Natural Resources
Conservation Service
Ecological site R023XY031NV
CLAYPAN 10-14 P.Z.
Last updated: 4/10/2025
Accessed: 12/21/2025
General information
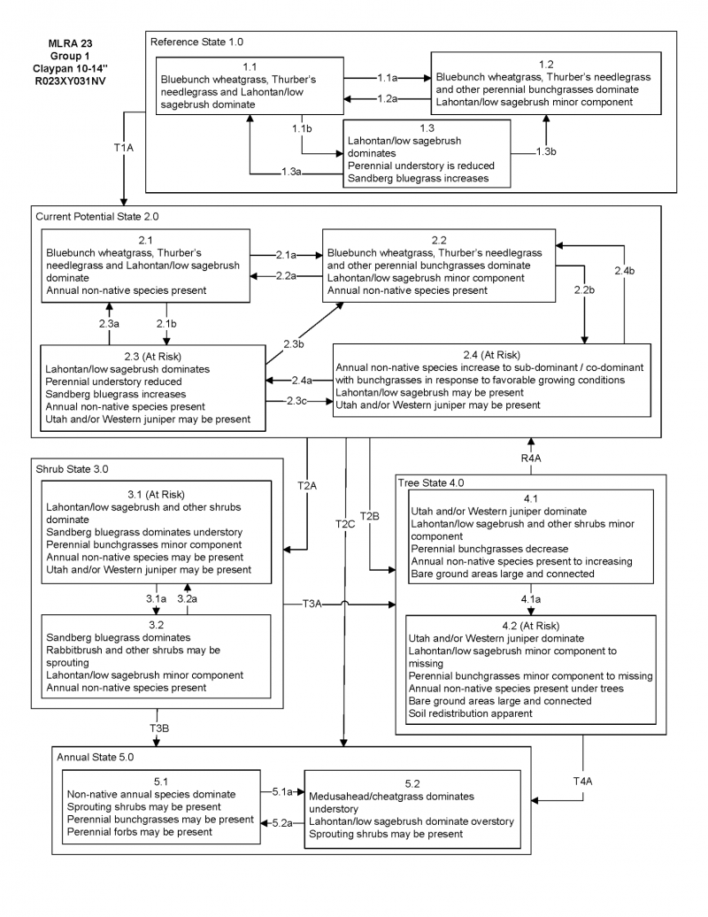
Provisional. A provisional ecological site description has undergone quality control and quality assurance review. It contains a working state and transition model and enough information to identify the ecological site.
MLRA notes
Major Land Resource Area (MLRA): 023X–Malheur High Plateau
Currently there is only a draft of the initial concept for this ecological site. The initial concept for this site places it within the Clay or Claypan ,12” PZ Low and Lahontan sagebrush and bluebunch wheatgrass/ Thurber’s needlegrass Ecological Site Group. To view the General STM and other information available for this ESG please go to https://edit.jornada.nmsu.edu/catalogs/esg/023X/R023XY901NV
The Claypan 10-14” (023XY031NV) ecological is the modal site for this group as it has the most acres mapped. This site occurs on summits and moderate slopes of hills and plateaus on all aspects. Slopes range from 2 to 30 percent, but slope gradients of 2 to 15 percent are typical. Elevations are 5500 to 7000 feet. The soils in this site have thin surface layers and are typically underlain by heavy clay subsoils that exhibit moderate to strong structure. These fine textured subsoils will swell on wetting then shrink and crack upon drying. Swelling of the subsoil with wetting in the early spring results in poor soil aeration, forming a perched water table near the surface. Infiltration of water is restricted once these soils are saturated and the site is subject to loss of water by runoff. The thin surface layer has a low available water capacity due to its limited thickness and reduction in surface layer depth results in decreased productivity of the plant community. These soils normally have a high percentage of gravels and cobbles on the surface which occupy plant growing space yet help to reduce evaporation and conserve soil moisture. Plant growth is initiated with the spring warming of these soils. Pedestalling of some grass plants is common during the winter due to frost heaving. Low sagebrush and Lahontan sagebrush are the dominant shrubs. Bluebunch wheatgrass and Thurber’s needlegrass are dominant grasses. Squawapple (Pheraphyllum ramosissimum) and antelope bitterbrush are also found on this site. Production is about 700 lbs/acre for a normal year.
Associated sites
| R023XY020NV |
LOAMY 10-12 P.Z. |
|---|---|
| R023XY021NV |
SCABLAND 10-14 P.Z. |
| R023XY039NV |
LOAMY SLOPE 10-14 P.Z. |
| R023XY041NV |
LOAMY 12-14 P.Z. |
| R023XY044NV |
VERY COBBLY CLAYPAN |
| R023XY059NV |
GRAVELLY CLAYPAN 10-12 P.Z. |
| R023XY060NV |
COBBLY CLAYPAN 8-12 P.Z. |
Similar sites
| R023XY014NV |
SHALLOW LOAM 14+ P.Z. FEID dominant grass; higher elevations |
|---|---|
| R023XY021NV |
SCABLAND 10-14 P.Z. POSE dominant grass; less productive site |
| R023XY079NV |
ASHY CLAYPAN (COOL) 10-14 P.Z. FEID dominant grass; high amounts of volcanic ash in soil |
| R023XY017NV |
CLAYPAN 14-16 P.Z. FEID-PSSPS codominant |
| R023XY044NV |
VERY COBBLY CLAYPAN POSE dominant grass; less productive site; extremely cobbly surface |
| R023XY008NV |
MOUNTAIN RIDGE FEID dominant grass; much less productive site |
| R023XY060NV |
COBBLY CLAYPAN 8-12 P.Z. less productive site; many cobbles on surface |
| R023XY059NV |
GRAVELLY CLAYPAN 10-12 P.Z. ACTH7 dominant grass; less production |
| R023XY078NV |
ASHY CLAYPAN 10-14 P.Z. more productive site; high amounts of volcanic ash in soil |
Table 1. Dominant plant species
| Tree |
Not specified |
|---|---|
| Shrub |
(1) Artemisia arbuscula |
| Herbaceous |
(1) Pseudoroegneria spicata ssp. spicata |
Click on box and path labels to scroll to the respective text.