Ecological dynamics
It is impossible to determine in any quantitative detail the Historic Climax Plant Community (HCPC) for this ecological site because of the lack of direct historical documentation preceding all human influence. In some areas, the earliest reports of dominant plants include the cadastral survey conducted by the General Land Office, which began in the late 19th century for this area (Galatowitsch 1990). However, up to the 1870s the Shoshone Indians, prevalent in northern Utah and neighboring states, grazed horses and set fires to alter the vegetation for their needs (Parson 1996). In the 1860s, Europeans brought cattle and horses to the area, grazing large numbers of them on unfenced parcels year-long (Parson 1996). Itinerant and local sheep flocks followed, largely replacing cattle as the browse component increased.
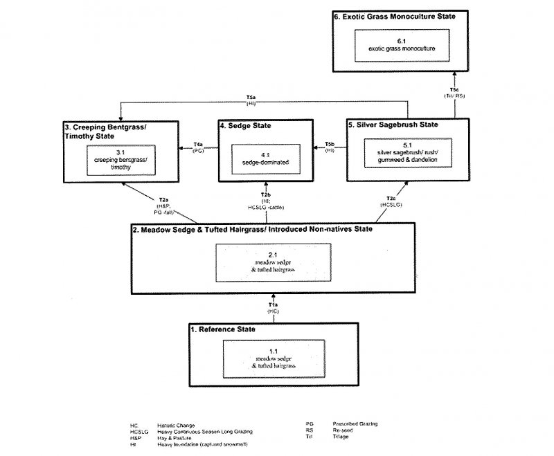
Below is a State and Transition Model diagram to illustrate the “phases” (common plant communities), and “states” (aggregations of those plant communities) that can occur on the site. Differences between phases and states depend primarily upon observations of a range of disturbance histories in areas where this ESD is represented. These situations include grazing gradients to water sources, fence-line contrasts, patches with differing dates of fire, herbicide treatment, tillage, etc. Reference State 1 illustrates the common plant communities that probably existed just prior to European settlement.
The major successional pathways within states, (“community pathways”) are indicated by arrows between phases. “Transitions” are indicated by arrows between states. The drivers of these changes are indicated in codes decipherable by referring to the legend at the bottom of the page and by reading the detailed narratives that follow the diagram. The transition between Reference State 1 and State 2 is considered irreversible because of the naturalization of exotic species of both flora and fauna, possible extinction of native species, and climate change. There may have also been accelerated soil erosion.
When available, monitoring data (of various types) were employed to validate more subjective inferences made in this diagram. See the complete files in the office of the State Range Conservationist for more details.
The plant communities shown in this State and Transition Model may not represent every possibility, but are probably the most prevalent and recurring plant communities. As more monitoring data are collected, some phases or states may be revised, removed, or new ones may be added. None of these plant communities should necessarily be thought of as “Desired Plant Communities.” According to the USDA NRCS National Range and Pasture Handbook (USDA-NRCS 2003), Desired Plant Communities (DPC’s) will be determined by the decision-makers and will meet minimum quality criteria established by the NRCS. The main purpose for including descriptions of a plant community is to capture the current knowledge at the time of this revision.
State 1: Reference State
The Reference State is a description of this ecological site just prior to Euro-American settlement but long after the arrival of Native Americans. The description of the Reference State was determined by NRCS Soil Survey Type Site Location information and familiarity with rangeland relict areas where they exist. The pre-settlement climax plant community (1.1) would have been a grassland (meadow) dominated by a rich mixture of native grasses and grass-likes such as meadow sedge (Carex praticola), tufted hairgrass (Deschampsia cespitosa), timothy (Phleum pratense), slender wheatgrass (Elymus trachycaulus), mountain brome (Bromus marginatus), and muttongrass (Poa fendleriana). Minor amounts (less than 15 percent) of forage production was due to native perennial forbs. Mesic shrubs such as silver sagebrush (Artemisia cana ssp. viscidula) and Woods’ rose (Rosa woodsii) were only minor components in the Reference State. A more complete list of species by lifeform for the Reference State is available in accompanying tables in the “Plant Community Composition by Weight and Percentage” section of this document.
Community Phase 1.1: meadow sedge & tufted hairgrass
Community Phase 1.1 would have been dominated by assorted grasses and grass-likes with a very minor component of mesic shrubs. Grasses and grass-likes would have included meadow sedge, tufted hairgrass, timothy, slender wheatgrass, mountain brome, and muttongrass.
Transition T1a: from State 1 to State 2 (Reference State to Meadow Sedge & Tufted Hairgrass/ Introduced Non-natives State)
The simultaneous introduction of exotic species, both plants and animals, possible extinctions of native flora and fauna, and climate change has caused State 1 to transition to State 2. Reversal of such historic changes (i.e. a return pathway) back to State 1 is not practical.
State 2: Meadow Sedge & Tufted Hairgrass/ Introduced Non-natives State
State 2 is identical to State 1 in form and function, with the exception of the presence of non-native plants and animals, possible extinctions of native species, and a different climate. State 2 is a description of the ecological site shortly following Euro-American settlement. This state can be regarded as the current potential. Grasses and grass-likes would have included meadow sedge, tufted hairgrass, timothy, slender wheatgrass, mountain brome, and muttongrass. These meadows were key in the agricultural development of the lowlands. A very high percentage of these sites were homesteaded and altered by having livestock pasturage, haying, leveling, and irrigation. Native species more tolerant of disturbance (e.g. curlycup gumweed (Grindelia squarrosa), foxtail barley (Hordeum jubatum), Rocky Mountain iris (Iris missouriensis), bull thistle (Cirsium vulgare), sedges (Carex spp.), and timothy increased relative to the less grazing tolerant and palatable grasses and grass-likes such as meadow sedge and tufted hairgrass. Additionally, exotics such as common dandelion (Taraxacum officinale), timothy, Kentucky bluegrass (Poa pratensis), and meadow fescue (Schedonorus pratensis) increased. In general, species richness declined and species equitability became more concentrated in fewer dominants. The single most important impact was whether irrigation took place to supplement the hydrologic input. In the cold temperatures of Rich County, where crop maturation has been a problem (Parson 1996), haying and pasturing have been the more sustainable pattern. Early flooding at the time of peak snowmelt in the watersheds above (May and June) has been the usual pattern.
When a single hay crop is taken in August and the subsequent crop aftermath is grazed by livestock in the fall (T2a), the resulting vegetation becomes dominated by creeping bentgrass (Agrostis stolonifera) and timothy (State 3). If the land use pattern is a single spring flood irrigation followed by heavy growing season livestock grazing (T2b), this results in a sward more dominated by sedges (State 4). If these areas become fenced and heavily grazed season long (T2c), the more palatable herbs are lost, and mesic shrubs such as silver sagebrush and white sagebrush (Artemisia ludoviciana), and the less palatable grass-likes, especially rushes (Juncus spp.), and forbs such as common dandelion and curlycup gumweed come to prevail (State 5). With subsequent intensified management (e.g. mowing, hay making, fertilization) State 5 can be turned into either State 3 (T5a) or State 4 (T5b). State 4, with deferred grazing during the growing season (T4a), can turn into State 3. Since there are now many exotics present and irrigation systems are unlikely to be dismantled (to restore the original hydrologic regime), a return to the Reference State is not thought possible. Although it would be possible to plow and reseed State 5 with improved exotic forage grasses without subsequent irrigation (T5c), this alternative (State 6) would probably stand up to economic scrutiny or social acceptability for public land.
Community Phase 2.1: meadow sedge & tufted hairgrass
This plant community is dominated by assorted grasses and grass-likes with a very minor component of mesic shrubs. Grasses and grass-likes include meadow sedge, tufted hairgrass, timothy, slender wheatgrass, mountain brome, and muttongrass.
Transition T2a: from State 2 to State 3 (Meadow Sedge and Tufted Hairgrass/ Introduced Non-natives State to Creeping Bentgrass/ Timothy State)
The Meadow Sedge and Tufted Hairgrass/ Introduced Non-natives State will transition to the Creeping Bentgrass/ Timothy State with haying and pasturing followed by prescribed grazing of cattle during fall months. The approach to this transition is indicated by changes in species composition (i.e. increases in creeping bentgrass and timothy, and decreases in meadow sedge and tufted hairgrass). The trigger causing this transition is fall livestock grazing.
Transition T2b: from State 2 to State 4 (Meadow Sedge and Tufted Hairgrass/ Introduced Non-natives State to Sedge State)
The Meadow Sedge and Tufted Hairgrass/ Introduced Non-natives State will transition to the Sedge State where single spring flood irrigation is followed by heavy growing season livestock grazing. The approach to this transition is indicated by changes in species composition (i.e. an increase in sedges, and a decrease in tufted hairgrass. The trigger causing this transition is single spring flood irrigation followed by heavy growing season livestock grazing.
Transition T2c: from State 2 to State 5 (Meadow Sedge and Tufted Hairgrass/ Introduced Non-natives State to Silver Sagebrush State)
The Meadow Sedge & Tufted Hairgrass/ Introduced Non-natives State will transition to the Silver Sagebrush State when fencing is minimal and the area is heavily grazed season long. The approach to this transition is indicated by changes in species composition (i.e. an increase in unpalatable species such as silver sagebrush, rushes, curlycup gumweed, and common dandelion). The trigger causing this transition is heavy continuous growing season-long grazing.
State 3: Creeping Bentgrass/ Timothy State
The native grasses creeping bentgrass and timothy are the dominants of this plant community. This plant community is encouraged by fall livestock grazing.
Community Phase 3.1: creeping bentgrass/ timothy
Creeping bentgrass and timothy are the dominant species in this plant community.
State 4: Sedge State
Sedges, particularly meadow sedge, will dominate this plant community. This plant community is encouraged by spring flooding (either naturally or by irrigation) followed by heavy growing season livestock grazing. Heavy growing season grazing following flooding encourages the stability of this State. Changes in season of use and levels of use will reduce the stability of this State (i.e. will encourage transition to another State).
Community Phase 4.1: sedge-dominated
A single spring flood irrigation followed by heavy growing season livestock grazing results in a sward more dominated by sedges.
Transition T4a: from State 4 to State 3 (Sedge State to Creeping Bentgrass/ Timothy State)
The Sedge State will transition to the Creeping Bentgrass/ Timothy State when growing season grazing is deferred. This takes place due to differences in the palatability of the species dominating each State. The approach to this transition is indicated by changes in species composition (i.e. an increase in creeping bentgrass and timothy, and a decrease in sedges). The trigger causing this transition is the change in grazing regime.
State 5: Silver Sagebrush State
Mesic shrubs such as silver sagebrush and white sagebrush, and the less palatable grass-likes, especially rushes, and forbs such as common dandelion and curlycup gumweed will dominate this plant community. These plant communities are produced when these areas are fenced and heavily grazed season long. This stability of this State is maintained by continued season long utilization of the relatively palatable species, leaving the less palatable species. A reduction of growing season utilization and/or a switch to non-growing season use will reduce the stability of this State (i.e. will encourage transition to another State).
Community Phase 5.1: silver sagebrush/ rush/ gumweed and dandelion
This Phase is dominated by less palatable species such as silver sagebrush, rushes, common dandelion and curlycup gumweed.
Transition T5a: from State 5 to State 3 (Silver Sagebrush State to Creeping Bentgrass/ Timothy State)
The Silver Sagebrush State transition to the Creeping Bentgrass/ Timothy State will be triggered when sites are inundated by flood or sprinkler irrigation followed by fall livestock utilization. The approach to this transition is indicated by a change in relative abundance of different species (i.e. an increase in creeping bentgrass and timothy and a decrease in unpalatable herbs and silver sagebrush).
Transition T5b: from State 5 to State 4 (Silver Sagebrush State to Sedge State)
The Silver Sagebrush State transition to the Sedge State will be triggered when sites are inundated by flood or sprinkler irrigation followed by growing season long livestock utilization. The approach to this transition is indicated by a change in relative abundance of different species (i.e. an increase in sedges and a decrease in unpalatable herbs and silver sagebrush).
Transition T5c: from State 5 to State 4 (Silver Sagebrush State to Exotic Grasses Monoculture State)
The Silver Sagebrush State will transition to the Exotic Grass Monoculture State when the site is plowed and reseeded with improved exotic forage grasses such as meadow foxtail (Alopecurus pratensis), tall oatgrass (Arrhenatherum elatius), colonial bentgrass (Agrostis capillaris), bluejoint (Calamagrostis canadensis), or slimstem reedgrass (Calamagrostis stricta) without subsequent irrigation.
State 6: Exotic Grass Monoculture State
Monocultures of exotic grasses such as meadow foxtail, tall oatgrass, colonial bentgrass, bluejoint, or slimstem reedgrass are found at sites where plowing and re-seeding has taken place to improve forage for livestock.
Community Phase 6.1: exotic grass monoculture
This plant community is a monoculture of an exotic grass such as foxtail, tall oatgrass, colonial bentgrass, bluejoint, or slimstem reedgrass.