Natural Resources
Conservation Service
Ecological site R023XY078NV
ASHY CLAYPAN 10-14 P.Z.
Last updated: 4/10/2025
Accessed: 12/21/2025
General information
Provisional. A provisional ecological site description has undergone quality control and quality assurance review. It contains a working state and transition model and enough information to identify the ecological site.
Ecological site concept
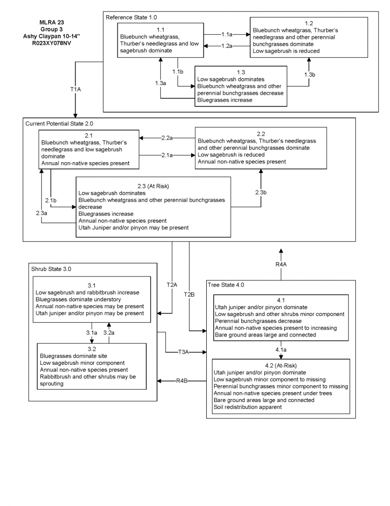
Currently there is only a draft of the initial concept for this ecological site. The initial concept for this site places it within the Ashy 10-14” PZ Lahontan Sagebrush on Ashy Soils Ecological Site Group. To view the General STM and other information available for this ESG please go to https://edit.jornada.nmsu.edu/catalogs/esg/023X/R023XY903NV
This site is slightly more productive than the modal site, with production ranging from 700 to 1300 lb/ac, 1000 lb/ac in normal years. The dominant grasses are Thurber’s needlegrass and bluebunch wheatgrass. The dominant shrub is still Lahontan and/or low sagebrush, and may have a component of antelope bitterbrush. This site is found at the lower elevation of the group’s range, from 5800-7000 feet. This site has the same model as the modal site with 6 states.
Associated sites
| R023XY007NV |
LOAMY 14-16 P.Z. |
|---|---|
| R023XY014NV |
SHALLOW LOAM 14+ P.Z. |
| R023XY079NV |
ASHY CLAYPAN (COOL) 10-14 P.Z. |
Similar sites
| R023XY060NV |
COBBLY CLAYPAN 8-12 P.Z. less productive site; many cobbles on surface |
|---|---|
| R023XY079NV |
ASHY CLAYPAN (COOL) 10-14 P.Z. FEID dominant grass |
| R023XY044NV |
VERY COBBLY CLAYPAN POSE dominant grass; less productive; extremely cobbly surface |
| R023XY017NV |
CLAYPAN 14-16 P.Z. FEID-PSSPS codominant |
| R023XY014NV |
SHALLOW LOAM 14+ P.Z. FEID dominant grass |
| R023XY021NV |
SCABLAND 10-14 P.Z. POSE dominant grass; lower production |
| R023XY031NV |
CLAYPAN 10-14 P.Z. less productive site |
| R023XY059NV |
GRAVELLY CLAYPAN 10-12 P.Z. ACTH7 dominant grass; less production |
| R023XY008NV |
MOUNTAIN RIDGE FEID dominant grass; much less productive site |
Table 1. Dominant plant species
| Tree |
Not specified |
|---|---|
| Shrub |
(1) Artemisia arbuscula |
| Herbaceous |
(1) Pseudoroegneria spicata ssp. spicata |
Click on box and path labels to scroll to the respective text.