Natural Resources
Conservation Service
Ecological site R023XY060NV
COBBLY CLAYPAN 8-12 P.Z.
Last updated: 4/10/2025
Accessed: 12/05/2025
General information
Provisional. A provisional ecological site description has undergone quality control and quality assurance review. It contains a working state and transition model and enough information to identify the ecological site.
Ecological site concept
Currently there is only a draft of the initial concept for this ecological site. The initial concept for this site places it within the Clay or Claypan ,12” PZ Low and Lahontan sagebrush and bluebunch wheatgrass/ Thurber’s needlegrass Ecological Site Group. To view the General STM and other information available for this ESG please go to https://edit.jornada.nmsu.edu/catalogs/esg/023X/R023XY901NV
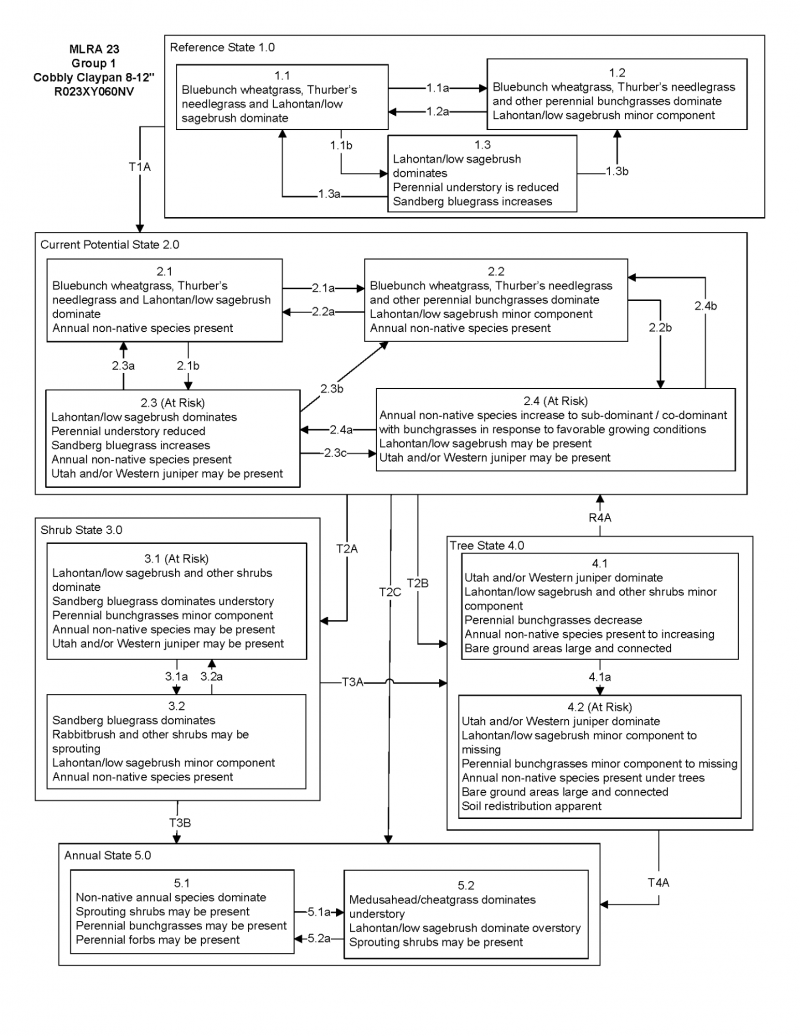
This site has many cobbles on the soil surface, and is less productive than the modal site with 375 lbs/ac. The soils on this site have formed in alluvium or residuum derived from volcanic rock sources. These soils have a shallow effective rooting zone with depth to bedrock ranging from 10 to 20 inches. Depth to a dense, strong-structured, clay subsoil is less than 10 inches. Available water holding capacity is low. The soils have high amounts of cobbles and/or small stones (over 65 percent ground cover) on the surface which provides a stabilizing effect on surface erosion conditions. Pedestalling of some grass plants is common during the winter due to frost heave. The plant community is dominated by low sagebrush, bluebunch wheatgrass, and Thurber's needlegrass. This site is similar to the modal site; the model has five stable states.
Associated sites
| R023XY006NV |
LOAMY 8-10 P.Z. |
|---|---|
| R023XY020NV |
LOAMY 10-12 P.Z. |
| R023XY031NV |
CLAYPAN 10-14 P.Z. |
| R023XY039NV |
LOAMY SLOPE 10-14 P.Z. |
Similar sites
| R023XY008NV |
MOUNTAIN RIDGE FEID dominant grass; higher elevations; different landform; less productive site |
|---|---|
| R023XY078NV |
ASHY CLAYPAN 10-14 P.Z. PSSPS-ACTH7 codominant; more productive site |
| R023XY031NV |
CLAYPAN 10-14 P.Z. PSSPS-ACTH7 codominant |
| R023XY059NV |
GRAVELLY CLAYPAN 10-12 P.Z. ACTH7 dominant grass |
| R023XY014NV |
SHALLOW LOAM 14+ P.Z. FEID dominant grass; higher elevations; more productive site |
| R023XY021NV |
SCABLAND 10-14 P.Z. POSE dominant grass; less productive site |
| R023XY079NV |
ASHY CLAYPAN (COOL) 10-14 P.Z. FEID-ACTH7 codominant; more productive site |
| R023XY017NV |
CLAYPAN 14-16 P.Z. PSSPS-FEID codominant; higher elevations; more productive site |
| R023XY044NV |
VERY COBBLY CLAYPAN POSE dominant grass; soils are vertisols |
Table 1. Dominant plant species
| Tree |
Not specified |
|---|---|
| Shrub |
(1) Artemisia arbuscula |
| Herbaceous |
(1) Pseudoroegneria spicata ssp. spicata |
Click on box and path labels to scroll to the respective text.