Natural Resources
Conservation Service
Ecological site R023XY021NV
SCABLAND 10-14 P.Z.
Last updated: 4/10/2025
Accessed: 12/20/2025
General information
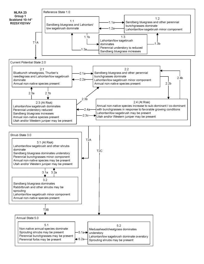
Provisional. A provisional ecological site description has undergone quality control and quality assurance review. It contains a working state and transition model and enough information to identify the ecological site.
MLRA notes
Major Land Resource Area (MLRA): 023X–Malheur High Plateau
Currently there is only a draft of the initial concept for this ecological site. The initial concept for this site places it within the Clay or Claypan ,12” PZ Low and Lahontan sagebrush and bluebunch wheatgrass/ Thurber’s needlegrass Ecological Site Group. To view the General STM and other information available for this ESG please go to https://edit.jornada.nmsu.edu/catalogs/esg/023X/R023XY901NV
This site is dominated by Sandberg bluegrass, and is much less productive than the modal site with 200 lbs/ac in a normal year. It may have scattered juniper trees. The soils of this site have a very shallow effective rooting depth and are well drained. The soils are typically modified with over 50 percent gravels and other coarse fragments throughout the profile. These soils also have high amounts of gravels, cobbles, or stones on the surface which occupy plant growing space yet provide a stabilizing effect on surface erosion conditions. The available water capacity of these soils is very low. A surface cover of rock fragments helps to reduce evaporation and conserve the limited soil moisture. The harsh environment for plant growth presented by these soil properties restricts site productivity. Characteristic herbaceous plants have shallow root systems and the ability to make rapid early growth before evaporation depletes the limited supply of soil moisture. This site has a four state model without a tree state
Associated sites
| R023XY031NV |
CLAYPAN 10-14 P.Z. |
|---|---|
| R023XY044NV |
VERY COBBLY CLAYPAN |
| R023XY047NV |
GRAVELLY CLAY 8-10 P.Z. |
Similar sites
| R023XY044NV |
VERY COBBLY CLAYPAN different landscape position; extremely cobbly surface |
|---|---|
| R023XY014NV |
SHALLOW LOAM 14+ P.Z. FEID dominant grass; higher elevations |
| R023XY008NV |
MOUNTAIN RIDGE FEID dominant grass; higher elevations |
| R023XY060NV |
COBBLY CLAYPAN 8-12 P.Z. PSSPS-ACTH7 codominant; many cobbles on surface |
| R023XY031NV |
CLAYPAN 10-14 P.Z. PSSPS-ACTH7 codominant; more productive site |
| R023XY059NV |
GRAVELLY CLAYPAN 10-12 P.Z. ACTH7 dominant grass |
Table 1. Dominant plant species
| Tree |
Not specified |
|---|---|
| Shrub |
(1) Artemisia arbuscula |
| Herbaceous |
(1) Poa secunda |
Click on box and path labels to scroll to the respective text.