountains to the west.
Table 2. Representative physiographic features
| Landforms |
(1)
Sandhills
> Interdune
(2) Upland > Hillslope (3) Valley > River valley |
|---|---|
| Runoff class | Negligible to medium |
| Ponding frequency | None |
| Elevation | 1,968 – 4,000 ft |
| Slope | 15% |
| Water table depth | 72 – 80 in |
| Aspect | Aspect is not a significant factor |
Climatic features
The mean average annual precipitation in the central portion of this MLRA is typically ranges from 17 to 22 inches but has varied from 13 to 27 inches in the driest to wettest season. Approximately 70 percent of the annual precipitation occurs during the growing season from mid- April to late September. The average annual snowfall varies from about 34 inches to about 42 inches. The wind velocity is high throughout the year, averaging 10 to 12 miles per hour. Maximum wind velocities generally occur in the spring.
The average date of first frost in the fall is September 25, and the last frost in the spring is about May 8. July is the hottest month and January is the coldest. It is not uncommon for the temperature to reach 100 degrees Fahrenheit during the summer. Summer humidity is low, and evaporation is high. The winters are characterized with frequent northerly winds, producing severe cold with temperatures dropping to as low as negative 30 degrees Fahrenheit.
Growth of native cool-season plants begins in late March and continues to late June. Native warm-season plants begin growth in mid-May and continue to late August. Green up of cool-season plants may occur in September and October when adequate soil moisture is present.
Table 3. Representative climatic features
| Frost-free period (characteristic range) | 108-122 days |
|---|---|
| Freeze-free period (characteristic range) | 130-140 days |
| Precipitation total (characteristic range) | 19-22 in |
| Frost-free period (actual range) | 107-128 days |
| Freeze-free period (actual range) | 129-153 days |
| Precipitation total (actual range) | 19-23 in |
| Frost-free period (average) | 116 days |
| Freeze-free period (average) | 137 days |
| Precipitation total (average) | 21 in |
Figure 2. Monthly precipitation range
Figure 3. Monthly minimum temperature range
Figure 4. Monthly maximum temperature range
Figure 5. Monthly average minimum and maximum temperature
Figure 6. Annual precipitation pattern
Figure 7. Annual average temperature pattern
Climate stations used
-
(1) ARTHUR [USC00250365], Arthur, NE
-
(2) HYANNIS [USC00254100], Hyannis, NE
-
(3) KILGORE 1NE [USC00254432], Kilgore, NE
-
(4) KINGSLEY DAM [USC00254455], Keystone, NE
-
(5) MERRIMAN [USC00255470], Merriman, NE
-
(6) MULLEN [USC00255700], Mullen, NE
-
(7) MULLEN 21 NW [USC00255702], Whitman, NE
-
(8) NORTH PLATTE RGNL AP [USW00024023], Maxwell, NE
-
(9) VALENTINE NWR [USC00258755], Valentine, NE
-
(10) WHITMAN 5 ENE [USW00094079], Whitman, NE
Influencing water features
There are no water features influencing this site.
Soil features
The soils associated with the Sandy 17-22" PZ ecological site are very deep, well drained to excessively drained, and formed in eolian sand, alluvium, or residuum weathered from sandstone. Slopes range from 0 to 3 percent on interdunes and from 3 to 9 percent on hills and valleys along streams. The soil surface texture is typically loamy fine sand to fine sandy loam surface textures. Subsurface soil textures generally range from loam to fine sand. The combined thickness of the A horizons is typically 10 to 19 inches. Soils located on interdunes have a dark surface layer that is more than 7 inches thick, but this layer may be as thin as four inches on soils located on hills and stream valleys.
Runoff is generally low due to the moderate to low slope gradient and the high intake rate of these soils. Rills and gullies should not be present. Water flow patterns, if present, are barely distinguishable. Some pedestalling of plants may occur, but pedestals are not evident on casual observation and occur on less than 5 percent of the plants. Litter typically falls in place and signs of movement are uncommon. Chemical and physical crusts are rare to not present. Cryptobiotic crusts are present, typically covering 1 to 2 percent of the soil surface.
The major soil series correlated to this ecological site are Dunday, Duda, Sandose, McKelvie, Vetal, and Anselmo. Other soils correlated to this site include Valentine, Jansen, Mullen, Tuthill, Calamus, Ringgold, Busher, Birdwood, Pivot, and Doger. Additional information can be found in the various soil survey reports. Contact the local USDA Service Center for soil survey reports that include more details specific to your location or visit Web Soil Survey(https://websoilsurvey.sc.egov.usda.gov).
Table 4. Representative soil features
| Surface texture |
(1) Fine sandy loam (2) Loamy fine sand |
|---|---|
| Family particle size |
(1) Sandy |
| Drainage class | Well drained to excessively drained |
| Permeability class | Moderately slow to rapid |
| Soil depth | 80 in |
| Surface fragment cover <=3" | 5% |
| Surface fragment cover >3" | Not specified |
| Available water capacity (0-40in) |
2.3 – 5.9 in |
| Calcium carbonate equivalent (0-40in) |
5% |
| Electrical conductivity (0-40in) |
3 mmhos/cm |
| Sodium adsorption ratio (0-40in) |
Not specified |
| Soil reaction (1:1 water) (0-40in) |
5.1 – 8.4 |
| Subsurface fragment volume <=3" (Depth not specified) |
20% |
| Subsurface fragment volume >3" (Depth not specified) |
Not specified |
Ecological dynamics
Sandy 17-22" PZ ecological sites developed under Northern Great Plains climatic conditions, light to severe grazing by bison and other large herbivores, sporadic natural or man-caused fire, and other biotic and abiotic factors that typically influence soil and site development. This continues to be a disturbance-driven site with herbivory, fire, and variable climate being the primary disturbances. Changes occur in the plant communities due to short-term weather variations, impacts of native and exotic plant and animal species, and management actions.
Historically, large areas of blowing sand resulted in the active movement of the sand dunes. Evaporation from the soil surface was extremely high due to the large areas of bare ground, lack of litter, and sparse plant populations. The transpiration rate of these sparse plant populations was also high due to the harsh soil environment. Occasional wildfires, severe grazing by transient bison herds, and drought contributed to instability of the sand dunes causing the dunes to fluctuate through multiple stages of plant succession over time. Early perennial plants such as sandhill muhly, blowout grass, and blowout penstemon were common due to their ability to tolerate the movement of the sand and droughty conditions. As these plants began to colonize and stabilize the sand movement, other perennials such as prairie sandreed, sand bluestem, hairy grama, lemon scurfpea, and rose slowly became evident on the site. Annual plants such as sandbur, woolly Indianwheat, annual buckwheat, and prairie sunflower eventually colonized the areas between the perennials. The plant diversity allows for high resistance to drought. The site is extremely resilient, and well adapted to Northern Great Plains climatic conditions.
The introduction of domestic livestock by European settlers along with season-long, continuous grazing had a profound impact on the vegetation of the Sandy 17-22" PZ ecological site. Season-long, continuous grazing causes a repeated removal of the growing point and excessive defoliation of the leaf area of the more palatable warm-season tallgrasses, reducing the ability of the plants to harvest sunlight thereby depleting root reserves and subsequently decreasing root mass. The ability of the plants to compete for nutrients is impaired, resulting in decreased vigor and eventual mortality. Species that evade negative grazing impacts through mechanisms such as a growing season adaptation (i.e., cool-season), growing points located near the soil surface, a shorter structure, or reduced palatability will increase. As this site deteriorates, sand bluestem and prairie sandreed decrease in frequency and production while less palatable grasses such as needle and thread and blue grama increase. As this management continues, needle and thread and other palatable cool-season grasses will decrease.
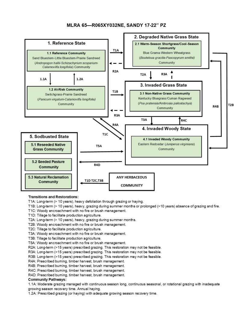
The State and Transition Model (STM) is depicted below and includes a Reference State (1), a Degraded Native Grass State (2), an Invaded Grass State (3), an Invaded Woody State (4), and a Sodbusted State (5). Each state represents the crossing of a major ecological threshold due to the alteration of the functional dynamic properties of the ecosystem. The primary properties observed to determine this change are soil stability, vegetative communities, and the hydrologic cycle. Each state may have one or more plant communities that fluctuate in species composition and abundance within the normal parameters of the state. Within each state, communities may degrade or recover in response to natural and man caused disturbances such as variation in the degree and timing of herbivory, presence or absence of fire, and local climatic fluctuations especially in the precipitation regime. The processes that cause the movement between the states and communities are discussed in more detail in the state and community description following the model diagram.
Interpretations are primarily based on the Reference Community (1.1), which has been determined by study of rangeland relic areas, areas protected from excessive disturbance, and areas under long-term rotational grazing regimes. Trends in plant community dynamics ranging from heavily grazed to lightly grazed areas, seasonal use pastures, and historical accounts have been used as well. Plant communities, states, transitional pathways, and thresholds have been determined through similar studies and experience.
State and transition model
Figure 8. State and Transition Model Diagram, Sandy 17-22" PZ Ecological Site, MLRA 65.
More interactive model formats are also available.
View Interactive Models
More interactive model formats are also available.
View Interactive Models
Click on state and transition labels to scroll to the respective text
Ecosystem states
States 1, 5 and 2 (additional transitions)
| T1A | - | Long-term (> 10 years), heavy defoliation through grazing or haying. |
|---|---|---|
| T1B | - | Long-term (> 10 years), heavy, grazing during summer months or prolonged (>10 years) absence of grazing and fire. |
| T1C | - | Woody encroachment with no fire or brush management. |
| T1D | - | Tillage to facilitate production agriculture. |
| R2A | - | Long-term (>15 years) prescribed grazing. This restoration may not be feasible. |
| T2A | - | Long-term (> 10 years), heavy, grazing during summer months. |
| T2B | - | Woody encroachment with no fire or brush management. |
| T2C | - | Tillage to facilitate production agriculture. |
| R3A | - | Long-term (>15 years) prescribed grazing. This restoration may not be feasible. |
| R3B | - | Long-term (>15 years) prescribed grazing. This restoration may not be feasible. |
| T3A | - | Woody encroachment with no fire or brush management. |
| T3B | - | Tillage to facilitate production agriculture. |
| R4A | - | Prescribed burning, timber harvest, brush management. |
| R4B | - | Prescribed burning, timber harvest, brush management. |
| R4C | - | Prescribed burning, timber harvest, brush management. |
| R4D | - | Prescribed burning, timber harvest, brush management. |
| T5A | - | Woody encroachment with no fire or brush management. |
State 1 submodel, plant communities
| 1.1A | - | Moderate grazing managed with continuous season long, continuous seasonal, or rotational grazing with inadequate growing season recovery time. Annual haying. |
|---|---|---|
| 1.2A | - | Prescribed grazing or haying, with adequate growing season recovery time. |
State 2 submodel, plant communities
State 3 submodel, plant communities
State 4 submodel, plant communities
State 5 submodel, plant communities
State 1
Reference State
The Reference State (1) describes the range of vegetative communities that occur on the Sandy 17-22" PZ ecological site where the range of natural variability under historic conditions and disturbance regimes is mostly intact. The Reference State developed under the combined influences of climatic conditions, periodic fire activity, grazing by large herbivores, and impacts from small mammals and insects. High perennial grass cover and production allows for increased soil moisture retention, vegetative production and overall soil quality. The Reference State includes two community phases which are the Reference Community (1.1) and the At-Risk Community (1.2). The Reference Community serves as a description of the native plant community that naturally occurs on the site when the natural disturbance regimes are intact or closely mimicked by management practices. The At-Risk Community results from management actions that are unfavorable for a healthy Reference Community.
Dominant plant species
-
sand bluestem (Andropogon hallii), grass
-
prairie sandreed (Calamovilfa longifolia), grass
Community 1.1
Reference Community
Interpretations are primarily based on the Reference or Sand Bluestem-Little Bluestem-Prairie Sandreed (Andropogon hallii-Schizachyrium scoparium-Calamovilfa longifolia) Community (1.1). This plant community serves as a description of the native plant community that occurs on the site when the historic disturbance regimes are intact or are closely mimicked by management practices. This phase is dynamic, with fluid relative abundance and spatial boundaries between the dominant structural vegetative groups. These fluctuations are primarily driven by different responses of the species to changes in precipitation timing and abundance, and to fire and grazing events. This site developed with grazing by large herbivores and is well suited for grazing by domestic livestock. This plant community is dominated by warm-season, tall- and midgrasses. Little bluestem, sand bluestem and prairie sandreed are the dominant grasses. Grasses of secondary importance include needle and thread, switchgrass, and blue grama. Sedges occur in the understory. Forbs typically include stiff sunflower, bractless blazing star, silverleaf Indian breadroot and broadbeard beardtongue. Leadplant, western sandcherry, and rose are common shrubs. The potential vegetative composition is 80 to 90 percent grasses, 5 to 10 percent forbs, and 1 to 5 percent shrubs by weight. Natural fire played a significant role in the succession of this site by limiting the extent of shrubs. Wildfires have been actively controlled in recent times, facilitating tree and shrub encroachment. This plant community can be found on areas that are managed with prescribed grazing, prescribed burning, and may be found on areas receiving occasional periods of short-term rest. This resilient community is well adapted to Northern Great Plains climatic conditions. Plant diversity promotes strong drought tolerance, site and soil stability, a hydrologic function, and a high degree of biotic integrity. These factors create a suitable environment for a healthy and sustainable plant community.
Dominant plant species
-
little bluestem (Schizachyrium scoparium), grass
-
sand bluestem (Andropogon hallii), grass
-
prairie sandreed (Calamovilfa longifolia), grass
Figure 9. Annual production by plant type (representative values) or group (midpoint values)
Table 5. Annual production by plant type
| Plant type | Low (lb/acre) |
Representative value (lb/acre) |
High (lb/acre) |
|---|---|---|---|
| Grass/Grasslike | 1760 | 2195 | 2625 |
| Forb | 20 | 135 | 250 |
| Shrub/Vine | 20 | 70 | 125 |
| Total | 1800 | 2400 | 3000 |
Figure 10. Plant community growth curve (percent production by month). NE6534, NE/SD Sandhills, Native Grasslands. Warm-season dominant, cool-season subdominant, mid- and tallgrasses.
| Jan | Feb | Mar | Apr | May | Jun | Jul | Aug | Sep | Oct | Nov | Dec |
|---|---|---|---|---|---|---|---|---|---|---|---|
| J | F | M | A | M | J | J | A | S | O | N | D |
| 5 | 5 | 15 | 25 | 30 | 10 | 7 | 3 |
Community 1.2
At-Risk Community
The At-Risk or Switchgrass-Prairie Sandreed (Panicum virgatum-Calamovilfa longifolia) Community (1.2) develops with moderate continuous seasonal grazing, moderate continuous season-long grazing, or moderate rotational grazing with inadequate growing season recovery time between grazing events. Annual haying during same timeframe each year will also cause this shift in plant community. Species diversity is similar to the Reference Community but the more palatable warm-season tallgrasses such as sand bluestem and Indiangrass are reduced as a proportion of the plant community due to continued defoliation of these grasses during their critical growth periods. Switchgrass and prairie sandreed have been reduced in terms of annual production but are the dominant species. Prairie sandreed, switchgrass, and little bluestem are the dominant grasses. Grasses of secondary importance include sand bluestem and blue grama. Cuman ragweed, white sagebrush, and scurfpeas are common forbs and leadplant and rose are common shrubs. The potential vegetative composition is 80 to 90 percent grasses and grass-likes, 5 to 10 percent forbs, and 1 to 10 percent shrubs. In the absence of drought, this plant community can be maintained with moderate grazing (seasonal, season-long or rotational). Heavy, continuous, season-long grazing or rotational grazing with multiple grazing events per season accompanied by inadequate growing season recovery periods further reduce the abundance of warm-season tall- and midgrasses and will move this community to the Degraded Native Grass State (2). Drought conditions without a corresponding reduction in grazing pressure through reduced stocking rates or reduced grazing time can also cause this transition.
Dominant plant species
-
switchgrass (Panicum virgatum), grass
-
prairie sandreed (Calamovilfa longifolia), grass
-
little bluestem (Schizachyrium scoparium), grass
Figure 11. Annual production by plant type (representative values) or group (midpoint values)
Table 6. Annual production by plant type
| Plant type | Low (lb/acre) |
Representative value (lb/acre) |
High (lb/acre) |
|---|---|---|---|
| Grass/Grasslike | 1370 | 1780 | 2190 |
| Forb | 15 | 110 | 205 |
| Shrub/Vine | 15 | 110 | 205 |
| Total | 1400 | 2000 | 2600 |
Figure 12. Plant community growth curve (percent production by month). NE6534, NE/SD Sandhills, Native Grasslands. Warm-season dominant, cool-season subdominant, mid- and tallgrasses.
| Jan | Feb | Mar | Apr | May | Jun | Jul | Aug | Sep | Oct | Nov | Dec |
|---|---|---|---|---|---|---|---|---|---|---|---|
| J | F | M | A | M | J | J | A | S | O | N | D |
| 5 | 5 | 15 | 25 | 30 | 10 | 7 | 3 |
Pathway 1.1A
Community 1.1 to 1.2
The At-Risk Community (1.2) develops from the Reference Community (1.1) with moderate grazing managed with continuous seasonal grazing, continuous season-long grazing, or rotational grazing with inadequate growing season recovery time. Annual haying during same timeframe each year will also cause this shift in plant community.
Pathway 1.2A
Community 1.2 to 1.1
Prescribed grazing with adequate growing season recovery time between grazing events will move the At-Risk Community (1.2) to the Reference Community (1.1). Haying at different timeframes from year to year that incorporates adequate growing season recovery time between haying operations will also move the plant community toward the Reference Community.
State 2
Degraded Native Grass State
The Degraded Native Grass State (2) transitioned from the Reference State (1) and much of the native warm-season tall- and midgrass components have been replaced by warm-season shortgrasses, cool-season grasses, and upland sedges. This State is the result of long-term grazing management that did not provide adequate recovery time for warm-season tall- and midgrasses and cool-season bunchgrasses. The management that results in the Degraded Native Grass State is typically heavy continuous season long grazing but heavy rotational grazing with inadequate growing season recovery periods can also cause this transition. Over time, repeated annual haying during the rapid growth period of warm-season tallgrasses with inadequate growing recovery time will also cause this transition over time. The loss of warm-season tall- and midgrasses negatively impacts energy flow, nutrient cycling, and hydrologic function. Runoff is higher and infiltration is lower than the Reference State. This state is very resistant to change. The Degraded Native Grass State includes the Native Cool-Season/Warm-Season Shortgrass Community (2.1).
Dominant plant species
-
western wheatgrass (Pascopyrum smithii), grass
-
blue grama (Bouteloua gracilis), grass
Community 2.1
Warm-Season Shortgrass/Cool-Season Community
The Warm-Season Shortgrass/Cool-Season or Blue Grama-Western Wheatgrass (Bouteloua gracilis-Pascopyrum smithii) Community (2.1) typically develops with heavy livestock grazing. This grazing is usually managed as season-long continuous but can also develop with heavy rotational grazing with inadequate growing season recovery periods. As compared to the Reference Community (1.1), warm-season shortgrasses have increased. Cool-season grasses including needle and thread, western wheatgrass, prairie Junegrass, and Scribner's rosette grass have also increased. Palatable forbs have decreased while Cuman ragweed, tarragon, prairie sunflower, and white sagebrush have increased. Rose, leadplant, and western sandcherry have diminished in abundance and soapweed yucca and pricklypears have increased. Blue grama, western wheatgrass, Scribner's rosette grass, and sand dropseed are the dominant grasses. Other grasses and grass-likes include prairie sandreed, needle and thread, and sedges. The potential vegetative composition is 80 to 90 percent grasses and grass-likes, 5 to 10 percent forbs, and 1 to 10 percent shrubs. Continued heavy grazing during the summer months will convert this plant community to the Invaded Grass State (3). Over time, if an adequate amount of warm-season tall- and midgrasses remain in the plant community, prescribed grazing with moderate stocking rates and adequate growing season recover time between grazing occupations will move the plant community toward the Reference State (1).
Dominant plant species
-
blue grama (Bouteloua gracilis), grass
-
western wheatgrass (Pascopyrum smithii), grass
-
Scribner's rosette grass (Dichanthelium oligosanthes var. scribnerianum), grass
-
sand dropseed (Sporobolus cryptandrus), grass
Figure 13. Annual production by plant type (representative values) or group (midpoint values)
Table 7. Annual production by plant type
| Plant type | Low (lb/acre) |
Representative value (lb/acre) |
High (lb/acre) |
|---|---|---|---|
| Grass/Grasslike | 1025 | 1225 | 1410 |
| Forb | 65 | 105 | 145 |
| Shrub/Vine | 10 | 70 | 145 |
| Total | 1100 | 1400 | 1700 |
Figure 14. Plant community growth curve (percent production by month). NE6540, NE/SD Sandhills, Native Grass, Grama/Wheatgrass. Warm-season and cool-season co-dominant, short and mid grasses.
| Jan | Feb | Mar | Apr | May | Jun | Jul | Aug | Sep | Oct | Nov | Dec |
|---|---|---|---|---|---|---|---|---|---|---|---|
| J | F | M | A | M | J | J | A | S | O | N | D |
| 0 | 0 | 5 | 10 | 20 | 25 | 20 | 15 | 5 | 0 | 0 | 0 |
State 3
Invaded Grass State
The Invaded Grass State (3) transitioned from the either the Reference State (1) or the Degraded Native Grass State (2) and much of the native, warm-season tall- and midgrass and native cool-season grass components have been replaced by non-native, cool-season grasses. The management that results in the Invaded Grass State is typically heavy, continuous, seasonal grazing during the summer months but heavy, rotational grazing with inadequate growing season recovery time during the summer months can also cause this transition. Over time, repeated annual haying during the rapid growth period of warm-season tallgrasses with inadequate growing recovery periods will also cause this transition. Prolonged absence of grazing and fire may also result in a plant community that is dominated by non-native, cool-season grasses. The loss of warm-season tall- and midgrasses negatively impacts energy flow, nutrient cycling, and hydrologic function. Runoff is higher and infiltration is lower than the Reference State. This state is very resistant to change. Once this State is reached, restoration to the previous state will require an extended amount of time and will only be feasible if adequate remnant native grasses persist the plant community. The Invaded Grass State includes the Non-native Grass Community (3.1).
Dominant plant species
-
Kentucky bluegrass (Poa pratensis), grass
-
blue grama (Bouteloua gracilis), grass
-
Cuman ragweed (Ambrosia psilostachya), other herbaceous
Community 3.1
Non-Native Grass Community
The Non-Native Grass or Kentucky Bluegrass/Cuman Ragweed (Poa pratensis/Ambrosia psilostachya) Community (3.1) typically develops with heavy, continuous, seasonal, summer grazing but may also develop with heavy, rotational grazing during the summer months when plants are not allowed adequate growing season recovery time before re-grazing. Sustained heavy stocking rates during the summer months produce a plant community dominated by cool-season grasses and forbs. Kentucky bluegrass is a dominant component of the plant community and at least thirty percent of the annual production comes from Kentucky bluegrass or other non-native grasses. A Kentucky bluegrass dominated community may also develop in situations where herbivory and fire are absent for extended periods. Continuous and heavy grazing pressure will maintain this community in a sod-bound condition. Kentucky bluegrass, blue grama, Scribner's panicum, and sand dropseed are the dominant grasses. Other grasses or grass-likes include needleandthread, sedges, and cheatgrass. Forbs include tarragon, Cuman ragweed, Rocky Mountain beeplant, and thistles. The potential vegetative composition is 70 to 80 percent grasses and grass-like plants, 5 to 20 percent forbs, and 1 to 10 percent shrubs. As compared to the Reference Community (1.1), plant diversity has decreased. Forb richness and diversity has decreased. Warm-season tall- and midgrasses are either drastically reduced to trace amounts or are missing from the plant community. Blue grama, sand dropseed, and native cool-season grasses have increased as a proportion of the plant community. Sedges are present in the understory. Forbs and grazing resistant shrubs such as soapweed yucca and cacti have significantly increased. With the decline and loss of deeper-penetrating root systems, a compacted layer may form in the soil profile below the shallower replacement root systems. Soil erosion is low. The high density of short-rooted grasses decreases water infiltration resulting in an impaired hydrologic cycle. Due to the sod-forming nature of plants present and the corresponding high level of ground cover, this community is resistant to change.
Dominant plant species
-
Kentucky bluegrass (Poa pratensis), grass
-
Scribner's rosette grass (Dichanthelium oligosanthes var. scribnerianum), grass
-
blue grama (Bouteloua gracilis), grass
-
Cuman ragweed (Ambrosia psilostachya), other herbaceous
-
tarragon (Artemisia dracunculus), other herbaceous
-
Rocky Mountain beeplant (Cleome serrulata), other herbaceous
-
Texas croton (Croton texensis), other herbaceous
Figure 15. Annual production by plant type (representative values) or group (midpoint values)
Table 8. Annual production by plant type
| Plant type | Low (lb/acre) |
Representative value (lb/acre) |
High (lb/acre) |
|---|---|---|---|
| Grass/Grasslike | 555 | 740 | 920 |
| Forb | 40 | 110 | 185 |
| Shrub/Vine | 5 | 50 | 95 |
| Total | 600 | 900 | 1200 |
Figure 16. Plant community growth curve (percent production by month). NE6541, NE/SD Sandhills, Native Grass, Cool Seasons/Forbs. Cool-season dominant, warm-season subdominant, short & mid grasses.
| Jan | Feb | Mar | Apr | May | Jun | Jul | Aug | Sep | Oct | Nov | Dec |
|---|---|---|---|---|---|---|---|---|---|---|---|
| J | F | M | A | M | J | J | A | S | O | N | D |
| 0 | 0 | 5 | 10 | 30 | 25 | 15 | 5 | 5 | 5 | 0 | 0 |
State 4
Invaded Woody State
The Invaded Woody State (4) is the result of woody encroachment. Once the tree canopy cover reaches 15 percent with an average tree height exceeding five feet, the threshold to the Invaded Woody State has been crossed. Woody species are increasing due to the lack of prescribed fire, brush management, or other woody tree removal. Typical ecological impacts are a loss of native grasses, reduce diversity of functional and structural groups, reduced forage production, and reduced soil quality. Prescribed burning, wildfire, timber harvest and brush management will move the Invaded Woody State toward a grass dominated state. If the Invaded Woody State transitioned from Native/Invaded Grass State (2) or the Sodbusted State (3), the land cannot return to the Reference State (1) as the native plant community, soils, and hydrologic function had been too severely impacted prior to the woody encroachment to allow the return to the Reference State through woody species removal alone. The Invaded Woody State includes one community, the Invaded Woody Community (4.1).
Dominant plant species
-
eastern redcedar (Juniperus virginiana), tree
-
smooth sumac (Rhus glabra), shrub
-
needle and thread (Hesperostipa comata), grass
-
Kentucky bluegrass (Poa pratensis), grass
-
blue grama (Bouteloua gracilis), grass
Community 4.1
Invaded Woody Community
The Invaded Woody Community or Eastern Redcedar (Juniperus virginiana) Community (4.1) has at least 15 percent canopy cover consisting of trees generally 5 feet or taller. Encroaching trees are primarily eastern redcedar. Additional woody cover from deciduous trees and shrubs may be present. In the absence of fire and brush management, this ecological site is very susceptible to eastern redcedar seedling invasion, especially when adjacent to a seed source. Eastern redcedar can eventually dominate the site resulting in a closed canopy monoculture which drastically reduces forage production, and which has limited value for either livestock grazing or wildlife habitat. With long-term fire suppression, this plant community will develop extensive ladder fuels which can lead to a removal of most tree species with a wildfire. With properly managed intensive grazing, encroachment of deciduous trees will typically be minimal; however, this will not impact encroachment of coniferous species. The herbaceous component decreases proportionately in relation to the percent canopy cover, with the reduction being greater under a coniferous overstory. Eastern redcedar control can usually be accomplished with prescribed burning while the trees are six feet tall or less and fine fuel production is greater than 1,500 pounds per acres. Larger red cedars can also be controlled with prescribed burning, but successful application requires the use of specifically designed ignition and holding techniques (https://www.loesscanyonsburning group.com). Resprouting brush must be chemically treated immediately after mechanical removal to achieve effective treatment. The forb component will initially increase following tree removal. To prevent return to a woody dominated community, ongoing brush management such as hand cutting, chemical spot treatments, or periodic prescribed burning is required. This plant community is resistant to change and resilient given normal disturbances. In higher canopy cover situations, the soil erosion will increase in relation the plant community from which this plant community originated. The hydrologic function is also significantly altered under higher canopy cover. Infiltration is reduced and runoff is typically increased because of a lack of herbaceous cover and the rooting structure provided by the herbaceous species. Total annual production during an average year varies significantly, depending on the production level prior to encroachment and the percentage of canopy cover.
Dominant plant species
-
eastern redcedar (Juniperus virginiana), tree
-
smooth sumac (Rhus glabra), shrub
-
needle and thread (Hesperostipa comata ssp. comata), grass
-
blue grama (Bouteloua gracilis), grass
-
Kentucky bluegrass (Poa pratensis), grass
State 5
Sodbusted State
The threshold to the Sodbusted State (5) is crossed as a result of mechanical disturbance to facilitate production agriculture. If farming operations are suspended, the site can be seeded to native grasses resulting in the Reseeded Native Grass Community (5.1), be seeded to a tame pasture forage mixture resulting in the Seeded Pasture Community (5.2) or be abandoned with no seeding which will result in the Natural Reclamation Community (5.3). Permanent alterations of the soil, plant community, and hydrologic cycle make restoration to the Reference State (1) extremely difficult, if not impossible.
Community 5.1
Reseeded Native Grass Community
The Reseeded Native Grass Community (5.1) does not contain native remnants, and varies considerably depending upon the seed mixture, the degree of soil erosion, the age of the stand, fertility management, and past grazing management. Native rangeland and grasslands seeded to native species are ecologically different and should be managed separately. Factors such as functional group, species, stand density, and improved varieties all impact the production level and palatability of the seedings. Species diversity is often limited, and when grazed in conjunction with native rangelands, uneven forage utilization may occur. Total annual production during an average year varies significantly depending upon precipitation, management, and grass species seeded. Prescribed grazing including appropriate utilization levels, adequate growing-season recovery periods, and timing of grazing that favor the productivity, health, and vigor of the seeded species is required to maintain this community. Periodic prescribed burning and brush management may also be needed.
Community 5.2
Seeded Pasture Community
The Seeded Pasture Community (5.2) does not contain native remnants and varies considerably depending upon the extent of soil erosion, the species seeded, the quality of the stand that was established, the age of the stand, and management of the stand since establishment. There are several factors that make seeded tame pasture a different grazing resource than native rangeland and land seeded to a native grass mixture. Factors such as species selected, stand density, improved varieties, and harvest efficiency all impact production levels and palatability. Species diversity on seeded tame pasture is often limited to a few species. When seeded pasture and native rangelands or seeded pasture and seeded rangeland are in the same grazing unit, uneven forage utilization will occur. Improve forage utilization and stand longevity by managing this community separately from native rangelands or land seeded to native grass species. Total annual production during an average year varies significantly depending on the level of management and species seeded. Improved varieties of warm-season or cool-season grasses are recommended for optimum forage production. Fertilization, weed management, and prescribed grazing including appropriate utilization levels, adequate growing-season recovery periods, and timing of grazing that favor the productivity, health, and vigor of the seeded species are required to maintain this community. Periodic prescribed burning and brush management may also be needed.
Community 5.3
Natural Reclamation Community
The Natural Reclamation Community (5.3) consists of annual and perennial early successional species. Perennial threeawns, sand dropseed, and annual grasses are common species. These sites have been farmed and abandoned without being reseeded. Soil organic matter and carbon reserves are reduced, soil structure is changed, and a plowpan or compacted layer can form, which decreases water infiltration. Residual synthetic chemicals may remain from farming operations. In early successional stages, this community is not stable. The hazard of erosion is a resource concern. Total annual production during an average year varies significantly depending on the succession stage of the plant community and any management applied to the system.
Transition T1A
State 1 to 2
The Reference State (1) transitions to the Degraded Native Grass State (2) in response to long-term (greater than ten years), heavy, repeated defoliation of the key forage species by grazing or haying. This change typically occurs with long-term heavy, continuous season long grazing but heavy rotational grazing without adequate recovery periods may also cause this transition. The Reference State loses a significant proportion of warm-season, tall- and midgrasses and crosses a threshold to the Degraded Native Grass State. Deep rooted plants are replaced by shallow rooted, sod- forming grasses which tend to form root mats and water infiltration is reduced. Forage production and plant species diversity has declined. Initially, the plant community will be a mosaic, with shortgrass and mixed grass communities intermingled but as the management continues the plant community becomes dominated by warm-season shortgrasses and rhizomatous shortgrasses.
Transition T1B
State 1 to 3
The Reference State (1) transitions to the Invaded Grass State (2) in response to long-term (greater than ten years), heavy, repeated defoliation (grazing) of the key forage species during the summer months. This change typically occurs with long-term heavy, continuous season long grazing but heavy rotational grazing without adequate recovery periods may also cause this transition. Removal of livestock grazing for a long-term (more than 10 years) with no fire will also cause the plant community to transition to one dominated by non-native, cool-season grasses. The Reference State loses a significant proportion of warm-season grasses and crosses a threshold to the Degraded Native Grass State. Deep rooted plants are replaced by shallow rooted, non-native, sod-forming grasses which tend to form root mats and water infiltration is reduced. Forage production and plant species diversity has declined. Initially, the plant community will be a mosaic, native and non-native species intermingled but as the management continues the plant community becomes dominated by non-native grasses.
Transition T1C
State 1 to 4
Long-term (more than ten years) disruption of the natural fire regime and the encroachment of invasive exotic and native woody species with no woody species management can cause the Reference State (1) to transition to the Invaded Woody State (4).
Transition T1D
State 1 to 5
The Reference State (1) has been significantly altered by tillage to facilitate production agriculture. When the land is no longer cropped, the resulting state is the Sodbusted State (5). The disruption to the plant community, the soil, and the hydrology of the system prevent restoration to a true Reference State.
Restoration pathway R2A
State 2 to 1
Long-term (more than 15 years) prescribed grazing with adequate growing season recovery periods will move the Degraded Native Grass State (2) toward the Reference State (1). The amount of time required for, and feasibility of this restoration depends upon the abundance of warm-season tall- and midgrasses and cool-season bunch grasses remaining in the plant community. This restoration may not be feasible.
Transition T2A
State 2 to 3
The Degraded Native Grass State (2) transitions to the Invaded Grass State (3) in response to long-term (greater than ten years), heavy, repeated defoliation of the key forage species by grazing or haying. This change typically occurs with long-term heavy, continuous grazing during the summer months but heavy rotational grazing without adequate recovery periods may also cause this transition. As the Degraded Native Grass State loses a significant proportion of native grasses which are replaced by non-native grasses shallow rooted, sod- forming grasses begin to form root mats and water infiltration is reduced. Forage production and plant species diversity are substantially reduced. Initially, the plant community will be a mosaic, with native and non-native species intermingled but as the management continues the plant community becomes dominated by non-native grasses.
Transition T2B
State 2 to 4
Long-term (more than ten years) disruption of the natural fire regime and the encroachment of invasive exotic and native woody species with no woody species management can cause the Degraded Native Grass State (2) to transition to the Invaded Woody State (4).
Transition T2C
State 2 to 5
The Degraded Native Grass State (2) has been significantly altered by tillage to facilitate production agriculture. When the land is no longer cropped, the resulting state is the Sodbusted State (5). The disruption to the plant community, the soil, and the hydrology of the system prevent restoration to the Degraded Native Grass State.
Restoration pathway R3A
State 3 to 1
Long-term (more than 15 years) prescribed grazing with adequate growing season recovery periods may move the Invaded Grass State (3) toward the Reference State (1). The amount of time required for and feasibility of this restoration depends upon the abundance of warm-season tall- and midgrasses and cool-season bunch grasses remaining in the plant community. This restoration may not be feasible.
Restoration pathway R3B
State 3 to 2
Long-term (more than 15 years) prescribed grazing with adequate growing season recovery periods may move the Invaded Grass State (3) toward the Invaded Grass State (2). The feasibility of this restoration depends upon the abundance of native grasses remaining in the plant community. This restoration may not be feasible.
Transition T3A
State 3 to 4
Long-term (more than ten years) disruption of the natural fire regime and the encroachment of invasive exotic and native woody species with no woody species management can cause the Invaded Grass State (3) to transition to the Invaded Woody State (4).
Transition T3B
State 3 to 5
The Invaded Grass State (3) has been significantly altered by tillage to facilitate production agriculture. When the land is no longer cropped, the resulting state is the Sodbusted State (5). The disruption to the plant community, the soil, and the hydrology of the system prevent restoration to the Invaded Grass State.
Restoration pathway R4A
State 4 to 1
The Invaded Woody State (4) can be restored to the Reference State (1) through prescribed burning, wildfire, timber harvest, or brush management. The forb component may initially increase following tree removal. Ongoing brush management such as hand cutting, chemical spot treatments, or periodic prescribed burning is required to prevent a return to the Invaded Woody State. The heavier the existing canopy cover, the greater the energy input required to return to the Reference State. The amount of time required for the herbaceous vegetation of the Reference State to return depends upon the severity and duration of the encroachment. Land that transitioned to the Invaded Woody State from the Degraded Native Grass State (2), the Invaded Grass State (3), or the Sodbusted State (5) cannot be restored to the Reference State through the removal of woody species as the native plant community, soils, and hydrologic function have been too severely impacted for that restoration to occur with brush management alone.
Restoration pathway R4B
State 4 to 2
The Invaded Woody State (4) can be restored to the Degraded Native Grass State (2) through prescribed burning, wildfire, timber harvest, or brush management. The forb component may initially increase following tree removal. Ongoing brush management such as hand cutting, chemical spot treatments, or periodic prescribed burning is required to prevent a return to the Invaded Woody State. The heavier the existing canopy cover, the greater the energy input required to return to the Native/Invaded Grass State by management practices. Land that transitioned to the Invaded Woody State from the Degraded Native Grass State cannot be restored to the Reference State (1) through the removal of woody species as the native plant community, soils, and hydrologic function have been too severely impacted for that restoration to occur with removal of brush alone.
Restoration pathway R4C
State 4 to 3
The Invaded Woody State (4) can be restored to the Invaded Grass State (3) through prescribed burning, wildfire, timber harvest, or brush management. The forb component may initially increase following tree removal. Ongoing brush management such as hand cutting, chemical spot treatments, or periodic prescribed burning is required to prevent a return to the Invaded Woody State. The heavier the existing canopy cover, the greater the energy input required to return to the Invaded Grass State. Land that transitioned to the Invaded Woody State from the Invaded Grass State cannot be restored to the Reference State (1) or the Degraded Native Grass State (2) through the removal of woody species alone as the native plant community, soils, and hydrologic function have been too severely impacted for that restoration to occur with removal of woody species.
Restoration pathway R4D
State 4 to 5
The Invaded Woody State (4) can be restored to the Sodbusted State (5) through prescribed burning, wildfire, timber harvest, or brush management. The forb component may initially increase following tree removal. Ongoing brush management such as hand cutting, chemical spot treatments, or periodic prescribed burning is required to prevent a return to the Invaded Woody State. The heavier the existing canopy cover, the greater the energy input required to return to the Sodbusted State. The amount of time required for this restoration to occur depends on the severity and duration of the encroachment. Land that transitioned to the Invaded Woody State from the Sodbusted State cannot be restored to the Reference State (1) or the Degraded Native Grass State (2) through the removal of woody species as the native plant community, soils, and hydrologic function have been too severely impacted for that restoration to occur.
Transition T5A
State 5 to 4
Long-term (more than ten years) disruption of the natural fire regime and the encroachment of invasive exotic and native woody species with no woody species management can cause the Sodbusted State (5) to transition to the Invaded Woody State (4).
Additional community tables
Table 9. Community 1.1 plant community composition
| Group | Common name | Symbol | Scientific name | Annual production (lb/acre) | Foliar cover (%) | |
|---|---|---|---|---|---|---|
|
Grass/Grasslike
|
||||||
| 1 | Warm-Season Tallgrass | 720–1440 | ||||
| prairie sandreed | CALO | Calamovilfa longifolia | 360–720 | – | ||
| sand bluestem | ANHA | Andropogon hallii | 360–720 | – | ||
| switchgrass | PAVI2 | Panicum virgatum | 0–240 | – | ||
| big bluestem | ANGE | Andropogon gerardii | 0–240 | – | ||
| Indiangrass | SONU2 | Sorghastrum nutans | 0–120 | – | ||
| Grass, perennial | 2GP | Grass, perennial | 0–120 | – | ||
| 2 | Warm-Season Midgrass | 240–600 | ||||
| little bluestem | SCSC | Schizachyrium scoparium | 240–480 | – | ||
| sideoats grama | BOCU | Bouteloua curtipendula | 0–120 | – | ||
| sand dropseed | SPCR | Sporobolus cryptandrus | 0–120 | – | ||
| sand lovegrass | ERTR3 | Eragrostis trichodes | 0–120 | – | ||
| purple lovegrass | ERSP | Eragrostis spectabilis | 0–120 | – | ||
| Grass, perennial | 2GP | Grass, perennial | 0–48 | – | ||
| 3 | Warm-Season Shortgrass | 120–360 | ||||
| blue grama | BOGR2 | Bouteloua gracilis | 120–360 | – | ||
| hairy grama | BOHI2 | Bouteloua hirsuta | 0–120 | – | ||
| Fendler threeawn | ARPUL | Aristida purpurea var. longiseta | 0–120 | – | ||
| thin paspalum | PASE5 | Paspalum setaceum | 0–120 | – | ||
| Grass, perennial | 2GP | Grass, perennial | 0–24 | – | ||
| 4 | Cool-Season Rhizomatous Grass | 0–120 | ||||
| western wheatgrass | PASM | Pascopyrum smithii | 0–120 | – | ||
| 5 | Cool-Season Bunchgrass | 360–600 | ||||
| needle and thread | HECOC8 | Hesperostipa comata ssp. comata | 240–480 | – | ||
| Indian ricegrass | ACHY | Achnatherum hymenoides | 0–120 | – | ||
| Scribner's rosette grass | DIOLS | Dichanthelium oligosanthes var. scribnerianum | 0–120 | – | ||
| prairie Junegrass | KOMA | Koeleria macrantha | 0–120 | – | ||
| fall rosette grass | DIWI5 | Dichanthelium wilcoxianum | 0–48 | – | ||
| Grass, perennial | 2GP | Grass, perennial | 0–36 | – | ||
| 6 | Grass-like | 0–120 | ||||
| sedge | CAREX | Carex | 0–120 | – | ||
|
Forb
|
||||||
| 7 | Forb | 120–240 | ||||
| Forb, perennial | 2FP | Forb, perennial | 0–120 | – | ||
| Forb, annual | 2FA | Forb, annual | 0–48 | – | ||
| Cuman ragweed | AMPS | Ambrosia psilostachya | 0–48 | – | ||
| tarragon | ARDR4 | Artemisia dracunculus | 0–48 | – | ||
| white sagebrush | ARLU | Artemisia ludoviciana | 0–24 | – | ||
| thistle | CIRSI | Cirsium | 0–24 | – | ||
| stiff sunflower | HEPA19 | Helianthus pauciflorus | 0–24 | – | ||
| scaly blazing star | LISQ | Liatris squarrosa | 0–24 | – | ||
| dotted blazing star | LIPU | Liatris punctata | 0–24 | – | ||
| rush skeletonplant | LYJU | Lygodesmia juncea | 0–24 | – | ||
| stiff goldenrod | OLRI | Oligoneuron rigidum | 0–24 | – | ||
| aromatic aster | SYOB | Symphyotrichum oblongifolium | 0–24 | – | ||
| silverleaf Indian breadroot | PEAR6 | Pediomelum argophyllum | 0–24 | – | ||
| Carolina puccoon | LICA13 | Lithospermum caroliniense | 0–24 | – | ||
| palmleaf Indian breadroot | PEDI9 | Pediomelum digitatum | 0–24 | – | ||
| broadbeard beardtongue | PEAN4 | Penstemon angustifolius | 0–24 | – | ||
| white penstemon | PEAL2 | Penstemon albidus | 0–24 | – | ||
| upright prairie coneflower | RACO3 | Ratibida columnifera | 0–24 | – | ||
| Missouri goldenrod | SOMI2 | Solidago missouriensis | 0–24 | – | ||
| prairie spiderwort | TROC | Tradescantia occidentalis | 0–24 | – | ||
|
Shrub/Vine
|
||||||
| 8 | Shrub | 24–120 | ||||
| leadplant | AMCA6 | Amorpha canescens | 0–48 | – | ||
| Shrub (>.5m) | 2SHRUB | Shrub (>.5m) | 0–48 | – | ||
| rose | ROSA5 | Rosa | 0–48 | – | ||
| western sandcherry | PRPUB | Prunus pumila var. besseyi | 0–24 | – | ||
| soapweed yucca | YUGL | Yucca glauca | 0–24 | – | ||
| brittle pricklypear | OPFR | Opuntia fragilis | 0–24 | – | ||
Table 10. Community 1.2 plant community composition
| Group | Common name | Symbol | Scientific name | Annual production (lb/acre) | Foliar cover (%) | |
|---|---|---|---|---|---|---|
|
Grass/Grasslike
|
||||||
| 1 | Warm-Season Tallgrass | 500–1000 | ||||
| prairie sandreed | CALO | Calamovilfa longifolia | 400–600 | – | ||
| sand bluestem | ANHA | Andropogon hallii | 200–400 | – | ||
| switchgrass | PAVI2 | Panicum virgatum | 100–300 | – | ||
| big bluestem | ANGE | Andropogon gerardii | 0–200 | – | ||
| Indiangrass | SONU2 | Sorghastrum nutans | 0–100 | – | ||
| Grass, perennial | 2GP | Grass, perennial | 0–40 | – | ||
| 2 | Warm-Season Midgrass | 300–700 | ||||
| little bluestem | SCSC | Schizachyrium scoparium | 200–600 | – | ||
| sand dropseed | SPCR | Sporobolus cryptandrus | 0–200 | – | ||
| sand lovegrass | ERTR3 | Eragrostis trichodes | 0–100 | – | ||
| purple lovegrass | ERSP | Eragrostis spectabilis | 0–100 | – | ||
| Grass, perennial | 2GP | Grass, perennial | 0–40 | – | ||
| 3 | Warm-Season Shortgrass | 100–300 | ||||
| blue grama | BOGR2 | Bouteloua gracilis | 100–300 | – | ||
| thin paspalum | PASE5 | Paspalum setaceum | 0–100 | – | ||
| Grass, perennial | 2GP | Grass, perennial | 0–40 | – | ||
| 4 | Cool-Season Rhizomatous Grass | 0–200 | ||||
| western wheatgrass | PASM | Pascopyrum smithii | 0–200 | – | ||
| Grass, perennial | 2GP | Grass, perennial | 0–40 | – | ||
| 5 | Cool-Season Bunchgrass | 100–400 | ||||
| needle and thread | HECOC8 | Hesperostipa comata ssp. comata | 100–400 | – | ||
| prairie Junegrass | KOMA | Koeleria macrantha | 0–100 | – | ||
| Scribner's rosette grass | DIOLS | Dichanthelium oligosanthes var. scribnerianum | 0–100 | – | ||
| Grass, perennial | 2GP | Grass, perennial | 0–60 | – | ||
| 6 | Grass-like | 0–200 | ||||
| sedge | CAREX | Carex | 0–200 | – | ||
| 9 | Non-Native Cool-Season Grass | 0–100 | ||||
| Kentucky bluegrass | POPR | Poa pratensis | 0–100 | – | ||
| cheatgrass | BRTE | Bromus tectorum | 0–100 | – | ||
| Grass, annual | 2GA | Grass, annual | 0–100 | – | ||
| Grass, perennial | 2GP | Grass, perennial | 0–100 | – | ||
|
Forb
|
||||||
| 7 | Forb | 100–200 | ||||
| Cuman ragweed | AMPS | Ambrosia psilostachya | 0–40 | – | ||
| Forb, perennial | 2FP | Forb, perennial | 0–40 | – | ||
| tarragon | ARDR4 | Artemisia dracunculus | 0–20 | – | ||
| white sagebrush | ARLU | Artemisia ludoviciana | 0–20 | – | ||
| thistle | CIRSI | Cirsium | 0–20 | – | ||
| dotted blazing star | LIPU | Liatris punctata | 0–20 | – | ||
| scaly blazing star | LISQ | Liatris squarrosa | 0–20 | – | ||
| rush skeletonplant | LYJU | Lygodesmia juncea | 0–20 | – | ||
| silverleaf Indian breadroot | PEAR6 | Pediomelum argophyllum | 0–20 | – | ||
| palmleaf Indian breadroot | PEDI9 | Pediomelum digitatum | 0–20 | – | ||
| beardtongue | PENST | Penstemon | 0–20 | – | ||
| upright prairie coneflower | RACO3 | Ratibida columnifera | 0–20 | – | ||
| Missouri goldenrod | SOMI2 | Solidago missouriensis | 0–20 | – | ||
| prairie spiderwort | TROC | Tradescantia occidentalis | 0–20 | – | ||
| Forb, annual | 2FA | Forb, annual | 0–20 | – | ||
|
Shrub/Vine
|
||||||
| 8 | Shrub | 20–200 | ||||
| leadplant | AMCA6 | Amorpha canescens | 0–100 | – | ||
| rose | ROSA5 | Rosa | 0–60 | – | ||
| soapweed yucca | YUGL | Yucca glauca | 0–40 | – | ||
| Shrub (>.5m) | 2SHRUB | Shrub (>.5m) | 0–40 | – | ||
| pricklypear | OPUNT | Opuntia | 0–20 | – | ||
| western sandcherry | PRPUB | Prunus pumila var. besseyi | 0–20 | – | ||
Table 11. Community 2.1 plant community composition
| Group | Common name | Symbol | Scientific name | Annual production (lb/acre) | Foliar cover (%) | |
|---|---|---|---|---|---|---|
|
Grass/Grasslike
|
||||||
| 1 | Warm-Season Tallgrass | 70–210 | ||||
| prairie sandreed | CALO | Calamovilfa longifolia | 70–210 | – | ||
| switchgrass | PAVI2 | Panicum virgatum | 0–70 | – | ||
| sand bluestem | ANHA | Andropogon hallii | 0–70 | – | ||
| big bluestem | ANGE | Andropogon gerardii | 0–70 | – | ||
| Grass, perennial | 2GP | Grass, perennial | 0–28 | – | ||
| 2 | Warm-Season Midgrass | 70–350 | ||||
| sand dropseed | SPCR | Sporobolus cryptandrus | 70–210 | – | ||
| purple lovegrass | ERSP | Eragrostis spectabilis | 0–210 | – | ||
| little bluestem | SCSC | Schizachyrium scoparium | 0–140 | – | ||
| 3 | Warm-Season Shortgrass | 280–560 | ||||
| blue grama | BOGR2 | Bouteloua gracilis | 280–490 | – | ||
| Grass, perennial | 2GP | Grass, perennial | 0–82 | – | ||
| hairy grama | BOHI2 | Bouteloua hirsuta | 0–70 | – | ||
| thin paspalum | PASE5 | Paspalum setaceum | 0–70 | – | ||
| mat sandbur | CELO3 | Cenchrus longispinus | 0–70 | – | ||
| 4 | Cool-Season Rhizomatous Grass | 70–210 | ||||
| western wheatgrass | PASM | Pascopyrum smithii | 70–210 | – | ||
| Grass, perennial | 2GP | Grass, perennial | 0–28 | – | ||
| 5 | Cool-Season Bunchgrass | 210–490 | ||||
| Scribner's rosette grass | DIOLS | Dichanthelium oligosanthes var. scribnerianum | 70–350 | – | ||
| needle and thread | HECOC8 | Hesperostipa comata ssp. comata | 70–210 | – | ||
| prairie Junegrass | KOMA | Koeleria macrantha | 0–140 | – | ||
| Grass, perennial | 2GP | Grass, perennial | 0–70 | – | ||
| 6 | Grass-like | 70–210 | ||||
| sedge | CAREX | Carex | 70–210 | – | ||
| 9 | Non-Native Cool-Season Grass | 0–210 | ||||
| Kentucky bluegrass | POPR | Poa pratensis | 0–210 | – | ||
| Grass, perennial | 2GP | Grass, perennial | 0–210 | – | ||
| cheatgrass | BRTE | Bromus tectorum | 0–140 | – | ||
| Grass, annual | 2GA | Grass, annual | 0–70 | – | ||
|
Forb
|
||||||
| 7 | Forb | 70–140 | ||||
| Cuman ragweed | AMPS | Ambrosia psilostachya | 0–42 | – | ||
| tarragon | ARDR4 | Artemisia dracunculus | 0–28 | – | ||
| Forb, annual | 2FA | Forb, annual | 0–28 | – | ||
| Forb, perennial | 2FP | Forb, perennial | 0–28 | – | ||
| white sagebrush | ARLU | Artemisia ludoviciana | 0–14 | – | ||
| thistle | CIRSI | Cirsium | 0–14 | – | ||
| Rocky Mountain beeplant | CLSE | Cleome serrulata | 0–14 | – | ||
| Texas croton | CRTE4 | Croton texensis | 0–14 | – | ||
| common sunflower | HEAN3 | Helianthus annuus | 0–14 | – | ||
| prairie sunflower | HEPE | Helianthus petiolaris | 0–14 | – | ||
| dotted blazing star | LIPU | Liatris punctata | 0–14 | – | ||
| scaly blazing star | LISQ | Liatris squarrosa | 0–14 | – | ||
| silverleaf Indian breadroot | PEAR6 | Pediomelum argophyllum | 0–14 | – | ||
| beardtongue | PENST | Penstemon | 0–14 | – | ||
| upright prairie coneflower | RACO3 | Ratibida columnifera | 0–14 | – | ||
| Missouri goldenrod | SOMI2 | Solidago missouriensis | 0–14 | – | ||
| prairie spiderwort | TROC | Tradescantia occidentalis | 0–14 | – | ||
| hoary verbena | VEST | Verbena stricta | 0–14 | – | ||
|
Shrub/Vine
|
||||||
| 8 | Shrub | 14–140 | ||||
| Shrub (>.5m) | 2SHRUB | Shrub (>.5m) | 0–70 | – | ||
| pricklypear | OPUNT | Opuntia | 0–14 | – | ||
| soapweed yucca | YUGL | Yucca glauca | 0–14 | – | ||
Table 12. Community 3.1 plant community composition
| Group | Common name | Symbol | Scientific name | Annual production (lb/acre) | Foliar cover (%) | |
|---|---|---|---|---|---|---|
|
Grass/Grasslike
|
||||||
| 1 | Warm-Season Tallgrass | 0–45 | ||||
| prairie sandreed | CALO | Calamovilfa longifolia | 0–45 | – | ||
| Grass, perennial | 2GP | Grass, perennial | 0–18 | – | ||
| 2 | Warm-Season Midgrass | 90–180 | ||||
| sand dropseed | SPCR | Sporobolus cryptandrus | 90–180 | – | ||
| purple lovegrass | ERSP | Eragrostis spectabilis | 0–90 | – | ||
| Grass, perennial | 2GP | Grass, perennial | 0–18 | – | ||
| 3 | Warm-Season Shortgrass | 90–225 | ||||
| blue grama | BOGR2 | Bouteloua gracilis | 90–225 | – | ||
| hairy grama | BOHI2 | Bouteloua hirsuta | 0–90 | – | ||
| mat sandbur | CELO3 | Cenchrus longispinus | 0–45 | – | ||
| Grass, perennial | 2GP | Grass, perennial | 0–18 | – | ||
| Grass, annual | 2GA | Grass, annual | 0–18 | – | ||
| 4 | Cool-Season Rhizomatous Grass | 0–90 | ||||
| western wheatgrass | PASM | Pascopyrum smithii | 0–90 | – | ||
| 5 | Cool-Season Bunchgrass | 225–315 | ||||
| Scribner's rosette grass | DIOLS | Dichanthelium oligosanthes var. scribnerianum | 135–225 | – | ||
| needle and thread | HECOC8 | Hesperostipa comata ssp. comata | 45–135 | – | ||
| prairie Junegrass | KOMA | Koeleria macrantha | 0–45 | – | ||
| Grass, perennial | 2GP | Grass, perennial | 0–18 | – | ||
| 6 | Grass-like | 45–135 | ||||
| sedge | CAREX | Carex | 45–135 | – | ||
| 9 | Non-Native Cool-Season Grass | 45–270 | ||||
| Kentucky bluegrass | POPR | Poa pratensis | 45–180 | – | ||
| cheatgrass | BRTE | Bromus tectorum | 0–180 | – | ||
| Grass, perennial | 2GP | Grass, perennial | 0–180 | – | ||
| Grass, annual | 2GA | Grass, annual | 0–90 | – | ||
|
Forb
|
||||||
| 7 | Forb | 45–180 | ||||
| Cuman ragweed | AMPS | Ambrosia psilostachya | 0–45 | – | ||
| tarragon | ARDR4 | Artemisia dracunculus | 0–45 | – | ||
| thistle | CIRSI | Cirsium | 0–27 | – | ||
| Rocky Mountain beeplant | CLSE | Cleome serrulata | 0–27 | – | ||
| Texas croton | CRTE4 | Croton texensis | 0–27 | – | ||
| common sunflower | HEAN3 | Helianthus annuus | 0–18 | – | ||
| Forb, annual | 2FA | Forb, annual | 0–18 | – | ||
| Forb, perennial | 2FP | Forb, perennial | 0–18 | – | ||
| rush skeletonplant | LYJU | Lygodesmia juncea | 0–9 | – | ||
| silverleaf Indian breadroot | PEAR6 | Pediomelum argophyllum | 0–9 | – | ||
| beardtongue | PENST | Penstemon | 0–9 | – | ||
| Missouri goldenrod | SOMI2 | Solidago missouriensis | 0–9 | – | ||
| hoary verbena | VEST | Verbena stricta | 0–9 | – | ||
|
Shrub/Vine
|
||||||
| 8 | Shrub | 9–90 | ||||
| pricklypear | OPUNT | Opuntia | 0–45 | – | ||
| Shrub (>.5m) | 2SHRUB | Shrub (>.5m) | 0–45 | – | ||
| soapweed yucca | YUGL | Yucca glauca | 0–18 | – | ||
Interpretations
Animal community
LIVESTOCK - GRAZING INTERPRETATIONS:
Grazing by domestic livestock is one of the major income-producing industries in the area. Rangeland in this area may provide year-long forage for cattle, sheep, or horses. During the dormant period, the protein levels of the forage may be lower than the minimum needed to meet livestock (primarily cattle and sheep) requirements. The following table lists suggested stocking rates for cattle under continuous season-long grazing under normal growing conditions. These are conservative estimates that should be used only as guidelines in the initial stages of the conservation planning process. Often, the current plant composition does not entirely match any particular plant community (as described in this ecological site description). Because of this, a field visit is recommended, in all cases, to document plant composition and production. More precise carrying capacity estimates should eventually be calculated using this information along with animal preference data, particularly when grazers other than cattle are involved. With consultation of the land manager, more intensive
grazing management may result in improved harvest efficiencies and increased carrying capacity.
Production and Carrying Capacity*
►Reference Community (1.1)
Average Production (lb./acre, air-dry): 2,400
Stocking Rate (AUM/acre): 0.66
►At-Risk Community (1.2)
Average Production (lb./acre, air-dry): 2,000
Stocking Rate (AUM/acre): 0.55
►Native Cool-Season/Warm-Season Shortgrass Community (2.1)
Average Production (lb./acre, air-dry): 1,400
Stocking Rate (AUM/acre): 0.38
►Non-Native Grass Community (3.1)
Average Production (lb./acre, air-dry): 900
Stocking Rate (AUM/acre): 0.25
*Based upon the following conditions: continuous season-long grazing by cattle under average growing conditions, 25 percent harvest efficiency. Air dry forage requirements based on 3 percent of animal body weight, or 912 lbs/AU/month.
WILDLIFE INTERPRETATIONS:
The Sandhills Prairie ecosystem consists of diverse grassland habitats interspersed with varying densities of Sandhills lakes and limited woody riparian corridors. The majority of this ecosystem is intact. These habitats historically provided critical life cycle components for the grassland birds, prairie dogs, and herds of roaming bison, elk, and pronghorn. Bobcats, wolves, and mountain lions occupied the apex predator niche. Diverse populations of small mammals and insects still provide a bountiful prey base for raptors and omnivores such as coyotes, foxes, raccoons, and opossums. In addition, a wide variety of reptiles and amphibians thrive in this landscape.
The Sandhills Prairie was a disturbance-driven ecosystem with fire, herbivory, and climate functioning as the primary disturbances. Following European settlement, elimination of fire and overgrazing altered the appearance and functionality of the ecosystem. Bison and prairie dogs were historically keystone species, but free-roaming bison herds have been extirpated in this region. The loss of bison and fire as ecological drivers influenced the character of the remaining native grasslands and the habitats that they provide. Fragmentation in MLRA 65 is limited and area sensitive grassland birds such as greater prairie chicken and sharp-tailed grouse continue to thrive here. The mosaic of sites continues to provide habitat for species requiring unfragmented grasslands, providing upland nesting habitat for grassland birds and game birds, nesting and escape cover for waterfowl, forbs and insects for brood-rearing habitat, and a forage source for small and large herbivores.
In the absence of fire and grazing, heavy litter buildup can occur on this site hindering the movement of young birds, especially quail and prairie chickens. Increased litter buildup results in decreased forb abundance and diversity and an accompanying decrease in insects, a critical food source for young birds. Introduced species such as cheatgrass, Kentucky bluegrass, and introduced forbs may be present but degradation of the biotic integrity from non-native species in this precipitation zone on ecological site is limited.
Disruption of the natural fire regime and accompanying woody encroachment is the greatest threat to ecosystem dynamics in this MLRA. Lack of fire facilitates tree and shrub encroachment degrades grassland habitats and creates habitats that favor generalist species such as American robin and mourning dove. Woody species provide perches for raptors, increasing the predation mortality on native bird populations. Woody encroachment is most severe in the eastern half of the MLRA but is a threat across the MLRA.
Hydrological functions
Water is the principal factor limiting forage production on well drained portions of the Sandy 17-22 PZ ecological site. Normal rainfall is limited to 17 to 22 inches per year. Soils on this site are in Hydrologic Soil Group A and B. Some areas have high water tables. On well drained portions of this site, infiltration potential is high. On well drained areas, significant runoff is expected to occur only during intense storms (refer to Section 4, NRCS National Engineering Handbook for runoff quantities and hydrologic curves).
For the interpretive plant community, rills and gullies should not typically be present. Water flow patterns should be barely distinguishable if at all present. Pedestals are only slightly present in association with bunchgrasses such as little bluestem. Litter typically falls in place, and signs of movement are not common. Chemical and physical crusts are rare to non-existent. Cryptogamic crusts are present but only cover 1-2 percent of the soil surface. Overall, this site has the appearance of being very stable and productive.
Recreational uses
This site provides hunting opportunities for upland game species. The wide variety of plants which bloom from spring until fall have an esthetic value that appeals to visitors.
Wood products
No appreciable wood products are present on the site.
Other products
Seed harvest of native plant species can provide additional income on this site.
Other information
Revision Notes: “This PROVISIONAL ecological site concept has been through the Quality Control and Quality Assurance processes to ensure that the site meets the NESH standards for a provisional ecological site that provides basic compiled information in one location. This site should not be considered an Approved ESD until further data entry and editing is completed.
Site Development and Testing Plan:
Future work is needed to validate the information in this Provisional Ecological Site Description. Additional data collection and evaluation may also be needed to develop this ESD to the Approved, then Correlated level. This could include field activities to collect low, medium and high intensity sampling, soil correlations, and analysis of that data. Field reviews of the project plan should be done by soil scientists and vegetation specialists. A final field review, peer review, quality control, and quality assurance reviews of the ESD will be needed to produce the final document. Annual reviews of the Project Plan are to be conducted by the Ecological Site Technical Team. The project plan is ES-R065XY013NE - MLRA 65.
Supporting information
Inventory data references
Information presented here has been derived from NRCS clipping data and other inventory data. Field observations from range trained personnel was also used. Those involved in developing this site include Dave Cook, Rangeland Management Specialist, NRCS; Dwight Hale, Engineer, NRCS; Sheila Luoma, Resource Conservationist, NRCS; Marla Shelbourn, Rangeland Management Specialist, NRCS; Dave Steffen, Rangeland Management Specialist, NRCS.
There are 15 SCS-RANGE-417 records from Cherry, Grant, Keith, Lincoln, Logan, Sheridan, Thomas, and Todd counties. The sample period was from 1968 to 1983.
Other references
Bleed, A. S., Flowerday, C. A., 1998. An Atlas of the Sand Hills. Conservation and Survey Division, Institute of Agriculture and Natural Resources, University of Nebraska-Lincoln.
U.S. Department of Agriculture, Natural Resources Conservation Service. 2003. National Range and Pasture Handbook. (https://www.nrcs.usda.gov/national-range-and-pasture-handbook)
U.S. Department of Agriculture, Natural Resources Conservation Service. National Water and Climate Center. (http://www.wcc.nrcs.usda.gov/climate).
U.S. Department of Agriculture, Natural Resources Conservation Service. 2021b. National Soil Information System. (https://www.nrcs.usda.gov/resources/education-and-teaching
-materials/national-soil-information-system-nasis).
U.S. Department of Agriculture, Natural Resources Conservation Service. 2021c. National soil survey handbook, title 430-VI. (http://soils.usda.gov/technical/handbook/). Soil Survey Staff. 2021.
Web soil survey. U.S. Department of Agriculture, Natural Resources Conservation Service. (https://websoilsurvey.sc.egov.usda.gov/) USDA, NRCS. 2023.
The PLANTS Database (http://plants.usda.gov, 12/27/2023). National Plant Data Team, Greensboro, NC USA.
USDA, NRCS, various published Soil Surveys
Contributors
Kim Stine
Doug Whisenhunt
Nadine Bishop
Approval
Suzanne Mayne-Kinney, 2/04/2025
Rangeland health reference sheet
Interpreting Indicators of Rangeland Health is a qualitative assessment protocol used to determine ecosystem condition based on benchmark characteristics described in the Reference Sheet. A suite of 17 (or more) indicators are typically considered in an assessment. The ecological site(s) representative of an assessment location must be known prior to applying the protocol and must be verified based on soils and climate. Current plant community cannot be used to identify the ecological site.
| Author(s)/participant(s) | Original Author: Stan Boltz. Version V participants: Dave Cook, Emily Helms, Jeff Nichols, Myra Richardson, Nadine Bishop |
|---|---|
| Contact for lead author | Jeff Nichols: jeffrey.nichols@usda.gov |
| Date | 11/30/2024 |
| Approved by | Suzanne Mayne-Kinney |
| Approval date | |
| Composition (Indicators 10 and 12) based on | Annual Production |
Indicators
-
Number and extent of rills:
None. Rills are not expected on this site. -
Presence of water flow patterns:
None. Water flow patterns are not expected on this site. -
Number and height of erosional pedestals or terracettes:
None. Erosional pedestals or terracettes are not expected. -
Bare ground from Ecological Site Description or other studies (rock, litter, lichen, moss, plant canopy are not bare ground):
Bare ground is typically 5 percent or less. Multi-year drought and/or wildfire can increase bare ground to 10 percent for up to two years following the disturbance.
Bare ground is exposed mineral soil that is not covered by vegetation (basal and/or foliar canopy), standing dead vegetation, gravel/rock, and visible biological crust (e.g., lichen, mosses, algae). -
Number of gullies and erosion associated with gullies:
None. Gullies are not expected on this site. -
Extent of wind scoured, blowouts and/or depositional areas:
None. Wind-scoured areas and depositional areas are not expected on this site. -
Amount of litter movement (describe size and distance expected to travel):
Litter should fall in place. Slight amount of movement of fine litter from water is possible, but not normal. Litter movement from wind is not expected. -
Soil surface (top few mm) resistance to erosion (stability values are averages - most sites will show a range of values):
Soil stability ratings should typically be 5 to 6, normally 6. Surface organic matter adheres to the soil surface. Soil surface fragments will typically retain structure indefinitely when dipped in distilled water.
Surface erosion by water rarely occurs due to rapid infiltration, but surface may be susceptible to wind erosion when vegetative cover is reduced due to multi-year drought, wildfire, or multi-year heavy grazing. Biological crusts may be present and may serve to provide resistance to erosion. -
Soil surface structure and SOM content (include type of structure and A-horizon color and thickness):
The A-horizon should be 3 to 10 inches (10-25 cm) thick, with the deeper A-horizon occurring on interdunes and nearly level landscape positions. Soil colors range from grayish brown, dark grayish brown, to dark gray (values of 4 to 5) when dry and very dark grayish brown, dark grayish brown, or very dark brown (values of 2 to 3) when moist. Structure is typically granular.
The major soil series correlated to this ecological site include Dunday, Duda, Sandose, McKelvie, Vetal, and Anselmo. Other correlated soils include Valentine, Jansen, Mullen, Tuthill, Calamus, Ringgold, Busher, Birdwood, Pivot, ad Doger. -
Effect of community phase composition (relative proportion of different functional groups) and spatial distribution on infiltration and runoff:
The functional/structural groups provide a combination of rooting depths and structure which positively influences infiltration. Combination of shallow and deep rooted species (rhizomatous, warm-season tall- and midgrasses and tufted perennial cool season grasses) with fine and coarse roots positively influences infiltration.
The expected composition of the plant community is 80 to 90 percent perennial grasses and grass-likes, 5 to 10 percent forbs, and 1 to 5 percent shrubs. The perennial grass and grass-like component is made up of warm-season tallgrasses (30-60%); warm-season midgrasses (10-25%), cool-season grasses (15-25%); warm-season shortgrasses (5-15%); and grass-likes (0-5%). -
Presence and thickness of compaction layer (usually none; describe soil profile features which may be mistaken for compaction on this site):
None. Compaction layers should not be present. -
Functional/Structural Groups (list in order of descending dominance by above-ground annual-production or live foliar cover using symbols: >>, >, = to indicate much greater than, greater than, and equal to):
Dominant:
Phase 1.1
1. Native, perennial, warm-season, tallgrass, 720-1440 #/ac, 30-60%, 2 species minimum: big bluestem, sand bluestem, Indiangrass, prairie sandreed, switchgrass.
Phase 1.2
1. Native, perennial, warm-season, tallgrass, 500-1000 #/ac, 25-50%, (3 species minimum): sand bluestem, prairie sandreed, switchgrass.
2. Native, perennial, warm-season midgrass, 300-700 #/ac, 15-35%,1 species minimum: little bluestem, sand dropseed, sand lovegrass, purple lovegrass.Sub-dominant:
Phase 1.1
1. Native, perennial, cool-season bunchgrass, 360-600 #/ac, 15-25% (1 species minimum): needle and thread, Scribner rosettegrass, fall rosettegrass, prairie Junegrass.
2. Native, perennial, warm-season midgrass, 240-600 #/ac, 10-25% (1 species minimum): little bluestem, sideoats grama, sand dropseed, sand lovegrass, purple lovegrass.
3. Native, perennial, warm-season shortgrass, 120-360 #/ac, 5-15% (1 species minimum): blue grama, hairy grama, Fendler threeawn, thin paspalum.
Phase 1.2
1. Native, perennial, cool-season bunchgrass, 100-400 #/ac, 5-20%, 1 species minimum: needle and thread, Indian ricegrass, prairie Junegrass.
2. Native, perennial, warm-season shortgrass, 100-300 #/ac, 5-15%, 1 species minimum: blue grama, sandhill muhly.Other:
Minor - Phase 1.1
1. Native, perennial and annual forbs, 120-240 #/ac, 5-10%: forbs present vary from location to location.
2. Shrubs, 24-120 #/ac, 1-5%: leadplant, brittle pricklypear, rose, western sandcherry, soapweed yucca.
3. Native, perennial, cool-season rhizomatous grass, 0-120 #/ac, 0-5%: western wheatgrass.
4. Grass-like, 0-120 #/ac, 0-5%: sedges.
Minor - Phase 1.2
1. Native, perennial and annual forbs, 100-200 #/ac, 5-10%: forbs present vary from location to location.
2. Shrubs, 20-200 #/ac, 1-10%: leadplant, pricklypear, rose, western sandcherry, soapweed yucca.
3. Native, perennial, cool-season, rhizomatous grasses, 0-200 #/ac, 0-10%: western wheatgrass.
4. Grass-likes, 0-200 #/ac, 0-10%: sedges.
5. Non-native, cool-season grass, 0-100 #/ac, 0-5%: Kentucky bluegrass, cheatgrass.Additional:
The Reference Community (1.1) includes eight functional/structural groups which are in order of relative abundance native, perennial, warm-season tallgrass; native perennial, cool-season bunchgrass; native, perennial, warm-season midgrass; native perennial, warm-season shortgrass; forb; shrub; native, perennial, cool-season rhizomatous grass=grass-like.
The At-Risk Community (1.2) includes nine functional/structural groups which are in order of relative abundance native, perennial, warm-season tallgrass; native, perennial, warm-season midgrass; native, perennial, cool-season bunchgrass; native, perennial, warm-season shortgrass; native perennial and annual forbs; shrub; native, perennial, cool-season, rhizomatous grass=grass-like; non-native, cool-season grass. -
Amount of plant mortality and decadence (include which functional groups are expected to show mortality or decadence):
Very little evidence of decadence or mortality. Bunch grasses have strong, healthy centers and shrubs have few dead stems. The exception is the potential of up to 10 percent mortality of warm-season bunch grasses during multi- year drought cycles. -
Average percent litter cover (%) and depth ( in):
Plant litter cover is evenly distributed throughout the site and is expected to be 50 to 70 percent and at a depth of 0.25 to 0.50 inch (0.65-1.3 cm). Litter cover during and following drought can range from 40 to 50 percent. -
Expected annual annual-production (this is TOTAL above-ground annual-production, not just forage annual-production):
The representative value (RV) for annual production is 2,400 pounds per acer on an air dry weight basis. Low and high production years should yield 1,800 and 3,000 pounds per acre respectively. -
Potential invasive (including noxious) species (native and non-native). List species which BOTH characterize degraded states and have the potential to become a dominant or co-dominant species on the ecological site if their future establishment and growth is not actively controlled by management interventions. Species that become dominant for only one to several years (e.g., short-term response to drought or wildfire) are not invasive plants. Note that unlike other indicators, we are describing what is NOT expected in the reference state for the ecological site:
Annual bromes (cheatgrass and Japanese/field), leafy spurge, absinth wormwood, eastern red cedar, Canada thistle, common mullein, and Kentucky bluegrass are known invasives that have the potential to be dominant or co-dominant on the site. Consult the state noxious weed and state watch lists for potential invasive species on each ecological site.
NOTE: Invasive plants (for the purposes of the IIRH protocol) are plant species that are typically not found on the ecological site or should only be in trace or minor categories under the natural disturbance regime and have the potential to become a dominant or codominant species on the site if their establishment and growth are not actively controlled by natural disturbances or management interventions. Species listed characterize degraded states AND have the potential to become a dominant or co-dominant species. -
Perennial plant reproductive capability:
All perennial species exhibit high vigor relative to recent weather conditions. Perennial grasses should have vigorous rhizomes or tillers; vegetative and reproductive structures are not stunted. All perennial species should be capable of reproducing annually.
Print Options
Sections
Font
Other
The Ecosystem Dynamics Interpretive Tool is an information system framework developed by the USDA-ARS Jornada Experimental Range, USDA Natural Resources Conservation Service, and New Mexico State University.
Click on box and path labels to scroll to the respective text.
Ecosystem states
States 1, 5 and 2 (additional transitions)
| T1A | - | Long-term (> 10 years), heavy defoliation through grazing or haying. |
|---|---|---|
| T1B | - | Long-term (> 10 years), heavy, grazing during summer months or prolonged (>10 years) absence of grazing and fire. |
| T1C | - | Woody encroachment with no fire or brush management. |
| T1D | - | Tillage to facilitate production agriculture. |
| R2A | - | Long-term (>15 years) prescribed grazing. This restoration may not be feasible. |
| T2A | - | Long-term (> 10 years), heavy, grazing during summer months. |
| T2B | - | Woody encroachment with no fire or brush management. |
| T2C | - | Tillage to facilitate production agriculture. |
| R3A | - | Long-term (>15 years) prescribed grazing. This restoration may not be feasible. |
| R3B | - | Long-term (>15 years) prescribed grazing. This restoration may not be feasible. |
| T3A | - | Woody encroachment with no fire or brush management. |
| T3B | - | Tillage to facilitate production agriculture. |
| R4A | - | Prescribed burning, timber harvest, brush management. |
| R4B | - | Prescribed burning, timber harvest, brush management. |
| R4C | - | Prescribed burning, timber harvest, brush management. |
| R4D | - | Prescribed burning, timber harvest, brush management. |
| T5A | - | Woody encroachment with no fire or brush management. |
State 1 submodel, plant communities
| 1.1A | - | Moderate grazing managed with continuous season long, continuous seasonal, or rotational grazing with inadequate growing season recovery time. Annual haying. |
|---|---|---|
| 1.2A | - | Prescribed grazing or haying, with adequate growing season recovery time. |