Natural Resources
Conservation Service
Ecological site R023XY019NV
LOAMY 16+ P.Z.
Last updated: 4/10/2025
Accessed: 12/20/2025
General information
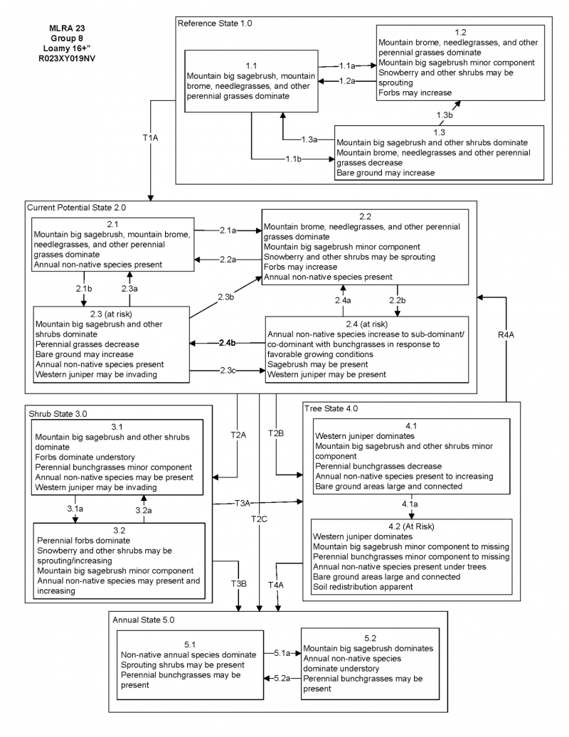
Provisional. A provisional ecological site description has undergone quality control and quality assurance review. It contains a working state and transition model and enough information to identify the ecological site.
Ecological site concept
Currently there is only a draft of the initial concept for this ecological site. The initial concept for this site places it within the Loamy 14-18 PZ Mountain Big Sagebrush and Mountain Brome Ecological Site Group. To view the General STM and other information available for this ESG please go to https://edit.jornada.nmsu.edu/catalogs/esg/023X/R023XY908NV
The Loamy 16+” (023XY019NV) ecological site is the modal site for this group as it has the most acres mapped. This site occurs on mostly concave mountain and plateau sideslopes on all aspects. At lower elevations this site is restricted to cool, moist, northerly exposures. Slopes range from 2 to 50 percent, but slope gradients of 2 to less than 30 percent are most typical. Elevations are 6500 to 9000 feet. Average annual precipitation is 16 to over 20 inches. The soils of this site have formed in colluvium derived from volcanic rock or mixed parent materials. The soils are deep, fertile, and well drained. These soils have thick, dark-colored, medium-textured surface layers. Subsoils are friable loams, clay loams, or clays. Soil temperature regime is cryic and soils are neutral to slightly acidic and non-calcareous. Sheet and rill erosion potential is slight to moderate depending on the slope. Few overland flow patterns are discernible. Wind erosion potential is slight. These soils present very few limitations to the growth of native vegetation. The plant community is dominated by mountain brome, Columbia needlegrass (Achnatherum nelsonii), western needlegrass (Achnatherum occidentale), and mountain big sagebrush. Snowberry (Symphoricarpos oreophilus) is often present. Annual production is 1800 lbs/ac in normal years.
Associated sites
| F023XY028NV |
Backslope Aspen |
|---|---|
| R023XY007NV |
LOAMY 14-16 P.Z. |
| R023XY015NV |
STONY LOAM 12-14 P.Z. |
| R023XY017NV |
CLAYPAN 14-16 P.Z. |
| R023XY065NV |
LOAMY SLOPE 16+ P.Z. |
| R023XY066NV |
ASHY LOAM 14-16 P.Z. |
Similar sites
| R023XY066NV |
ASHY LOAM 14-16 P.Z. FEID dominant grass |
|---|---|
| R023XY048NV |
GRANITIC SLOPE 16+ P.Z. less productive site |
| R023XY084NV |
DEEP LOAMY 14-16 P.Z. FEID dominant grass; less productive site |
| R023XY065NV |
LOAMY SLOPE 16+ P.Z. on straight to convex sideslopes;less productive site |
| R023XY007NV |
LOAMY 14-16 P.Z. PSSPS-FEID codominant; less productive site |
Table 1. Dominant plant species
| Tree |
Not specified |
|---|---|
| Shrub |
(1) Artemisia tridentata var. vaseyana |
| Herbaceous |
(1) Bromus marginatus |
Click on box and path labels to scroll to the respective text.