Natural Resources
Conservation Service
Ecological site R023XY047NV
GRAVELLY CLAY 8-10 P.Z.
Last updated: 4/10/2025
Accessed: 12/22/2025
General information
Provisional. A provisional ecological site description has undergone quality control and quality assurance review. It contains a working state and transition model and enough information to identify the ecological site.
Ecological site concept
Currently there is only a draft of the initial concept for this ecological site. The initial concept for this site places it within the Loamy Aridic Plateaus Low Production Wyoming and Lahontan Sagebrush sites w Sparse Juniper Ecological Site Group. To view the General STM and other information available for this ESG please go to https://edit.jornada.nmsu.edu/catalogs/esg/023X/R023XY910NV
The Gravelly Clay 8-10” ecological site is the modal site for this group. This site occurs on summits and sideslopes of low hills, fan piedmont remnants, and lower elevation plateaus. Slopes range from 2 to 50 percent, but slope gradients of 8 to 30 percent are most typical. Elevations are 4,500 to 5,800 feet. Average annual precipitation is 8 to 12 inches. These soils are typically very shallow and well drained. Some soils have moderate to high amounts of gravel on the surface. The available water capacity is low due to shallow soil depth and/or rock fragments within the soil profile. More sunlight is received on the steep, south-facing, sideslopes of this site than on adjacent landscapes and the soils tend to warm and promote plant growth earlier in the spring. These soils have high potential for sheet and rill erosion and often evidence signs of active erosion, i.e. rills, shallow gullies and pedestalled plants. The plant community is dominated by Lahontan sagebrush and Thurber’s needlegrass, with the presence of other perennial grasses such as Indian ricegrass, Sandberg bluegrass, bottlebrush squirreltail, and perennial forbs. Ephedra (Ephedra spp.) and spiny hopage (Grayia spinosa) may be present on this site. Production ranges from 150 to 400 lbs/acre on this site, with 275 lbs/ac in normal years.
Associated sites
| R023XY006NV |
LOAMY 8-10 P.Z. |
|---|---|
| R023XY021NV |
SCABLAND 10-14 P.Z. |
| R023XY038NV |
DROUGHTY LOAM 8-10 P.Z. |
| R024XY002NV |
LOAMY 5-8 P.Z. |
| R024XY020NV |
DROUGHTY LOAM 8-10 P.Z. |
Similar sites
| R023XY093NV |
GRAVELLY CLAY 10-12 P.Z. more productive site |
|---|---|
| R023XY037NV |
CLAY SLOPE 8-12 P.Z. PSSPS dominant grass; more productive site |
Table 1. Dominant plant species
| Tree |
Not specified |
|---|---|
| Shrub |
(1) Artemisia arbuscula ssp. longicaulis |
| Herbaceous |
(1) Achnatherum thurberianum |
Physiographic features
This site occurs on summits and sideslopes of low hills, fan piedmont remnants, mountains, and lower elevation plateaus. Slopes range from 0 to 75 percent, but slope gradients of 4 to 50 percent are most typical. Elevations are 4200 to 6500 feet.
Table 2. Representative physiographic features
| Landforms |
(1)
Hill
(2) Mountain (3) Plateau |
|---|---|
| Elevation | 4,200 – 6,500 ft |
| Slope | 75% |
| Aspect | Aspect is not a significant factor |
Climatic features
The climate associated with this site is semiarid and characterized by cool, moist winters and warm, dry summers. Average annual precipitation is 8 to 10 inches. Mean annual air temperature is 45 degrees F. The average growing season is about 100 to 120 days.
Nevada’s climate is predominantly arid, with large daily ranges of temperature, infrequent severe storms, heavy snowfall in the higher mountains, and great location variations with elevation. Three basic geographical factors largely influence Nevada’s climate: continentality, latitude, and elevation. Continentality is the most important factor. The strong continental effect is expressed in the form of both dryness and large temperature variations. Nevada lies on the eastern, lee side of the Sierra Nevada Range, a massive mountain barrier that markedly influences the climate of the State. The prevailing winds are from the west, and as the warm moist air from the Pacific Ocean ascend the western slopes of the Sierra Range, the air cools, condensation occurs and most of the moisture falls as precipitation. As the air descends the eastern slope, it is warmed by compression, and very little precipitation occurs. The effects of this mountain barrier are felt not only in the West but throughout the state, with the result that the lowlands of Nevada are largely desert or steppes. The temperature regime is also affected by the blocking of the inland-moving maritime air. Nevada sheltered from maritime winds, has a continental climate with well-developed seasons and the terrain responds quickly to changes in solar heating.
Nevada lies within the mid-latitude belt of prevailing westerly winds which occur most of the year. These winds bring frequent changes in weather during the late fall, winter and spring months, when most of the precipitation occurs. To the south of the mid-latitude westerlies, lies a zone of high pressure in subtropical latitudes, with a center over the Pacific Ocean. In the summer, this high-pressure belt shifts northward over the latitudes of Nevada, blocking storms from the ocean. The resulting weather is mostly clear and dry during the summer and early fall, with scattered thundershowers. The eastern portion of the state receives significant summer thunderstorms generated from monsoonal moisture pushed up from the Gulf of California, known as the North American monsoon. The monsoon system peaks in August and by October the monsoon high over the Western U.S. begins to weaken and the precipitation retreats southward towards the tropics (NOAA 2004).
Average annual precipitation is 16 to over 20 inches. Mean annual air temperature is 41 to 44 degrees F. The average growing season is about 50 to 70 days.
Mean annual precipitaion at the Bear Creek, Nevada SNOTEL station (170501020301) is 37.69 inches.
monthly mean precipitation is:
January 3.84; February 3.75; March 4.38; April 4.9;
May 3.99; June 2.82; July .95; August 1.66;
September 1.22; October 2.12;
November 3.67; December 4.38.
Table 3. Representative climatic features
| Frost-free period (average) | 110 days |
|---|---|
| Freeze-free period (average) | |
| Precipitation total (average) | 9 in |
Figure 1. Monthly precipitation range
Figure 2. Monthly average minimum and maximum temperature
Figure 3. Annual precipitation pattern
Figure 4. Annual average temperature pattern
Influencing water features
There are no influencing water features associated with this site.
Soil features
The soils associated with this site are typically very shallow to very deep and formed in residuum and colluvium from extrusive igneous rocks. The soil surface is medium in texture over a fine-textured subsoil. Permeability is moderate and the soils are well drained. Available water capacity is very low to moderate. Infiltration is restricted once these soils are wetted and they are subject to water loss by runoff. The soils have high amounts of gravels and/or cobbles on the surface which provide a stabilizing affect on surface erosion conditions. The soil series associated with this site include: Ceejay, Chalco, Copperreid, Fulstone, Jaybee, Kreza, Manogue, Nellspring, Oppio, Phing, Rocconda, Skedaddle, Verdico.
Table 4. Representative soil features
| Surface texture |
(1) Very cobbly sandy loam (2) Very gravelly sandy loam (3) Very gravelly silt loam |
|---|---|
| Family particle size |
(1) Clayey |
| Drainage class | Well drained |
| Permeability class | Very slow to moderate |
| Soil depth | 4 – 84 in |
| Surface fragment cover <=3" | 10 – 53% |
| Surface fragment cover >3" | 2 – 35% |
| Available water capacity (0-40in) |
0.7 – 5.6 in |
| Calcium carbonate equivalent (0-40in) |
15% |
| Electrical conductivity (0-40in) |
4 mmhos/cm |
| Sodium adsorption ratio (0-40in) |
12 |
| Soil reaction (1:1 water) (0-40in) |
6.1 – 9 |
| Subsurface fragment volume <=3" (Depth not specified) |
3 – 60% |
| Subsurface fragment volume >3" (Depth not specified) |
2 – 35% |
Ecological dynamics
As ecological condition declines, Lahonton sagebrush, rabbitbrush, bottlebrush squirreltail, and Sandberg bluegrass increase as Thurber's needlegrass and other desirable forage grasses decrease.
Fire Ecology:
The mean fire return intervals for Lahontan sagebrush communities have been estimated to be from 35 to over 100 years. Fire most often occurs during wet years with high forage production. Lahontan sagebrush is very susceptible to fire damage. Lahontan sagebrush is usually killed by fire and does not re-sprout. The recovery in burned areas is usually via small, light, wind-dispersed seed for all low sagebrush subspecies. Partially injured Lahontan sagebrush may re-grow from living branches, but sprouting does not occur. Ephedra generally sprouts vigorously from the roots or woody root crown after fire and rapidly produces aboveground biomass from surviving meristematic tissue. Spiny hopsage is considered to be somewhat fire tolerant and often survives fires that kill sagebrush. Mature spiny hopsage generally sprout after being burned. Spiny hopsage is reported to be least susceptible to fire during summer dormancy. Shadscale is fire intolerant and it does not readily recover from fire, except for establishment through seed. Thurber’s needlegrass is classified as moderately resistant, but depending on season of burn, phenology, and fire severity, this perennial bunchgrass is moderately to severely damaged by fire. Early season burning is more damaging to this needlegrass than late season burning. Indian ricegrass can be killed by fire, depending on severity and season of burn. Indian ricegrass reestablishes on burned sites through seed dispersed from adjacent unburned areas. Sandberg bluegrass is generally unharmed by fire. It produces little litter, and its small bunch size and sparse litter reduces the amount of heat transferred to perennating buds in the soil. Its rapid maturation in the spring also reduces fire damage, since it is dormant when most fires occur. Bottlebrush squirreltail's small size, coarse stems, and sparse leafy material aid in its tolerance of fire. Postfire regeneration occurs from surviving root crowns and from on- and off-site seed sources. Frequency of disturbance greatly influences postfire response of bottlebrush squirreltail. Undisturbed plants within a 6 to 9 year age class generally contain large amounts of dead material, increasing bottlebrush squirreltail's susceptibility to fire.
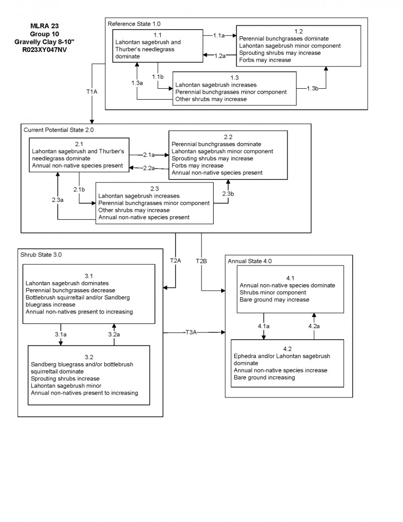
State and transition model
More interactive model formats are also available.
View Interactive Models
Click on state and transition labels to scroll to the respective text
State 1 submodel, plant communities
State 2 submodel, plant communities
State 3 submodel, plant communities
State 4 submodel, plant communities
State 1
Reference State
Community 1.1
Community Phase
The reference plant community is dominated by Lahontan sagebrush and Thurber's needlegrass. Potential vegetative composition is about 40% grasses, 5% forbs and 55% shrubs. Approximate ground cover (basal and crown) is about 10 to 20 percent.
Figure 5. Annual production by plant type (representative values) or group (midpoint values)
Table 5. Annual production by plant type
| Plant type | Low (lb/acre) |
Representative value (lb/acre) |
High (lb/acre) |
|---|---|---|---|
| Shrub/Vine | 83 | 151 | 220 |
| Grass/Grasslike | 60 | 110 | 160 |
| Forb | 7 | 14 | 20 |
| Total | 150 | 275 | 400 |
Community 1.2
Community Phase
Community 1.3
Community Phase
State 2
Current Potential State
Community 2.1
Community Phase
Community 2.2
Community Phase
Community 2.3
Community Phase
Pathway a
Community 2.1 to 2.2
Pathway b
Community 2.1 to 2.3
Pathway a
Community 2.2 to 2.1
Pathway a
Community 2.3 to 2.1
Pathway b
Community 2.3 to 2.2
State 3
Shrub State
Community 3.1
Community Phase
Community 3.2
Community Phase
Pathway a
Community 3.1 to 3.2
Pathway a
Community 3.2 to 3.1
State 4
Annual State
Community 4.1
Community Phase
Community 4.2
Community Phase
Pathway a
Community 4.1 to 4.2
Pathway a
Community 4.2 to 4.1
Transition A
State 1 to 2
Transition A
State 2 to 3
Transition B
State 2 to 4
Transition A
State 3 to 4
Additional community tables
Table 6. Community 1.1 plant community composition
| Group | Common name | Symbol | Scientific name | Annual production (lb/acre) | Foliar cover (%) | |
|---|---|---|---|---|---|---|
|
Grass/Grasslike
|
||||||
| 1 | Primary Perennial Grasses | 59–132 | ||||
| Thurber's needlegrass | ACTH7 | Achnatherum thurberianum | 41–82 | – | ||
| Indian ricegrass | ACHY | Achnatherum hymenoides | 6–22 | – | ||
| squirreltail | ELEL5 | Elymus elymoides | 6–14 | – | ||
| Sandberg bluegrass | POSE | Poa secunda | 6–14 | – | ||
| 2 | Secondary Perennial Grasses | 6–22 | ||||
| desert needlegrass | ACSP12 | Achnatherum speciosum | 1–8 | – | ||
| Webber needlegrass | ACWE3 | Achnatherum webberi | 1–8 | – | ||
| needle and thread | HECO26 | Hesperostipa comata | 1–8 | – | ||
| bluebunch wheatgrass | PSSPS | Pseudoroegneria spicata ssp. spicata | 1–8 | – | ||
|
Forb
|
||||||
| 3 | Perennial | 6–22 | ||||
| buckwheat | ERIOG | Eriogonum | 1–6 | – | ||
| desertparsley | LOMAT | Lomatium | 1–6 | – | ||
| beardtongue | PENST | Penstemon | 1–6 | – | ||
| globemallow | SPHAE | Sphaeralcea | 1–6 | – | ||
|
Shrub/Vine
|
||||||
| 4 | Primary Shrubs | 100–166 | ||||
| little sagebrush | ARARL3 | Artemisia arbuscula ssp. longicaulis | 82–124 | – | ||
| shadscale saltbush | ATCO | Atriplex confertifolia | 6–14 | – | ||
| jointfir | EPHED | Ephedra | 6–14 | – | ||
| spiny hopsage | GRSP | Grayia spinosa | 6–14 | – | ||
| 5 | Secondary Shrubs | 6–22 | ||||
| yellow rabbitbrush | CHVI8 | Chrysothamnus viscidiflorus | 3–8 | – | ||
| winterfat | KRLA2 | Krascheninnikovia lanata | 3–8 | – | ||
| purple sage | SADOI | Salvia dorrii ssp. dorrii var. incana | 3–8 | – | ||
| littleleaf horsebrush | TEGL | Tetradymia glabrata | 3–8 | – | ||
Interpretations
Animal community
Livestock Interpretations:
This site has limited value for livestock grazing due to the low forage production. Thurber’s needlegrass species begin growth early in the year and remain green throughout a relatively long growing season. This pattern of development enables animals to use Thurber’s needlegrass when many other grasses are unavailable. Cattle prefer Thurber’s needlegrass in early spring before fruits have developed as it becomes less palatable when mature. Thurber’s needlegrasses are grazed in the fall only if the fruits are softened by rain. Indian ricegrass is highly palatable to all classes of livestock in both green and cured condition. It supplies a source of green feed before most other native grasses have produced much new growth. Sandberg bluegrass is a widespread forage grass. It is one of the earliest grasses in the spring and is sought by domestic livestock and several wildlife species. Sandberg bluegrass is a palatable species, but its production is closely tied to weather conditions. It produces little forage in drought years, making it a less dependable food source than other perennial bunchgrasses. Bottlebrush squirreltail is very palatable winter forage for domestic sheep of Intermountain ranges. Domestic sheep relish the green foliage. Overall, bottlebrush squirreltail is considered moderately palatable to livestock. Lahontan sagebrush is considered a valuable browse plant during the spring, fall and winter months. In some areas it is of little value in winter due to heavy snow. Ephedra is heavily browsed by livestock on winter range but only moderately or lightly browsed during other seasons. Spiny hopsage provides a palatable and nutritious food source for livestock, particularly during late winter through spring. Domestic sheep browse the succulent new growth of spiny hopsage in late winter and early spring. Shadscale is a valuable browse species, providing a source of palatable, nutritious forage for a wide variety of livestock. Shadscale provides good browse for domestic sheep. Shadscale leaves and seeds are an important component of domestic sheep and cattle winter diets.
Stocking rates vary over time depending upon season of use, climate variations, site, and previous and current management goals. A safe starting stocking rate is an estimated stocking rate that is fine tuned by the client by adaptive management through the year and from year to year.
Wildlife Interpretations:
Lahontan sagebrush is considered a valuable browse plant during the spring, fall and winter months. In some areas it is of little value in winter due to heavy snow. Mule deer utilize and sometimes prefer Lahontan sagebrush, particularly in winter and early spring. Sagebrush-grassland communities provide critical sage-grouse breeding and nesting habitats. Meadows surrounded by sagebrush may be used as feeding and strutting grounds. Sagebrush is a crucial component of their diet year-round, and sage-grouse select sagebrush almost exclusively for cover. Sage-grouse prefer mountain big sagebrush and Wyoming big sagebrush communities to basin big sagebrush communities. Ephedra is an important browse species for big game animals. Ephedra is heavily used by wildlife on winter ranges. Spiny hopsage provides a palatable and nutritious food source for big game animals. Spiny hopsage is used as forage to at least some extent by domestic goats, deer, pronghorn, and rabbits. Shadscale is a valuable browse species, providing a source of palatable, nutritious forage for a wide variety of wildlife particularly during spring and summer before the hardening of spiny twigs. It supplies browse, seed, and cover for birds, small mammals, rabbits, deer, and pronghorn antelope. Thurber needlegrass is valuable forage for wildlife. Indian ricegrass is eaten by pronghorn in moderate amounts whenever available. A number of heteromyid rodents inhabiting desert rangelands show preference for seed of Indian ricegrass. Indian ricegrass is an important component of jackrabbit diets in spring and summer. Indian ricegrass seed provides food for many species of birds. Doves, for example, eat large amounts of shattered Indian ricegrass seed lying on the ground. Sandberg bluegrass is desirable for pronghorn antelope and mule deer in the spring and preferable in the spring, summer, and fall for elk and desirable as part of their winter range. Bottlebrush squirreltail is a dietary component of several wildlife species.
Hydrological functions
Runoff is medium to very high. Permeability is very slow to moderate. Hyrodologic soil group is C and D. Rills are rare. A few can be expected on steeper slopes in areas subjected to summer convection storms or rapid spring snowmelt. Water flow patterns are rare but can be expected in areas subjected to summer convection storms or rapid snowmelt. Pedestals are rare with occurrence typically limited to area within water flow patterns. Frost heaving of shallow rooted plants should not be considered as normal condition. Shrub canopy and associated litter break raindrop impact and provide opportunity for snow catch and accumulation on site.
Recreational uses
Aesthetic value is derived from the diverse floral and faunal composition and the colorful flowering of wild flowers and shrubs during the spring and early summer. This site offers rewarding opportunities to photographers and for nature study. This site is used for camping and hiking and has potential for upland and big game hunting.
Other products
Some Native American peoples traditionally ground parched seeds of spiny hopsage to make pinole flour. Seeds of shadscale were used by Native Americans for bread and mush. Indian ricegrass was traditionally eaten by some Native Americans. The Paiutes used the seed as a reserve food source.
Other information
Ephedra is listed as a successful shrub for restoring western rangeland communities and can be used to rehabilitate disturbed lands. It also has value for reducing soil erosion on both clay and sandy soils. Ephedra establishes readily through direct seeding, transplants, and stem cuttings. Spiny hopsage has moderate potential for erosion control and low to high potential for long-term revegetation projects. It can improve forage, control wind erosion, and increase soil stability on gentle to moderate slopes. Spiny hopsage is suitable for highway plantings on dry sites in Nevada. Bottlebrush squirreltail is tolerant of disturbance and is a suitable species for revegetation.
Supporting information
Type locality
| Location 1: Humboldt County, NV | |
|---|---|
| Township/Range/Section | T41N R25E S31 |
| UTM zone | N |
| UTM northing | 318551 |
| UTM easting | 4587292 |
| Latitude | 45° 21′ 0″ |
| Longitude | 119° 10′ 16″ |
| General legal description | SE 1/4, Approximately two air miles north of Soldier Meadows Ranch and about one mile south of Antelope Springs, Humboldt County, Nevada. This site also occurs in Washoe County, Nevada. |
Other references
Fire Effects Information System (Online; http://www.fs.fed.us/database/feis/plants/).
USDA-NRCS Plants Database (Online; http://www.plants.usda.gov).
Contributors
CP/SW/GKB
Approval
Kendra Moseley, 4/10/2025
Rangeland health reference sheet
Interpreting Indicators of Rangeland Health is a qualitative assessment protocol used to determine ecosystem condition based on benchmark characteristics described in the Reference Sheet. A suite of 17 (or more) indicators are typically considered in an assessment. The ecological site(s) representative of an assessment location must be known prior to applying the protocol and must be verified based on soils and climate. Current plant community cannot be used to identify the ecological site.
| Author(s)/participant(s) | GK BRACKLEY |
|---|---|
| Contact for lead author | State Rangeland Management Specialist |
| Date | 06/20/2006 |
| Approved by | Kendra Moseley |
| Approval date | |
| Composition (Indicators 10 and 12) based on | Annual Production |
Indicators
-
Number and extent of rills:
Rills are rare. A few can be expected on steeper slopes in areas subjected to summer convection storms or rapid spring snowmelt. -
Presence of water flow patterns:
Water flow patterns are rare but can be expected in areas subjected to summer convection storms or rapid snowmelt. -
Number and height of erosional pedestals or terracettes:
Pedestals are rare with occurrence typically limited to area within water flow patterns. Frost heaving of shallow rooted plants should not be considered as normal condition. -
Bare ground from Ecological Site Description or other studies (rock, litter, lichen, moss, plant canopy are not bare ground):
Bare Ground 20 to 30% depending on amount of surface rock fragments -
Number of gullies and erosion associated with gullies:
None -
Extent of wind scoured, blowouts and/or depositional areas:
None -
Amount of litter movement (describe size and distance expected to travel):
Fine litter (foliage from grasses and annual & perennial forbs) expected to move distance of slope length during intense summer convection storms or rapid snowmelt events. Persistent litter (large woody material) will remain in place except during large rainfall events. -
Soil surface (top few mm) resistance to erosion (stability values are averages - most sites will show a range of values):
Soil stability values should be 3 to 6 on most soil textures found on this site. -
Soil surface structure and SOM content (include type of structure and A-horizon color and thickness):
Surface structure is typically thin to thick platy, subangular blocky or granular. Soil surface colors are light (pale browns or grays) and soils are typified by an ochric epipedon. Organic matter of the surface 2 to 3 inches is typically 1 to 1.5 percent dropping off quickly below. Organic matter content can be more or less depending on micro-topography. -
Effect of community phase composition (relative proportion of different functional groups) and spatial distribution on infiltration and runoff:
Perennial herbaceous grasses (especially deep-rooted bunchgrasses [i.e., Thurber's needlegrass] slow runoff and increase infiltration. Shrub canopy and associated litter break raindrop impact and provide opportunity for snow catch and accumulation on site. Coarse textured surface soils allow medium to rapid infiltration. -
Presence and thickness of compaction layer (usually none; describe soil profile features which may be mistaken for compaction on this site):
Compacted layers are none. Subsoil argillic horizons are not to be interpreted as compacted layers. -
Functional/Structural Groups (list in order of descending dominance by above-ground annual-production or live foliar cover using symbols: >>, >, = to indicate much greater than, greater than, and equal to):
Dominant:
Deep-rooted, cool season, perennial bunchgrasses=Lahontan sagebrushSub-dominant:
associated shrubs>shallow-rooted, cool season, perennial bunchgrasses>deep-rooted, cool season, perennial forbs=fibrous, shallow-rooted, cool season, annual and perennial forbsOther:
Additional:
-
Amount of plant mortality and decadence (include which functional groups are expected to show mortality or decadence):
Dead branches within individual shrubs common and standing dead shrub canopy material may be as much as 25% of total woody canopy; some of the mature bunchgrasses (<20%) have dead centers. -
Average percent litter cover (%) and depth ( in):
Under canopy and between plant interspaces (15-25%) and depth (± ¼ in.) -
Expected annual annual-production (this is TOTAL above-ground annual-production, not just forage annual-production):
For normal or average growing season, ± 275 lbs/ac; Favorable years400 lbs/ac and unfavorable years 150 lbs/ac -
Potential invasive (including noxious) species (native and non-native). List species which BOTH characterize degraded states and have the potential to become a dominant or co-dominant species on the ecological site if their future establishment and growth is not actively controlled by management interventions. Species that become dominant for only one to several years (e.g., short-term response to drought or wildfire) are not invasive plants. Note that unlike other indicators, we are describing what is NOT expected in the reference state for the ecological site:
Potential invaders include cheatgrass, Russian thistle, medusahead, and annual mustards. -
Perennial plant reproductive capability:
All functional groups should reproduce in average (or normal) and above average growing season years
Print Options
Sections
Font
Other
The Ecosystem Dynamics Interpretive Tool is an information system framework developed by the USDA-ARS Jornada Experimental Range, USDA Natural Resources Conservation Service, and New Mexico State University.
Click on box and path labels to scroll to the respective text.