Natural Resources
Conservation Service
Ecological site R023XY044NV
VERY COBBLY CLAYPAN
Last updated: 4/10/2025
Accessed: 12/20/2025
General information
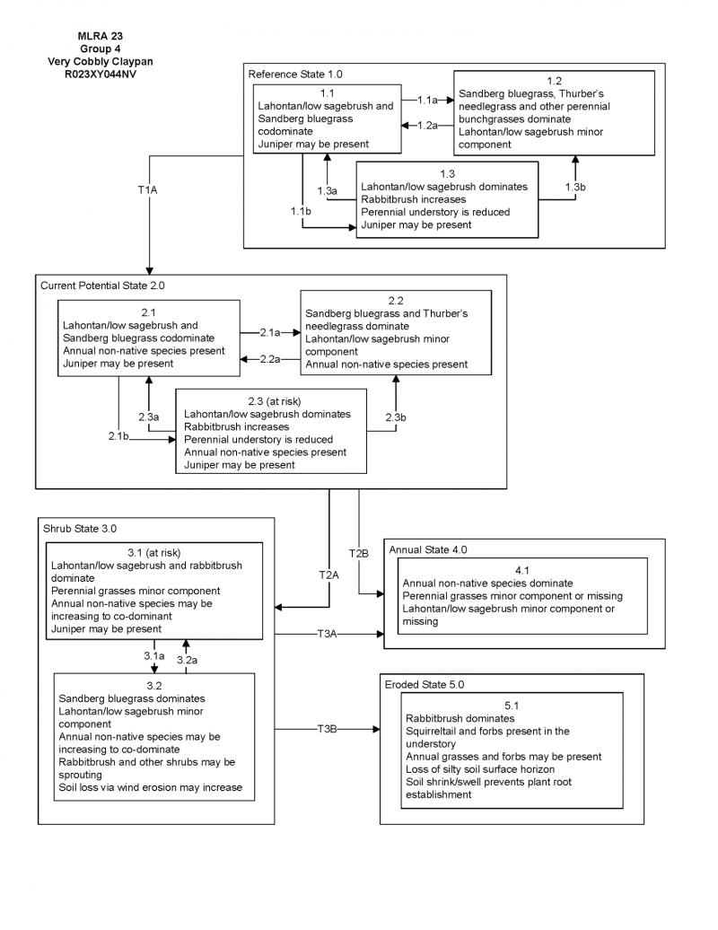
Provisional. A provisional ecological site description has undergone quality control and quality assurance review. It contains a working state and transition model and enough information to identify the ecological site.
Ecological site concept
Currently there is only a draft of the initial concept for this ecological site. The initial concept for this site places it within the Cobbly Mod Deep Clay 10-14 PZ Low or Lahontan Sagebrush and Sandberg bluegrass Ecological Site Group. To view the General STM and other information available for this ESG please go to https://edit.jornada.nmsu.edu/catalogs/esg/023X/R023XY904NV
The Very Cobbly Claypan ecological site is the modal site for this group. This site occurs
on plateau summits, on the summit and shoulders of rock pediments and upper piedmont slopes, and on interplateau basins. Slopes range from 0 to 15 percent, but slope gradients of 2 to 4 percent are most typical. Elevations are 5000 to 6500 feet. The soils from this site have formed from residuum or colluvium derived from volcanic parent materials. These soils are characterized by dark, reddish-brown, clay textured surface soils that are underlain by clayey subsoils. In many areas the soil surface is covered with a thin, light colored, layer of silt. The soil surface has very high amounts (>75% surface cover) of cobbles and/or stones that are usually tightly interlocked. The soils are subject to swelling when saturated and shrinking with drying. The plant community is dominated by low sagebrush or Lahontan sagebrush and Sandberg bluegrass. Production is about 275 lbs/acre for a normal year.
Associated sites
| R023XY001NV |
CHURNING CLAY |
|---|---|
| R023XY031NV |
CLAYPAN 10-14 P.Z. |
| R023XY033NV |
CLAYEY 10-14 P.Z. |
| R023XY047NV |
GRAVELLY CLAY 8-10 P.Z. |
| R023XY060NV |
COBBLY CLAYPAN 8-12 P.Z. |
Similar sites
| R023XY059NV |
GRAVELLY CLAYPAN 10-12 P.Z. ACTH7 dominant grass |
|---|---|
| R023XY031NV |
CLAYPAN 10-14 P.Z. PSSPS-ACTH7 codominant; more productive site |
| R023XY060NV |
COBBLY CLAYPAN 8-12 P.Z. PSSPS-ACTH7 codominant; more productive site |
| R023XY008NV |
MOUNTAIN RIDGE FEID dominant grass |
| R023XY001NV |
CHURNING CLAY ERNAW dominant shrub; fewer rock fragments at soil surface |
| R023XY021NV |
SCABLAND 10-14 P.Z. very shallow to bedrock |
Table 1. Dominant plant species
| Tree |
Not specified |
|---|---|
| Shrub |
(1) Artemisia arbuscula |
| Herbaceous |
(1) Poa secunda |
Click on box and path labels to scroll to the respective text.