Natural Resources
Conservation Service
Ecological site R023XY093NV
GRAVELLY CLAY 10-12 P.Z.
Last updated: 4/10/2025
Accessed: 12/21/2025
General information
Provisional. A provisional ecological site description has undergone quality control and quality assurance review. It contains a working state and transition model and enough information to identify the ecological site.
Ecological site concept
Currently there is only a draft of the initial concept for this ecological site. The initial concept for this site places it within the Clay or Claypan ,12” PZ Low and Lahontan sagebrush and bluebunch wheatgrass/ Thurber’s needlegrass Ecological Site Group. To view the General STM and other information available for this ESG please go to https://edit.jornada.nmsu.edu/catalogs/esg/023X/R023XY901NV
The soils in this site are typically moderately deep with depth to a moderate to strong-structure, clayey, subsoil ranging from 10 to 12 inches. Permeability is moderate and the soils are well drained. Available water capacity is low. Infiltration is restricted once these soils are wetted and they are subject to water loss by runoff. The soils have high amounts of gravels and/or cobbles on the surface which provide a stabilizing effect on surface erosion conditions. The plant community is dominated by Lahontan sagebrush and Thurber's needlegrass. It is less productive than the modal with 500 lbs/ac in a normal year. This site has a four state model without a tree state.
Associated sites
| R023XY020NV |
LOAMY 10-12 P.Z. |
|---|---|
| R023XY021NV |
SCABLAND 10-14 P.Z. |
| R023XY031NV |
CLAYPAN 10-14 P.Z. |
| R023XY047NV |
GRAVELLY CLAY 8-10 P.Z. |
| R023XY059NV |
GRAVELLY CLAYPAN 10-12 P.Z. |
Similar sites
| R023XY047NV |
GRAVELLY CLAY 8-10 P.Z. less productive site |
|---|---|
| R023XY037NV |
CLAY SLOPE 8-12 P.Z. PSSPS dominant grass; more productive site |
Table 1. Dominant plant species
| Tree |
Not specified |
|---|---|
| Shrub |
(1) Artemisia arbuscula ssp. longicaulis |
| Herbaceous |
(1) Achnatherum thurberianum |
Physiographic features
This site occurs on summits and sideslopes of plateaus, hills, fan remnants, and lower elevation pediments. Slopes range from 2 to over 50 percent, but slope gradients of 2 to 15 percent are typical. Elevations are 4800 to 6500 feet.
Table 2. Representative physiographic features
| Landforms |
(1)
Fan remnant
(2) Hill (3) Plateau |
|---|---|
| Elevation | 4,800 – 6,500 ft |
| Slope | 2 – 50% |
| Aspect | Aspect is not a significant factor |
Climatic features
The climate associated with this site is semiarid and characterized by cool, moist winters and warm, dry summers. Average annual precipitation is 8 to 12 inches. Mean annual air temperature is 41 to 44 degrees F. The average growing season is about 70 to 100 days.
Nevada’s climate is predominantly arid, with large daily ranges of temperature, infrequent severe storms, heavy snowfall in the higher mountains, and great location variations with elevation. Three basic geographical factors largely influence Nevada’s climate: continentality, latitude, and elevation. Continentality is the most important factor. The strong continental effect is expressed in the form of both dryness and large temperature variations. Nevada lies on the eastern, lee side of the Sierra Nevada Range, a massive mountain barrier that markedly influences the climate of the State. The prevailing winds are from the west, and as the warm moist air from the Pacific Ocean ascend the western slopes of the Sierra Range, the air cools, condensation occurs and most of the moisture falls as precipitation. As the air descends the eastern slope, it is warmed by compression, and very little precipitation occurs. The effects of this mountain barrier are felt not only in the West but throughout the state, with the result that the lowlands of Nevada are largely desert or steppes. The temperature regime is also affected by the blocking of the inland-moving maritime air. Nevada sheltered from maritime winds, has a continental climate with well-developed seasons and the terrain responds quickly to changes in solar heating.
Nevada lies within the mid-latitude belt of prevailing westerly winds which occur most of the year. These winds bring frequent changes in weather during the late fall, winter and spring months, when most of the precipitation occurs. To the south of the mid-latitude westerlies, lies a zone of high pressure in subtropical latitudes, with a center over the Pacific Ocean. In the summer, this high-pressure belt shifts northward over the latitudes of Nevada, blocking storms from the ocean. The resulting weather is mostly clear and dry during the summer and early fall, with scattered thundershowers. The eastern portion of the state receives significant summer thunderstorms generated from monsoonal moisture pushed up from the Gulf of California, known as the North American monsoon. The monsoon system peaks in August and by October the monsoon high over the Western U.S. begins to weaken and the precipitation retreats southward towards the tropics (NOAA 2004).
Average annual precipitation is 16 to over 20 inches. Mean annual air temperature is 41 to 44 degrees F. The average growing season is about 50 to 70 days.
Mean annual precipitaion at the Bear Creek, Nevada SNOTEL station (170501020301) is 37.69 inches.
monthly mean precipitation is:
January 3.84; February 3.75; March 4.38; April 4.9;
May 3.99; June 2.82; July .95; August 1.66;
September 1.22; October 2.12;
November 3.67; December 4.38.
Table 3. Representative climatic features
| Frost-free period (average) | 85 days |
|---|---|
| Freeze-free period (average) | |
| Precipitation total (average) | 10 in |
Figure 1. Monthly precipitation range
Figure 2. Monthly average minimum and maximum temperature
Figure 3. Annual precipitation pattern
Figure 4. Annual average temperature pattern
Influencing water features
There are no influencing water features associated with this site.
Soil features
The soils associated with this site are typically moderately deep with depth to a moderate to strong-structure, clayey, subsoil ranging from 10 to 12 inches. Permeability is very slow to slow and the soils are well drained. Available water capacity is very low. Infiltration is restricted once these soils are wetted and they are subject to water loss by runoff. The soils have high amounts of gravels and/or cobbles on the surface which provide a stabilizing affect on surface erosion conditions. The soil series associated with this site include: Ceejay, Chalco, and Fulstone.
Table 4. Representative soil features
| Surface texture |
(1) Very cobbly loam (2) Very stony loam |
|---|---|
| Family particle size |
(1) Clayey |
| Drainage class | Well drained |
| Permeability class | Very slow to slow |
| Soil depth | 14 – 84 in |
| Surface fragment cover <=3" | 23 – 40% |
| Surface fragment cover >3" | 8 – 12% |
| Available water capacity (0-40in) |
1.7 – 2.3 in |
| Calcium carbonate equivalent (0-40in) |
5% |
| Electrical conductivity (0-40in) |
4 mmhos/cm |
| Sodium adsorption ratio (0-40in) |
12 |
| Soil reaction (1:1 water) (0-40in) |
6.1 – 8.4 |
| Subsurface fragment volume <=3" (Depth not specified) |
3 – 41% |
| Subsurface fragment volume >3" (Depth not specified) |
20% |
Ecological dynamics
As ecological condition declines, Lahonton sagebrush, rabbitbrush, bottlebrush squirreltail, and Sandberg bluegrass increase as Thurber's needlegrass and other desirable forage grasses decrease.
Fire Ecology:
The mean fire return intervals for Lahontan sagebrush communities have been estimated to be from 35 to over 100 years. Fire most often occurs during wet years with high forage production. Lahontan sagebrush is very susceptible to fire damage. Lahontan sagebrush is usually killed by fire and does not re-sprout. The recovery in burned areas is usually via small, light, wind-dispersed seed for all low sagebrush subspecies. Partially injured Lahontan sagebrush may re-grow from living branches, but sprouting does not occur. Douglas’ rabbitbrush is usually top-killed by fire. It has high resin content, and both foliage and stems may be consumed, even with relatively high moisture content. Fuel distribution as well as overall fuel loading affects the potential survival of Douglas’ rabbitbrush. Douglas’ rabbitbrush regenerates after fire by sprouting and by establishing from off-site seed. Spiny hopsage is considered to be somewhat fire tolerant and often survives fires that kill sagebrush. Mature spiny hopsage generally sprout after being burned. Spiny hopsage is reported to be least susceptible to fire during summer dormancy. Thurber’s needlegrass is classified as moderately resistant, but depending on season of burn, phenology, and fire severity, this perennial bunchgrass is moderately to severely damaged by fire. Early season burning is more damaging to this needlegrass than late season burning. Indian ricegrass can be killed by fire, depending on severity and season of burn. Indian ricegrass reestablishes on burned sites through seed dispersed from adjacent unburned areas. Webber’s needlegrass is damaged by burning due to dense plant material that can burn slowly and long, charring to the growing points. Late summer and early fall fires are the least harmful.
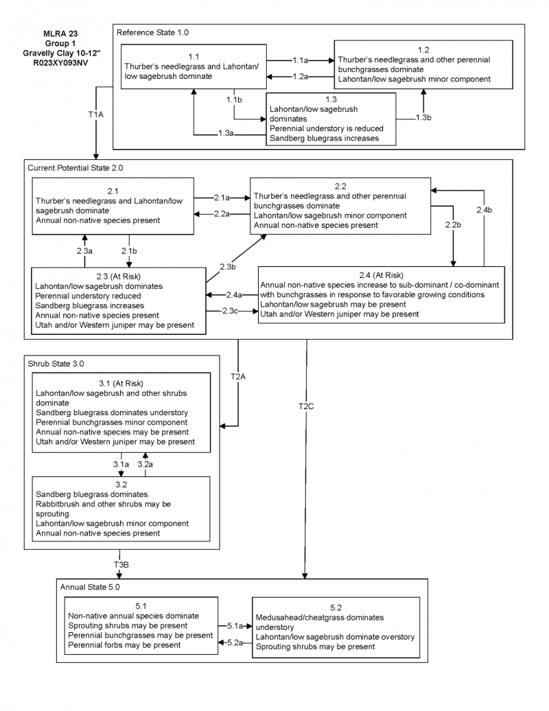
State and transition model
More interactive model formats are also available.
View Interactive Models
Click on state and transition labels to scroll to the respective text
Ecosystem states
State 1 submodel, plant communities
State 1
Reference Plant Community
Community 1.1
Reference Plant Community
The reference plant community is dominated by Lahontan sagebrush and Thurber's needlegrass. Potential vegetative composition is about 55% grasses, 5% forbs and 40% shrubs. Approximate ground cover (basal and crown) is about 15 to 25 percent.
Figure 5. Annual production by plant type (representative values) or group (midpoint values)
Table 5. Annual production by plant type
| Plant type | Low (lb/acre) |
Representative value (lb/acre) |
High (lb/acre) |
|---|---|---|---|
| Grass/Grasslike | 165 | 275 | 440 |
| Shrub/Vine | 120 | 200 | 320 |
| Forb | 15 | 25 | 40 |
| Total | 300 | 500 | 800 |
Additional community tables
Table 6. Community 1.1 plant community composition
| Group | Common name | Symbol | Scientific name | Annual production (lb/acre) | Foliar cover (%) | |
|---|---|---|---|---|---|---|
|
Grass/Grasslike
|
||||||
| 1 | Primary Perennial Grasses | 170–325 | ||||
| Thurber's needlegrass | ACTH7 | Achnatherum thurberianum | 150–225 | – | ||
| Webber needlegrass | ACWE3 | Achnatherum webberi | 10–50 | – | ||
| Indian ricegrass | ACHY | Achnatherum hymenoides | 10–50 | – | ||
| 2 | Secondary Perennial Grasses | 10–40 | ||||
| ACBL | Achnatherum ×bloomeri | 3–10 | – | |||
| squirreltail | ELEL5 | Elymus elymoides | 3–10 | – | ||
| Sandberg bluegrass | POSE | Poa secunda | 3–10 | – | ||
| bluebunch wheatgrass | PSSPS | Pseudoroegneria spicata ssp. spicata | 3–10 | – | ||
|
Forb
|
||||||
| 3 | Perennial | 10–40 | ||||
| tapertip hawksbeard | CRAC2 | Crepis acuminata | 3–15 | – | ||
| buckwheat | ERIOG | Eriogonum | 3–15 | – | ||
| lupine | LUPIN | Lupinus | 3–15 | – | ||
| beardtongue | PENST | Penstemon | 3–15 | – | ||
|
Shrub/Vine
|
||||||
| 4 | Primary Shrubs | 127–225 | ||||
| little sagebrush | ARARL3 | Artemisia arbuscula ssp. longicaulis | 125–175 | – | ||
| yellow rabbitbrush | CHVI8 | Chrysothamnus viscidiflorus | 1–25 | – | ||
| spiny hopsage | GRSP | Grayia spinosa | 1–25 | – | ||
| 5 | Secondary Shrubs | 10–40 | ||||
Interpretations
Animal community
Livestock Interpretations:
This site is suitable for livestock grazing. Grazing management should be keyed to perennial grass production. Thurber’s needlegrass species begin growth early in the year and remain green throughout a relatively long growing season. This pattern of development enables animals to use Thurber’s needlegrass when many other grasses are unavailable. Cattle prefer Thurber’s needlegrass in early spring before fruits have developed as it becomes less palatable when mature. Thurber’s needlegrasses are grazed in the fall only if the fruits are softened by rain. Indian ricegrass is highly palatable to all classes of livestock in both green and cured condition. It supplies a source of green feed before most other native grasses have produced much new growth. Webber’s needlegrass is desired forage in the spring and undesired the rest of the year for livestock. Lahontan sagebrush is considered a valuable browse plant during the spring, fall and winter months. In some areas it is of little value in winter due to heavy snow. Douglas’ rabbitbrush is tolerant of grazing and may be rejuvenated by foliage removal. Douglas’ rabbitbrush commonly increases on degraded rangelands as more palatable species are removed. Spiny hopsage provides a palatable and nutritious food source for livestock, particularly during late winter through spring. Domestic sheep browse the succulent new growth of spiny hopsage in late winter and early spring.
Stocking rates vary over time depending upon season of use, climate variations, site, and previous and current management goals. A safe starting stocking rate is an estimated stocking rate that is fine tuned by the client by adaptive management through the year and from year to year.
Wildlife Interpretations:
Lahontan sagebrush is considered a valuable browse plant during the spring, fall and winter months. In some areas it is of little value in winter due to heavy snow. Mule deer utilize and sometimes prefer Lahontan sagebrush, particularly in winter and early spring. Sagebrush-grassland communities provide critical sage-grouse breeding and nesting habitats. Meadows surrounded by sagebrush may be used as feeding and strutting grounds. Sagebrush is a crucial component of their diet year-round, and sage-grouse select sagebrush almost exclusively for cover. Douglas’ rabbitbrush provides an important source of browse for wildlife, particularly in the late fall and early winter after more palatable species have been depleted. Wild ungulates show varying preference for Douglas’ rabbitbrush depending on season, locality, and subspecies. Mature or partially mature plants are generally preferred to green, immature ones. Douglas’ rabbitbrush provides important cover for pronghorn fawns. Spiny hopsage provides a palatable and nutritious food source for big game animals. Spiny hopsage is used as forage to at least some extent by domestic goats, deer, pronghorn, and rabbits. Thurber needlegrass is valuable forage for wildlife. Indian ricegrass is eaten by pronghorn in moderate amounts whenever available. A number of heteromyid rodents inhabiting desert rangelands show preference for seed of Indian ricegrass. Indian ricegrass is an important component of jackrabbit diets in spring and summer. Indian ricegrass seed provides food for many species of birds. Doves, for example, eat large amounts of shattered Indian ricegrass seed lying on the ground. Webber’s needlegrass is desired forage in the spring and undesired the rest of the year for wildlife.
Hydrological functions
Runoff is high to very high. Permeability is very slow to slow. Hydrologic soil group is D. Rills are none to rare. Water flow patterns are rare but can be expected in areas subjected to summer convection storms or rapid snowmelt. Pedestals are rare with occurrence typically limited to area within water flow patterns. Frost heaving of shallow rooted plants should not be considered as normal condition. Gullies are rare in areas of this site that occur on stable landforms. Perennial herbaceous plants (especially deep-rooted bunchgrasses [i.e., Thurber's needlegrass]) slow runoff and increase infiltration. Shrub canopy and associated litter break raindrop impact and provide opportunity for snow catch and accumulation on site. Coarse textured surface soils allow medium to rapid infiltration.
Recreational uses
Aesthetic value is derived from the diverse floral and faunal composition and the colorful flowering of wild flowers and shrubs during the spring and early summer. This site offers rewarding opportunities to photographers and for nature study. This site is used for camping and hiking and has potential for upland and big game hunting.
Other products
Douglas’ rabbitbrush can be a source of rubber and possibly valuable resins. Some Native American peoples traditionally ground parched seeds of spiny hopsage to make pinole flour. Indian ricegrass was traditionally eaten by some Native Americans. The Paiutes used the seed as a reserve food source.
Other information
Spiny hopsage has moderate potential for erosion control and low to high potential for long-term revegetation projects. It can improve forage, control wind erosion, and increase soil stability on gentle to moderate slopes. Spiny hopsage is suitable for highway plantings on dry sites in Nevada.
Supporting information
Type locality
| Location 1: Washoe County, NV | |
|---|---|
| Township/Range/Section | T41N R22E S11 |
| UTM zone | N |
| UTM northing | 293802 |
| UTM easting | 4595062 |
| Latitude | 41° 28′ 50″ |
| Longitude | 119° 28′ 10″ |
| General legal description | NE 1/4 NW 1/4, Approximately 1 mile east of Stevens Camp off High Rock Canyon road, Washoe County, Nevada. |
Other references
Fire Effects Information System (Online; http://www.fs.fed.us/database/feis/plants/).
USDA-NRCS Plants Database (Online; http://www.plants.usda.gov).
Contributors
GKB
Approval
Kendra Moseley, 4/10/2025
Rangeland health reference sheet
Interpreting Indicators of Rangeland Health is a qualitative assessment protocol used to determine ecosystem condition based on benchmark characteristics described in the Reference Sheet. A suite of 17 (or more) indicators are typically considered in an assessment. The ecological site(s) representative of an assessment location must be known prior to applying the protocol and must be verified based on soils and climate. Current plant community cannot be used to identify the ecological site.
| Author(s)/participant(s) | GK BRACKLEY |
|---|---|
| Contact for lead author | State Rangeland Management Specialist |
| Date | 06/20/2006 |
| Approved by | Kendra Moseley |
| Approval date | |
| Composition (Indicators 10 and 12) based on | Annual Production |
Indicators
-
Number and extent of rills:
Rills are none to rare. -
Presence of water flow patterns:
Water flow patterns are rare but can be expected in areas subjected to summer convection storms or rapid snowmelt. -
Number and height of erosional pedestals or terracettes:
Pedestals are rare with occurrence typically limited to area within water flow patterns. Frost heaving of shallow rooted plants should not be considered as normal condition. -
Bare ground from Ecological Site Description or other studies (rock, litter, lichen, moss, plant canopy are not bare ground):
Bare Ground 15 to 20%; surface rock fragments ±60%; shrub canopy 15 to 20%; basal area for perennial herbaceous plants ± 5%. -
Number of gullies and erosion associated with gullies:
Gullies are rare in areas of this site that occur on stable landforms. -
Extent of wind scoured, blowouts and/or depositional areas:
None to slight. -
Amount of litter movement (describe size and distance expected to travel):
Fine litter (foliage from grasses and annual & perennial forbs) is expected to move the distance of slope length during intense summer convection storms or rapid snowmelt events. Persistent litter (large woody material) will remain in place except during catastrophic events. -
Soil surface (top few mm) resistance to erosion (stability values are averages - most sites will show a range of values):
Soil stability values should be 3 to 6 on most soil textures found on this site. Areas of this site occurring on soils that have a physical crust will probably have stability values less than 3. (To be field tested.) -
Soil surface structure and SOM content (include type of structure and A-horizon color and thickness):
Surface structure is typically thin to thick platy, subangular blocky, or massive. Soil surface colors are light and the soils are typified by an ochric epipedon. Organic matter of the surface 2 to 3 inches is typically 1 to 1.5 percent dropping off quickly below. Organic matter content can be more or less depending on micro-topography. -
Effect of community phase composition (relative proportion of different functional groups) and spatial distribution on infiltration and runoff:
Perennial herbaceous plants (especially deep-rooted bunchgrasses [i.e., Thurber''s needlegrass]) slow runoff and increase infiltration. Shrub canopy and associated litter break raindrop impact and provide opportunity for snow catch and accumulation on site. Coarse textured surface soils allow medium to rapid infiltration. -
Presence and thickness of compaction layer (usually none; describe soil profile features which may be mistaken for compaction on this site):
Compacted layers are not typical. Platy or massive sub-surface horizons or subsoil argillic horizons are not to be interpreted as compacted. -
Functional/Structural Groups (list in order of descending dominance by above-ground annual-production or live foliar cover using symbols: >>, >, = to indicate much greater than, greater than, and equal to):
Dominant:
Reference Plant Community: Deep-rooted, cool season, perennial bunchgrasses > Lahontan sagebrush >> associated shrubs. (By above ground production)Sub-dominant:
Deep-rooted, cool season, perennial forbs = fibrous, shallow-rooted, cool season, annual and perennial forbs > shallow-rooted, cool season, perennial bunchgrasses. (By above ground production)Other:
Additional:
-
Amount of plant mortality and decadence (include which functional groups are expected to show mortality or decadence):
Dead branches within individual shrubs are common and standing dead shrub canopy material may be as much as 25% of total woody canopy; some of the mature bunchgrasses (<20%) have dead centers. -
Average percent litter cover (%) and depth ( in):
Between plant interspaces (± 10%) and depth (± ¼ in.) -
Expected annual annual-production (this is TOTAL above-ground annual-production, not just forage annual-production):
For normal or average growing season, ± 350 lbs/ac; Spring moisture significantly affects total production. -
Potential invasive (including noxious) species (native and non-native). List species which BOTH characterize degraded states and have the potential to become a dominant or co-dominant species on the ecological site if their future establishment and growth is not actively controlled by management interventions. Species that become dominant for only one to several years (e.g., short-term response to drought or wildfire) are not invasive plants. Note that unlike other indicators, we are describing what is NOT expected in the reference state for the ecological site:
Douglas'' rabbitbrush is an increaser on this site. Cheatgrass, filaree, snakeweed, horsebrush, Russian thistle, and annual mustards are invaders on this site. -
Perennial plant reproductive capability:
All functional groups should reproduce in average (or normal) and above average growing season years.
Print Options
Sections
Font
Other
The Ecosystem Dynamics Interpretive Tool is an information system framework developed by the USDA-ARS Jornada Experimental Range, USDA Natural Resources Conservation Service, and New Mexico State University.
Click on box and path labels to scroll to the respective text.