Natural Resources
Conservation Service
Ecological site R023XY042NV
GRANITIC SOUTH SLOPE 12-14 P.Z.
Last updated: 4/10/2025
Accessed: 12/21/2025
General information
Provisional. A provisional ecological site description has undergone quality control and quality assurance review. It contains a working state and transition model and enough information to identify the ecological site.
Ecological site concept
Currently there is only a draft of the initial concept for this ecological site. The initial concept for this site places it within the Loamy 10-20 PZ Mountain Big Sagebrush and Bluebunch Wheatgrass Ecological Site Group. To view the General STM and other information available for this ESG please go to https://edit.jornada.nmsu.edu/catalogs/esg/023X/R023XY905NV
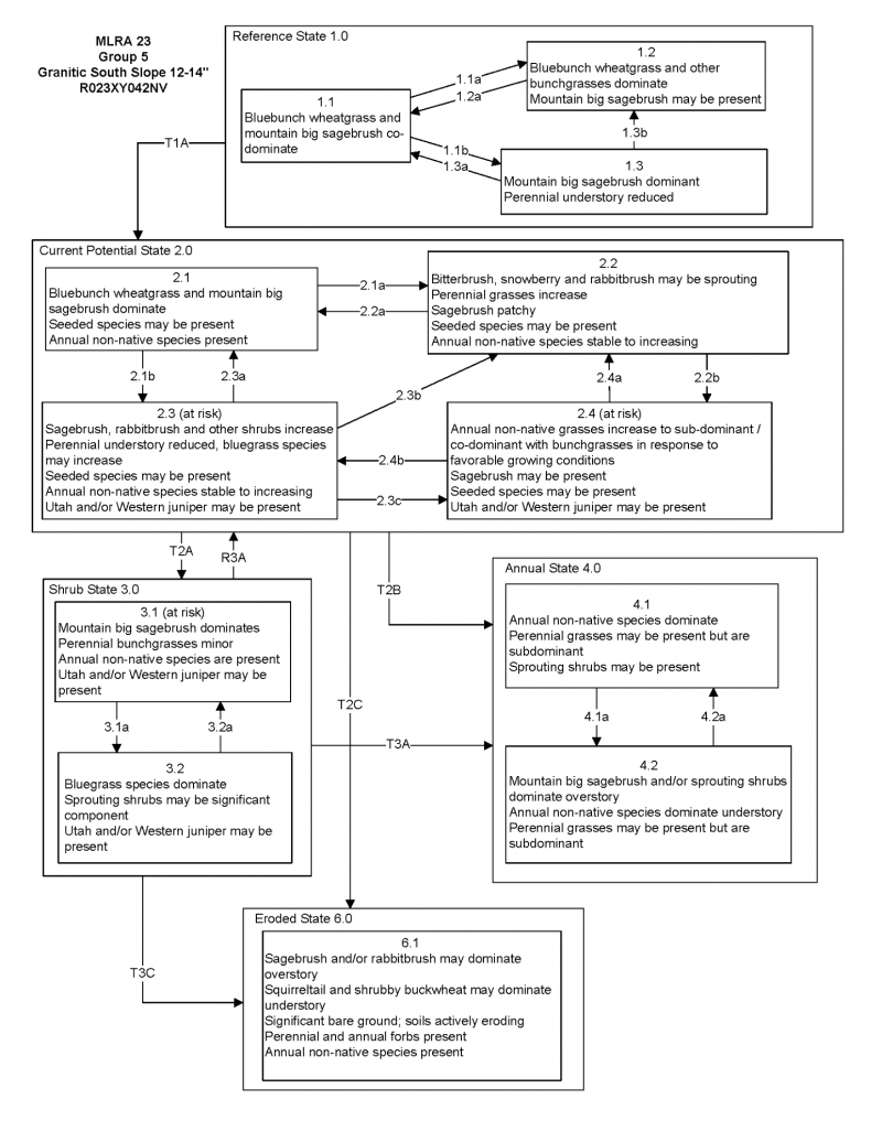
This site has a similar plant community to the modal site but is significantly less productive with only 800 lbs/ac in normal years. The soils of this site have formed in residuum and colluvium derived from granitic rock sources. The soils are well drained, runoff is medium to very rapid, and permeability is moderately slow. This site does not have a tree state but can have an eroded state that might occur if thunderstorms occur after a fire (T3C). Bare ground will be significant with flow paths and soil redistribution visible on the landscape. This site has five stable states, however it has an eroded state but does not have a tree state.
Associated sites
| R023XY043NV |
GRANITIC SLOPE 14-16 P.Z. |
|---|---|
| R023XY048NV |
GRANITIC SLOPE 16+ P.Z. |
| R023XY049NV |
GRANITIC SOUTH SLOPE 8-12 P.Z. |
| R023XY050NV |
STONY GRANITIC SLOPE 14+ P.Z. |
| R023XY058NV |
GRANITIC LOAM 14-16 P.Z. |
| R023XY068NV |
GRANITIC LOAM 8-10 P.Z. |
Similar sites
| R023XY049NV |
GRANITIC SOUTH SLOPE 8-12 P.Z. lower elevations; less productive site |
|---|---|
| R023XY016NV |
SOUTH SLOPE 12-16 P.Z. Higher elevations; more productive site |
| R023XY020NV |
LOAMY 10-12 P.Z. ACTH7-PSSPS codominant; lower elevations |
| R023XY041NV |
LOAMY 12-14 P.Z. LECI4 major species; more productive site |
| R023XY039NV |
LOAMY SLOPE 10-14 P.Z. ARTRW8 typically dominant shrub; soils not from granitic parent material |
Table 1. Dominant plant species
| Tree |
Not specified |
|---|---|
| Shrub |
(1) Artemisia tridentata var. vaseyana |
| Herbaceous |
(1) Pseudoroegneria spicata ssp. spicata |
Click on box and path labels to scroll to the respective text.