Natural Resources
Conservation Service
Ecological site R023XY043NV
GRANITIC SLOPE 14-16 P.Z.
Last updated: 4/10/2025
Accessed: 12/21/2025
General information
Provisional. A provisional ecological site description has undergone quality control and quality assurance review. It contains a working state and transition model and enough information to identify the ecological site.
Ecological site concept
Currently there is only a draft of the initial concept for this ecological site. The initial concept for this site places it within the Loamy 10-20 PZ Mountain Big Sagebrush and Bluebunch Wheatgrass Ecological Site Group. To view the General STM and other information available for this ESG please go to https://edit.jornada.nmsu.edu/catalogs/esg/023X/R023XY905NV
This site is significantly less productive than the modal site with 700 lbs/ac in normal years. The soils in this site are formed in colluvium or residuum from granitic rock sources. They are moderately deep and coarse-textured with low available water capacity and moderately rapid permeability. Unlike the group modal site, the dominant grass in this site is Idaho fescue with bluebunch wheatgrass, bluegrasses and needlegrass as subdominants. This site has four states (no tree state).
Associated sites
| R023XY008NV |
MOUNTAIN RIDGE |
|---|---|
| R023XY042NV |
GRANITIC SOUTH SLOPE 12-14 P.Z. |
| R023XY048NV |
GRANITIC SLOPE 16+ P.Z. |
| R023XY050NV |
STONY GRANITIC SLOPE 14+ P.Z. |
| R023XY058NV |
GRANITIC LOAM 14-16 P.Z. |
Similar sites
| R023XY048NV |
GRANITIC SLOPE 16+ P.Z. more productive site; BRMA4 dominant grass |
|---|---|
| R023XY007NV |
LOAMY 14-16 P.Z. More productive site |
| R023XY058NV |
GRANITIC LOAM 14-16 P.Z. more productive site; ACHNA ssp. dominant grass |
| R023XY054NV |
STEEP NORTH SLOPE FEID dominant plant; more productive site |
| R023XY061NV |
MOUNTAIN SHOULDERS 14-18 P.Z. Gentler slopes; PSSPS not codominant; ACHNA ssp. major grass |
Table 1. Dominant plant species
| Tree |
Not specified |
|---|---|
| Shrub |
(1) Artemisia tridentata ssp. vaseyana |
| Herbaceous |
(1) Festuca idahoensis |
Physiographic features
This site occurs on steep mountain sideslopes on all aspects. At lower elevations, this site occurs on mostly northerly aspects. Slopes range from 15 to 75 percent, but slope gradients of 30 to 50 percent are most typical. Elevations are 4000 to 8500 feet.
Table 2. Representative physiographic features
| Landforms |
(1)
Mountain slope
|
|---|---|
| Elevation | 4,000 – 8,500 ft |
| Slope | 15 – 75% |
Climatic features
The climate associated with this site is semiarid and characterized by cold, moist winters and warm, dry summers. Average annual precipitation is 12 to 16 inches. Mean annual air temperature is 42 to 46 degrees F. The average growing season is about 60 to 90 days.
Nevada’s climate is predominantly arid, with large daily ranges of temperature, infrequent severe storms, heavy snowfall in the higher mountains, and great location variations with elevation. Three basic geographical factors largely influence Nevada’s climate: continentality, latitude, and elevation. Continentality is the most important factor. The strong continental effect is expressed in the form of both dryness and large temperature variations. Nevada lies on the eastern, lee side of the Sierra Nevada Range, a massive mountain barrier that markedly influences the climate of the State. The prevailing winds are from the west, and as the warm moist air from the Pacific Ocean ascend the western slopes of the Sierra Range, the air cools, condensation occurs and most of the moisture falls as precipitation. As the air descends the eastern slope, it is warmed by compression, and very little precipitation occurs. The effects of this mountain barrier are felt not only in the West but throughout the state, with the result that the lowlands of Nevada are largely desert or steppes. The temperature regime is also affected by the blocking of the inland-moving maritime air. Nevada sheltered from maritime winds, has a continental climate with well-developed seasons and the terrain responds quickly to changes in solar heating.
Nevada lies within the mid-latitude belt of prevailing westerly winds which occur most of the year. These winds bring frequent changes in weather during the late fall, winter and spring months, when most of the precipitation occurs. To the south of the mid-latitude westerlies, lies a zone of high pressure in subtropical latitudes, with a center over the Pacific Ocean. In the summer, this high-pressure belt shifts northward over the latitudes of Nevada, blocking storms from the ocean. The resulting weather is mostly clear and dry during the summer and early fall, with scattered thundershowers. The eastern portion of the state receives significant summer thunderstorms generated from monsoonal moisture pushed up from the Gulf of California, known as the North American monsoon. The monsoon system peaks in August and by October the monsoon high over the Western U.S. begins to weaken and the precipitation retreats southward towards the tropics (NOAA 2004).
Average annual precipitation is 16 to over 20 inches. Mean annual air temperature is 41 to 44 degrees F. The average growing season is about 50 to 70 days.
Mean annual precipitaion at the Bear Creek, Nevada SNOTEL station (170501020301) is 37.69 inches.
monthly mean precipitation is:
January 3.84; February 3.75; March 4.38; April 4.9;
May 3.99; June 2.82; July .95; August 1.66;
September 1.22; October 2.12;
November 3.67; December 4.38.
Table 3. Representative climatic features
| Frost-free period (average) | 75 days |
|---|---|
| Freeze-free period (average) | |
| Precipitation total (average) | 14 in |
Figure 1. Monthly precipitation range
Figure 2. Monthly average minimum and maximum temperature
Figure 3. Annual precipitation pattern
Figure 4. Annual average temperature pattern
Influencing water features
There are no influencing water features associated with this site.
Soil features
The soils associated with this site are formed in colluvium or residuum from granitic rock sources. These soils are generally moderately deep and are coarse textured throughout the soil profile. The available water capacity is very low to moderate. Soil reaction ranges from slightly acid at the surface to neutral in the subsoil. These soils are well to somewhat excessively drained, runoff is low to high, and permeability is moderately rapid. The soil series associated with this site include: Ola, Shively, and Upsel.
Table 4. Representative soil features
| Parent material |
(1)
Colluvium
–
granite
|
|---|---|
| Surface texture |
(1) Very bouldery sandy loam (2) Loam (3) Gravelly loamy coarse sand |
| Family particle size |
(1) Loamy |
| Drainage class | Well drained to somewhat excessively drained |
| Permeability class | Moderately rapid |
| Soil depth | 24 – 84 in |
| Surface fragment cover <=3" | 27 – 72% |
| Surface fragment cover >3" | 12% |
| Available water capacity (0-40in) |
2.4 – 5.9 in |
| Calcium carbonate equivalent (0-40in) |
Not specified |
| Electrical conductivity (0-40in) |
Not specified |
| Sodium adsorption ratio (0-40in) |
Not specified |
| Soil reaction (1:1 water) (0-40in) |
6.1 – 7.8 |
| Subsurface fragment volume <=3" (Depth not specified) |
5 – 27% |
| Subsurface fragment volume >3" (Depth not specified) |
11% |
Ecological dynamics
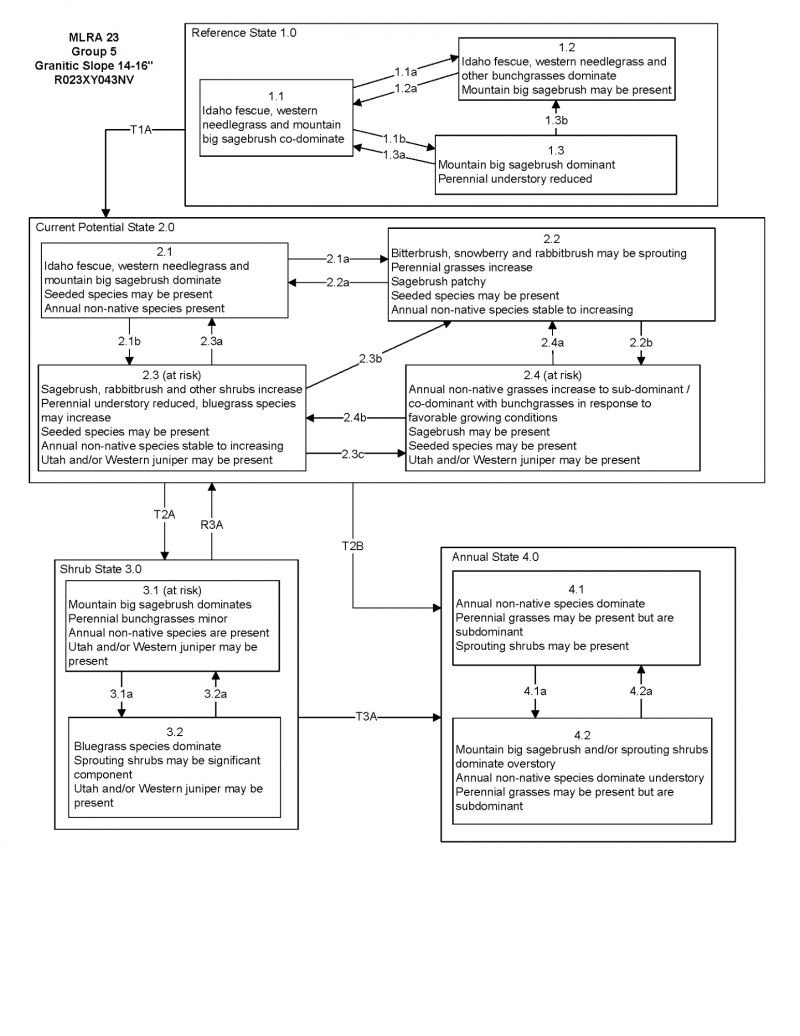
Where management results in abusive grazing use by livestock and/or feral horses, Idaho fescue and bluebunch wheatgrass decrease. Mountain big sagebrush, and snowberry increase in the overstory with increases of bluegrasses and bottlebrush squirreltail in the understory. Cheatgrass and other annuals are plants likely to invade this site.
Fire Ecology:
Presettlement fire return intervals in mountain big sagebrush communities varied from 15 to 25 years. Plants are readily killed in all seasons, even light severity fires. Mountain big sagebrush is highly susceptible to injury from fire. It is often top-killed by fire and will not resprout. Common snowberry is classified as a sprouter and has high resistance to fire. It is a rhizomatous species with rhizomes buried 2 to 5 inches (5-12.5 cm) deep in mineral soil. After fire has killed the top of the plant, new growth sprouts from these rhizomes. This rhizomatous growth response is highly variable and depends on conditions at specific sites. Regeneration from buried seed is favored by fires of low severity and short duration that remove little of the soil organic level. Antelope bitterbrush is considered a weak sprouter and is often killed by summer or fall fire. Antelope bitterbrush in some areas may sprout after light-severity spring fire. High fuel consumptions increase antelope bitterbrush mortality and therefore favors seedling establishment. Idaho fescue grows in a dense, fine-leaved tuft. Fires tend to burn within the accumulated fine leaves at the base of the plant and may produce temperatures sufficient to kill some of the root crown. Mature Idaho fescue plants are commonly reported to be severely damaged by fire in all seasons. Burning bluebunch wheatgrass may remove most of the aboveground biomass but does not usually result in plant mortality. Bluebunch wheatgrass is generally favored by burning. Burning stimulates flowering and seed production. However, season of burning affects mortality. Bluegrass is generally unharmed by fire. It produces little litter, and its small bunch size and sparse litter reduces the amount of heat transferred to perennating buds in the soil. Its rapid maturation in the spring also reduces fire damage, since it is dormant when most fires occur.
State and transition model
More interactive model formats are also available.
View Interactive Models
Click on state and transition labels to scroll to the respective text
Ecosystem states
State 1 submodel, plant communities
State 1
Reference Plant Community
Community 1.1
Reference Plant Community
The reference plant community is dominated by Idaho fescue and mountain big sagebrush. Potential vegetative composition is about 55% grasses, 15% forbs, and 30% shrubs. Approximate ground cover (basal and crown) is about 35 to 45 percent.
Figure 5. Annual production by plant type (representative values) or group (midpoint values)
Table 5. Annual production by plant type
| Plant type | Low (lb/acre) |
Representative value (lb/acre) |
High (lb/acre) |
|---|---|---|---|
| Grass/Grasslike | 248 | 385 | 715 |
| Shrub/Vine | 135 | 210 | 390 |
| Forb | 67 | 105 | 195 |
| Total | 450 | 700 | 1300 |
Additional community tables
Table 6. Community 1.1 plant community composition
| Group | Common name | Symbol | Scientific name | Annual production (lb/acre) | Foliar cover (%) | |
|---|---|---|---|---|---|---|
|
Grass/Grasslike
|
||||||
| 1 | Primary Perennial Grasses | 329–546 | ||||
| Idaho fescue | FEID | Festuca idahoensis | 210–280 | – | ||
| bluebunch wheatgrass | PSSPS | Pseudoroegneria spicata ssp. spicata | 105–210 | – | ||
| bluegrass | POA | Poa | 14–56 | – | ||
| 2 | Secondary Perennial Grasses/Grasslikes | 35–70 | ||||
| Columbia needlegrass | ACNEN2 | Achnatherum nelsonii ssp. nelsonii | 4–21 | – | ||
| Thurber's needlegrass | ACTH7 | Achnatherum thurberianum | 4–21 | – | ||
| sedge | CAREX | Carex | 4–21 | – | ||
| basin wildrye | LECI4 | Leymus cinereus | 4–21 | – | ||
|
Forb
|
||||||
| 3 | Perennial | 63–140 | ||||
| arrowleaf balsamroot | BASA3 | Balsamorhiza sagittata | 14–35 | – | ||
| tapertip hawksbeard | CRAC2 | Crepis acuminata | 14–35 | – | ||
| buckwheat | ERIOG | Eriogonum | 4–21 | – | ||
| lupine | LUPIN | Lupinus | 4–21 | – | ||
| phlox | PHLOX | Phlox | 4–21 | – | ||
| Indian paintbrush | CASTI2 | Castilleja | 4–21 | – | ||
|
Shrub/Vine
|
||||||
| 4 | Primary Shrubs | 268–210 | ||||
| mountain big sagebrush | ARTRV | Artemisia tridentata ssp. vaseyana | 105–140 | – | ||
| antelope bitterbrush | PUTR2 | Purshia tridentata | 14–35 | – | ||
| snowberry | SYMPH | Symphoricarpos | 14–35 | – | ||
| 5 | Secondary Shrubs | 35–70 | ||||
| yellow rabbitbrush | CHVI8 | Chrysothamnus viscidiflorus | 7–21 | – | ||
| currant | RIBES | Ribes | 7–21 | – | ||
Interpretations
Animal community
Livestock Interpretations:
This site is suitable for livestock grazing. Grazing management should be keyed to perennial grass production. Idaho fescue provides important forage for many types of domestic livestock. The foliage cures well and is preferred by livestock in late fall and winter. Bluebunch wheatgrass is considered one of the most important forage grass species on western rangelands for livestock. Although bluebunch wheatgrass can be a crucial source of forage, it is not necessarily the most highly preferred species. Bluegrass is a widespread forage grass. It is one of the earliest grasses in the spring and is sought by domestic livestock and several wildlife species. Bluegrass is a palatable species, but its production is closely tied to weather conditions. It produces little forage in drought years, making it a less dependable food source than other perennial bunchgrasses. Mountain big sagebrush is eaten by domestic livestock but has long been considered to be of low palatability, and a competitor to more desirable species. Common snowberry is considered important browse for many types of livestock. It is especially important to domestic sheep and cattle. Common snowberry was found to be highly palatable to cattle. It plays a critical role in permitting cattle to meet their protein requirements during the latter half of the growing season. Domestic sheep also utilize common snowberry for browse and it is considered fair to good forage. It is has no forage value for horses. Antelope bitterbrush is important browse for livestock. Domestic livestock and mule deer may compete for antelope bitterbrush in late summer, fall, and/or winter. Cattle prefer antelope bitterbrush from mid-May through June and again in September and October.
Stocking rates vary over time depending upon season of use, climate variations, site, and previous and current management goals. A safe starting stocking rate is an estimated stocking rate that is fine tuned by the client by adaptive management through the year and from year to year.
Wildlife Interpretations:
Mountain big sagebrush is highly preferred and nutritious winter forage for mule deer and elk. Sagebrush-grassland communities provide critical sage-grouse breeding and nesting habitats. Meadows surrounded by sagebrush may be used as feeding and strutting grounds. Sagebrush is a crucial component of their diet year-round, and sage-grouse select sagebrush almost exclusively for cover. Sage-grouse prefer mountain big sagebrush and Wyoming big sagebrush communities to basin big sagebrush communities. Common snowberry is considered important browse for many types of wildlife. Bighorn sheep use common snowberry regularly during the summer. Forage value to elk is fair. Common snowberry is important as both cover and food for bird and small mammal populations. These include sharp-tailed, ruffed, and blue grouse, wild turkey and, several non-game species of bird including the kingbird, western flycatcher, and western bluebird. Among small mammals that rely on common snowberry are fox squirrels, desert cottontails, and pocket gopher. Pronghorn antelope, mule deer, elk, and bighorn sheep utilize antelope bitterbrush extensively. Mule deer use of antelope bitterbrush peaks in September, when antelope bitterbrush may compose 91 percent of the diet. Winter use is greatest during periods of deep snow. Antelope bitterbrush seed is a large part of the diets of rodents, especially deer mice and kangaroo rats. Idaho fescue provides important forage for several wildlife species. It is reported to be good forage for pronghorn, and deer in ranges of northern Nevada. Bluebunch wheatgrass is considered one of the most important forage grass species on western rangelands for wildlife. Bluebunch wheatgrass does not generally provide sufficient cover for ungulates, however, mule deer are frequently found in bluebunch-dominated grasslands. Bluegrass is desirable for pronghorn antelope and mule deer in the spring and preferable in the spring, summer, and fall for elk and desirable as part of their winter range.
Hydrological functions
Runoff is low to high. Permeability is moderately rapid. Hydrologic soil group is A, B, and C. Rills are none to rare. Rock fragments armor the surface. Water flow patterns are none to rare. Rock fragments armor the surface. Pedestals are none to rare. Frost heaving of shallow rooted plants should not be considered a "normal" condition. Gullies are none. Perennial herbaceous plants (especially deep-rooted bunchgrasses) slow runoff and increase infiltration. Shrub canopy and associated litter break raindrop impact and provide opportunity for snow catch and accumulation on site.
Recreational uses
Aesthetic value is derived from the diverse floral and faunal composition and the colorful flowering of wild flowers and shrubs during the spring and early summer. This site offers rewarding opportunities to photographers and for nature study. This site is used for hiking and has potential for upland and big game hunting.
Other products
Native Americans used big sagebrush leaves and branches for medicinal teas, and the leaves as a fumigant. Bark was woven into mats, bags and clothing. Common snowberry fruits were eaten fresh and also dried for winter use. Common snowberry was used on hair as soap, and the fruits and leaves mashed and applied to cuts or skin sores as a poultice and to soothe sore, runny eyes. Tea from the bark was used as a remedy for tuberculosis and sexually transmitted diseases. A brew made from the entire plant was used as a physic tonic. Arrowshafts and pipestems were made from the stems.
Other information
Antelope bitterbrush has been used extensively in land reclamation. Antelope bitterbrush enhances succession by retaining soil and depositing organic material and in some habitats and with some ecotypes, by fixing nitrogen.
Supporting information
Type locality
| Location 1: Humboldt County, NV | |
|---|---|
| Township/Range/Section | T47N R31E S15 |
| UTM zone | N |
| UTM northing | 376208 |
| UTM easting | 4645830 |
| Latitude | 41° 57′ 17″ |
| Longitude | 118° 29′ 37″ |
| General legal description | SE 1/4, Bilk Creek Mountains, Humboldt Co., Nevada. This site also occurs in Washoe County, Nevada. |
Other references
Fire Effects Information System (Online; http://www.fs.fed.us/database/feis/plants/).
USDA-NRCS Plants Database (Online; http://www.plants.usda.gov).
Contributors
CP
T Stringham (UNR under contract with BLM)
Approval
Kendra Moseley, 4/10/2025
Rangeland health reference sheet
Interpreting Indicators of Rangeland Health is a qualitative assessment protocol used to determine ecosystem condition based on benchmark characteristics described in the Reference Sheet. A suite of 17 (or more) indicators are typically considered in an assessment. The ecological site(s) representative of an assessment location must be known prior to applying the protocol and must be verified based on soils and climate. Current plant community cannot be used to identify the ecological site.
| Author(s)/participant(s) | Patti Novak-Echenique |
|---|---|
| Contact for lead author | State Rangeland Management Specialist |
| Date | 05/14/2010 |
| Approved by | Kendra Moseley |
| Approval date | |
| Composition (Indicators 10 and 12) based on | Annual Production |
Indicators
-
Number and extent of rills:
Rills are none to rare. Rock fragments armor the surface. -
Presence of water flow patterns:
Water flow patterns are none to rare. Rock fragments armor the surface. -
Number and height of erosional pedestals or terracettes:
Pedestals are none to rare. Frost heaving of shallow rooted plants should not be considered a "normal" condition. -
Bare ground from Ecological Site Description or other studies (rock, litter, lichen, moss, plant canopy are not bare ground):
Bare Ground ± 10-20%. -
Number of gullies and erosion associated with gullies:
Gullies are none. -
Extent of wind scoured, blowouts and/or depositional areas:
None -
Amount of litter movement (describe size and distance expected to travel):
Fine litter (foliage from grasses and annual & perennial forbs) expected to move distance of slope length during intense summer convection storms or rapid snowmelt events. Persistent litter (large woody material) will remain in place except during catastrophic events. -
Soil surface (top few mm) resistance to erosion (stability values are averages - most sites will show a range of values):
Soil stability values should be 3 to 6 on most soil textures found on this site. Areas of this site occurring on soils that have a physical crust will probably have stability values less than 3. (To be field tested.) -
Soil surface structure and SOM content (include type of structure and A-horizon color and thickness):
Surface structure is thin platyor granular. Soil surface colors are dark and soils are typified by a mollic epipedon. Organic matter of the surface 2 to 3 inches is typically 0.6 to 2.8 percent dropping off quickly below. Organic matter content can be more or less depending on micro-topography. -
Effect of community phase composition (relative proportion of different functional groups) and spatial distribution on infiltration and runoff:
Perennial herbaceous plants (especially deep-rooted bunchgrasses) slow runoff and increase infiltration. Shrub canopy and associated litter break raindrop impact and provide opportunity for snow catch and accumulation on site. -
Presence and thickness of compaction layer (usually none; describe soil profile features which may be mistaken for compaction on this site):
Compacted layers are not typical. Subangular blocky or massive sub-surface horizons are not to be interpreted as compacted layers. -
Functional/Structural Groups (list in order of descending dominance by above-ground annual-production or live foliar cover using symbols: >>, >, = to indicate much greater than, greater than, and equal to):
Dominant:
Reference Plant Community: Deep-rooted, cool season, perennial bunchgrasses > tall shrubs (mountain big sagebrush)Sub-dominant:
Associated shrubs > shallow-rooted, cool season, perennial bunchgrasses > deep-rooted, cool season, perennial forbs = fibrous, shallow-rooted, cool season, perennial and annual forbsOther:
Additional:
-
Amount of plant mortality and decadence (include which functional groups are expected to show mortality or decadence):
Dead branches within individual shrubs common and standing dead shrub canopy material may be as much as 25% of total woody canopy; some of the mature bunchgrasses (<20%) have dead centers. -
Average percent litter cover (%) and depth ( in):
Within plant interspaces (± 20%) and depth of litter is <½ inch. -
Expected annual annual-production (this is TOTAL above-ground annual-production, not just forage annual-production):
For normal or average growing season (end of May) ± 700 lbs/ac; Spring moisture significantly affects total production. -
Potential invasive (including noxious) species (native and non-native). List species which BOTH characterize degraded states and have the potential to become a dominant or co-dominant species on the ecological site if their future establishment and growth is not actively controlled by management interventions. Species that become dominant for only one to several years (e.g., short-term response to drought or wildfire) are not invasive plants. Note that unlike other indicators, we are describing what is NOT expected in the reference state for the ecological site:
Increasers include Douglas’ rabbitbrush. Invaders include cheatgrass, halogeton, Russian thistle, bassia, annual mustards, and knapweeds. -
Perennial plant reproductive capability:
All functional groups should reproduce in average (or normal) and above average growing season years.
Print Options
Sections
Font
Other
The Ecosystem Dynamics Interpretive Tool is an information system framework developed by the USDA-ARS Jornada Experimental Range, USDA Natural Resources Conservation Service, and New Mexico State University.
Click on box and path labels to scroll to the respective text.